Chemistry Exam  >  Chemistry Notes  >  Physical Chemistry  >  Examples: Photochemistry & Beer-Lambert's Law

Examples: Photochemistry & Beer-Lambert's Law | Physical Chemistry PDF Download

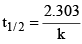
Problem. The carbon-14 activity of an old wood sample is found to be 14.2 disintegration min–1 g–1. Calculate age of old wood sample, if for a fresh wood sample carbon-14 activity is 15.3 disintegration min–1 g–1 (t1/2 carbon =14) = 5730 year), is

(1) 5000 year (2) 4000 year (3) 877 year (4) 617 year

Sol.     Act ivit y =  Examples: Photochemistry & Beer-Lambert`s Law | Physical Chemistry

 k = rate constant 
and    NA = no. of atom
Activity of old wood = k Nold = 14.2 …(1)
Activity of new wood = k Nnew = 15.3 …(2)

From equation (1) & (2) we get

Examples: Photochemistry & Beer-Lambert`s Law | Physical Chemistry

orExamples: Photochemistry & Beer-Lambert`s Law | Physical Chemistry …(3)

We know that k × t1/2 = 0.693

Examples: Photochemistry & Beer-Lambert`s Law | Physical Chemistry …(4)

We know that

i.e.Examples: Photochemistry & Beer-Lambert`s Law | Physical Chemistry
Examples: Photochemistry & Beer-Lambert`s Law | Physical Chemistry

T = 617 year

The correct answer is (4).


Problem. Using cuvettes of 0.5 cm path length, a 10–4 M solution of a chromphone shows 50% transmittance at certain wave length. The molar extinction coefficient of the chromphre at this wave length is (log 2 = 0.3010) 

(1) 1500 M–1 cm–1 (2) 3010 M–1 cm–1 (3) 5000 M–1 cm–1 (4) 6020 M–1 cm–1

Sol. 

Transmittance = T Examples: Photochemistry & Beer-Lambert`s Law | Physical Chemistry

Absorbance = A = Examples: Photochemistry & Beer-Lambert`s Law | Physical Chemistry

Examples: Photochemistry & Beer-Lambert`s Law | Physical Chemistry
Examples: Photochemistry & Beer-Lambert`s Law | Physical Chemistry

∈= 6020 M–1 cm–1

The correct answer is (4).

 

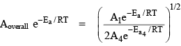
Problem. The rate law for one of the mechanisms of the pyrolysis of CH3CHO at 520°C and 0.2 bar is:
 Rate =  
Examples: Photochemistry & Beer-Lambert`s Law | Physical Chemistry

The overall activation energy Ein terms of the rate law is:

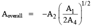
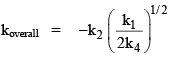
(1) Ea(2) + Ea(1) + 2Ea(4)   (2)Examples: Photochemistry & Beer-Lambert`s Law | Physical Chemistry   (3)Examples: Photochemistry & Beer-Lambert`s Law | Physical Chemistry 
 (4) 
Examples: Photochemistry & Beer-Lambert`s Law | Physical Chemistry

Sol.    Rate =   Examples: Photochemistry & Beer-Lambert`s Law | Physical Chemistry

= koverall [CH3CHO]3/2
i.e.   Examples: Photochemistry & Beer-Lambert`s Law | Physical Chemistry

Examples: Photochemistry & Beer-Lambert`s Law | Physical Chemistry

i.e.
Examples: Photochemistry & Beer-Lambert`s Law | Physical Chemistry

and
Examples: Photochemistry & Beer-Lambert`s Law | Physical Chemistry

 

or Examples: Photochemistry & Beer-Lambert`s Law | Physical Chemistry

Examples: Photochemistry & Beer-Lambert`s Law | Physical Chemistry

The correct answer is (3).

