Physics Exam  >  Physics Notes  >  Kinetic Theory & Thermodynamics  >  First Law of Thermodynamics: Assignment

First Law of Thermodynamics: Assignment | Kinetic Theory & Thermodynamics - Physics PDF Download

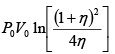
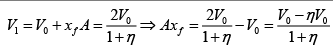
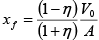
Q.1. A piston can freely move inside a horizontal cylinder closed from both ends. Initially, the piston separates the inside space of the cylinder into two equal parts each of volume V in which an ideal gas is contained under the same pressure P0 and at the same temperature. What work has to be performed in order to increase isothermally the volume of one part of gas η times compared to that of the other by slowly moving the piston?

Suppose at time t , piston moves by x distance and in next dt time, piston moves 

dx distance. 

First Law of Thermodynamics: Assignment | Kinetic Theory & Thermodynamics - Physics

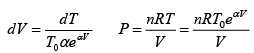
Since T = constant

First Law of Thermodynamics: Assignment | Kinetic Theory & Thermodynamics - Physics First Law of Thermodynamics: Assignment | Kinetic Theory & Thermodynamics - Physics First Law of Thermodynamics: Assignment | Kinetic Theory & Thermodynamics - Physics

P1 = First Law of Thermodynamics: Assignment | Kinetic Theory & Thermodynamics - Physics P2 = First Law of Thermodynamics: Assignment | Kinetic Theory & Thermodynamics - Physics

ΔP = P2 - P1 = First Law of Thermodynamics: Assignment | Kinetic Theory & Thermodynamics - Physics = First Law of Thermodynamics: Assignment | Kinetic Theory & Thermodynamics - Physics

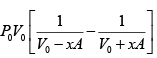
Force applied external agent: 

F = First Law of Thermodynamics: Assignment | Kinetic Theory & Thermodynamics - Physics

Work done W = First Law of Thermodynamics: Assignment | Kinetic Theory & Thermodynamics - Physics

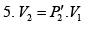
Here First Law of Thermodynamics: Assignment | Kinetic Theory & Thermodynamics - Physics

First Law of Thermodynamics: Assignment | Kinetic Theory & Thermodynamics - Physics put in (i) and integrate 

W = First Law of Thermodynamics: Assignment | Kinetic Theory & Thermodynamics - Physics


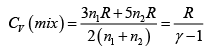
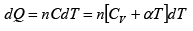
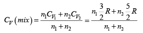
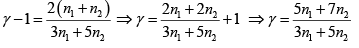
Q.2. Find the adiabatic exponent γ for a mixture consisting of n1 moles of a monatomic gas and n2 moles of gas of rigid diatomic molecules.

For monatomic gas First Law of Thermodynamics: Assignment | Kinetic Theory & Thermodynamics - Physics . For diatomic gas First Law of Thermodynamics: Assignment | Kinetic Theory & Thermodynamics - Physics

First Law of Thermodynamics: Assignment | Kinetic Theory & Thermodynamics - Physics

First Law of Thermodynamics: Assignment | Kinetic Theory & Thermodynamics - Physics

First Law of Thermodynamics: Assignment | Kinetic Theory & Thermodynamics - Physics


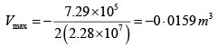
Q.3. Argon gas is contained in a cylinder. It goes to stats 2 from state 1. If the P-V

relationship is linear. The maximum temperature reached by the gas is

First Law of Thermodynamics: Assignment | Kinetic Theory & Thermodynamics - Physics

P1 = 4.1x105N /m2 ,V1 = 0.032m3

P2 = 15.5 x 105N/m2, V2 = 0.09m3

P = a+ bV

4.1x105 = a +b x 0 × 032

15.5 x105 = a +b x 0.09

b = 2.28 x107 N /m2, b = 7.29 x 105N/m2

As, P = a + bV First Law of Thermodynamics: Assignment | Kinetic Theory & Thermodynamics - Physics

Or First Law of Thermodynamics: Assignment | Kinetic Theory & Thermodynamics - Physics

Or First Law of Thermodynamics: Assignment | Kinetic Theory & Thermodynamics - Physics here k = nR (Constant)

First Law of Thermodynamics: Assignment | Kinetic Theory & Thermodynamics - Physics

First Law of Thermodynamics: Assignment | Kinetic Theory & Thermodynamics - Physics

First Law of Thermodynamics: Assignment | Kinetic Theory & Thermodynamics - Physics

Giving,First Law of Thermodynamics: Assignment | Kinetic Theory & Thermodynamics - Physics

So, First Law of Thermodynamics: Assignment | Kinetic Theory & Thermodynamics - Physics = 685K (Put Value 2of R )