Problem. In the Michaelis-Menten mechanism of enzyme kinetics, the expression obtained as

Examples: Photochemistry & Beer-Lambert`s Law | Physical Chemistry

The value of k3 and k(Michaelis constant, mol L–1) are 

(1) 1.4 × 1012, 104 (2)1.4 × 108, 104 (3) 1.4 × 108, 10–4 (4) 1.4 × 1012, 10–4

Sol.  We know that Michaelis Menten equation is:

Examples: Photochemistry & Beer-Lambert`s Law | Physical Chemistry…(1)

Examples: Photochemistry & Beer-Lambert`s Law | Physical Chemistry
Examples: Photochemistry & Beer-Lambert`s Law | Physical Chemistry

Multiply this equation by 
Examples: Photochemistry & Beer-Lambert`s Law | Physical Chemistry

Examples: Photochemistry & Beer-Lambert`s Law | Physical Chemistry

or              Examples: Photochemistry & Beer-Lambert`s Law | Physical Chemistry                           …(2) 

and                Examples: Photochemistry & Beer-Lambert`s Law | Physical Chemistry                       …(3)

Comparing equation (2) & (3) we get

i.e. Examples: Photochemistry & Beer-Lambert`s Law | Physical Chemistry
and  Examples: Photochemistry & Beer-Lambert`s Law | Physical Chemistry

k3 = 1.4 × 1012 × 10–4 

= 1.4 × 108
i.e. The correct answer is (3).

Problem. The Langunier adsorption isotherm is given by  Examples: Photochemistry & Beer-Lambert`s Law | Physical Chemistry where P is the pressure of the adsorbate gas. The Langmuir adsorption isotherm for a diatomic gas Aundergoing dissociative  adsorption is 

(1) Examples: Photochemistry & Beer-Lambert`s Law | Physical Chemistry   (2) Examples: Photochemistry & Beer-Lambert`s Law | Physical Chemistry  (3) Examples: Photochemistry & Beer-Lambert`s Law | Physical Chemistry   (4)Examples: Photochemistry & Beer-Lambert`s Law | Physical Chemistry

Sol.  R(g) + M(surface) Examples: Photochemistry & Beer-Lambert`s Law | Physical Chemistry     RM (surface)

then  Examples: Photochemistry & Beer-Lambert`s Law | Physical Chemistry

if  R2(g) + 2M (surface)  Examples: Photochemistry & Beer-Lambert`s Law | Physical Chemistry   2M (surface)

Examples: Photochemistry & Beer-Lambert`s Law | Physical Chemistry

i.e. the correct answer is (4).

 

Problem. The overall rate of following complex reaction

Examples: Photochemistry & Beer-Lambert`s Law | Physical Chemistry             (fast equilibrium)

Examples: Photochemistry & Beer-Lambert`s Law | Physical Chemistry          (fast equilibrium)

Examples: Photochemistry & Beer-Lambert`s Law | Physical Chemistry        (slow)

 

The steady state approximate would be 

(1) k1k2k3[A]3[B] 

(2) k1k2k3[A][B]3 

(3) k1k2k3[A][B]2 

(4) k1k2k3[A][B] 

Sol.  Examples: Photochemistry & Beer-Lambert`s Law | Physical Chemistry         (fast equilibrium)

thenExamples: Photochemistry & Beer-Lambert`s Law | Physical Chemistry…(1)

Examples: Photochemistry & Beer-Lambert`s Law | Physical Chemistry          (fast equilibrium)

then   Examples: Photochemistry & Beer-Lambert`s Law | Physical Chemistry    …(2)
Examples: Photochemistry & Beer-Lambert`s Law | Physical Chemistry        (slow)

The rate of formation of product P is 

Examples: Photochemistry & Beer-Lambert`s Law | Physical Chemistry…(3)

From equation (1) & (2) we get

&Examples: Photochemistry & Beer-Lambert`s Law | Physical Chemistry

thenExamples: Photochemistry & Beer-Lambert`s Law | Physical Chemistry
Examples: Photochemistry & Beer-Lambert`s Law | Physical Chemistry

i.e. the correct answer is (1)

 

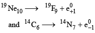
Problem. The species 19Ne and 14C emit a position and b-particle respectively. The resulting species formed are respectively

(1) 19Na and 14B (2) 19F and 14N (3) 19Na and 14N (4) 19F and 14

Sol. 
Examples: Photochemistry & Beer-Lambert`s Law | Physical Chemistry

i.e. the correct answer is (b).
 

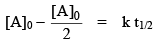
Problem. The half life of a zero order reaction (A → P) is given by (k = rate constant)

(1) Examples: Photochemistry & Beer-Lambert`s Law | Physical Chemistry  (2)  Examples: Photochemistry & Beer-Lambert`s Law | Physical Chemistry  (3) Examples: Photochemistry & Beer-Lambert`s Law | Physical Chemistry  (4)   Examples: Photochemistry & Beer-Lambert`s Law | Physical Chemistry

Sol.   

Examples: Photochemistry & Beer-Lambert`s Law | Physical Chemistry

if t = t1/2 then

Examples: Photochemistry & Beer-Lambert`s Law | Physical Chemistry

Thus
Examples: Photochemistry & Beer-Lambert`s Law | Physical Chemistry
Examples: Photochemistry & Beer-Lambert`s Law | Physical Chemistry

i.e. the correct answer is (1).

The document Examples: Photochemistry & Beer-Lambert's Law | Physical Chemistry is a part of the Chemistry Course Physical Chemistry.
All you need of Chemistry at this link: Chemistry
84 videos|142 docs|67 tests

FAQs on Examples: Photochemistry & Beer-Lambert's Law - Physical Chemistry

1. What is photochemistry?
Ans. Photochemistry is a branch of chemistry that deals with the study of chemical reactions and transformations induced by light energy. It explores how molecules and compounds react when they absorb photons and undergo photoexcitation.
2. What is the Beer-Lambert's law?
Ans. The Beer-Lambert's law, also known as the Beer-Lambert law or Beer's law, describes the relationship between the concentration of a solute in a solution and the amount of light absorbed by that solute. It states that the absorbance of a solution is directly proportional to the concentration of the solute and the path length the light travels through the solution.
3. How does photochemistry relate to the Beer-Lambert's law?
Ans. Photochemistry and the Beer-Lambert's law are related in the sense that the law can be used to quantitatively measure the concentration of a photochemically active species in a solution. By measuring the absorbance of light by the solution at a specific wavelength, the concentration of the photochemically active species can be determined using the Beer-Lambert's law equation.
4. Can the Beer-Lambert's law be applied to all types of solutions?
Ans. The Beer-Lambert's law is applicable to solutions that follow the ideal conditions, such as dilute solutions and solutions with non-interacting solute molecules. Deviations from these ideal conditions, such as strong intermolecular interactions or high solute concentrations, can cause deviations from the linear relationship predicted by the law.
5. How can the Beer-Lambert's law be used in practical applications?
Ans. The Beer-Lambert's law has numerous practical applications. It is commonly used in spectrophotometry to determine the concentration of a solute in a solution. It is also utilized in fields such as environmental monitoring, pharmaceutical analysis, and biochemical assays where accurate quantification of solute concentrations is required.
Related Searches

Semester Notes

,

Viva Questions

,

mock tests for examination

,

Extra Questions

,

Examples: Photochemistry & Beer-Lambert's Law | Physical Chemistry

,

study material

,

practice quizzes

,

Summary

,

pdf

,

Free

,

Previous Year Questions with Solutions

,

MCQs

,

Exam

,

ppt

,

video lectures

,

Objective type Questions

,

Examples: Photochemistry & Beer-Lambert's Law | Physical Chemistry

,

Examples: Photochemistry & Beer-Lambert's Law | Physical Chemistry

,

Sample Paper

,

shortcuts and tricks

,

past year papers

,

Important questions

;