Q.4. 85 KJ heat is supplied to a system at constant volume. System rejects 90 KJ heat at constant pressure and 20 KJ of work is done on it. System is brought to original state by adiabatic process. Find adiabatic work and the internal energy at all the point. (U1 =100KJ).First Law of Thermodynamics: Assignment | Kinetic Theory & Thermodynamics - Physics

1 → 2 , 1W2 = 0 , 1Q2 = 85 =U2 - U1

⇒U2 = 100 + 85 = 185 KJ

2 →  3, 2Q3 = U3 - U2 + 2W3

(2W3 = -20KJ) → -90 = U3 -185 + (-20)

⇒ U3= 115 KJ

Q = 0 (adiabatic process) ,First Law of Thermodynamics: Assignment | Kinetic Theory & Thermodynamics - Physics 

Since 1W2 +2W3 +3W1 = -5

3W1 = 15 KJ .


Q.5. In process AB,600KJ heat is added and in BC,300KJ heat is added. Find change in internal energy in AC .First Law of Thermodynamics: Assignment | Kinetic Theory & Thermodynamics - Physics

First Law of Thermodynamics: Assignment | Kinetic Theory & Thermodynamics - Physics

 A →B , W =0 ⇒ AQB = AWB + UB - UA

First Law of Thermodynamics: Assignment | Kinetic Theory & Thermodynamics - Physics

First Law of Thermodynamics: Assignment | Kinetic Theory & Thermodynamics - Physics = = 240 J

First Law of Thermodynamics: Assignment | Kinetic Theory & Thermodynamics - Physics

U-UA = UC -UB +UB -UA = 60 + 600 = 660 J


Q.6. Calculate the heat absorbed by the system in going through the cyclic process.

First Law of Thermodynamics: Assignment | Kinetic Theory & Thermodynamics - Physics

Work done by system = area under PV diagram = area of circle

⇒ W = First Law of Thermodynamics: Assignment | Kinetic Theory & Thermodynamics - Physics = 31.4 J


Q.7. For the circle ABCA (Fig), for an ideal gas find the net heat given to the system.

First Law of Thermodynamics: Assignment | Kinetic Theory & Thermodynamics - Physics

For cyclic process

First Law of Thermodynamics: Assignment | Kinetic Theory & Thermodynamics - Physics

First Law of Thermodynamics: Assignment | Kinetic Theory & Thermodynamics - Physics

For, C→A, First Law of Thermodynamics: Assignment | Kinetic Theory & Thermodynamics - Physics = constant (isobari – process)

First Law of Thermodynamics: Assignment | Kinetic Theory & Thermodynamics - Physics

First Law of Thermodynamics: Assignment | Kinetic Theory & Thermodynamics - Physics

And, First Law of Thermodynamics: Assignment | Kinetic Theory & Thermodynamics - Physics


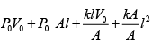
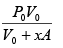
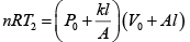
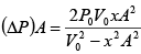
Q.8. 2 mol of monoatomic ideal gas (U =1.5nRT) is enclosed in an adiabatic vertical cylinder (Fig). Piston is adiabatic, spring has k = 200 N /m , piston cross – section area =  20cm2 . Initially spring is in natural length and T = 300k.Atm. pr is 100kPa . Gas is heated slowly so as to move the piston by 10cm . 

First Law of Thermodynamics: Assignment | Kinetic Theory & Thermodynamics - Physics

Find

(i) Work done by gas

(ii) Final temp

(iii) Heat Supplied by heater.

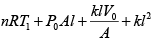
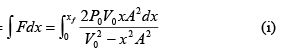
(i) Force by gas on piston  F = P0A + kx , P0 = 100 kPa .

First Law of Thermodynamics: Assignment | Kinetic Theory & Thermodynamics - Physics

Work done by gas on piston W = First Law of Thermodynamics: Assignment | Kinetic Theory & Thermodynamics - Physics

W = First Law of Thermodynamics: Assignment | Kinetic Theory & Thermodynamics - Physics

W = First Law of Thermodynamics: Assignment | Kinetic Theory & Thermodynamics - Physics = 21J

(ii) For gas P0V0 = nRT , P2V2= nRT2

First Law of Thermodynamics: Assignment | Kinetic Theory & Thermodynamics - Physics

= First Law of Thermodynamics: Assignment | Kinetic Theory & Thermodynamics - Physics

= First Law of Thermodynamics: Assignment | Kinetic Theory & Thermodynamics - Physics

First Law of Thermodynamics: Assignment | Kinetic Theory & Thermodynamics - Physics

Putting nR = First Law of Thermodynamics: Assignment | Kinetic Theory & Thermodynamics - Physics and solving, T2 = 331K

First Law of Thermodynamics: Assignment | Kinetic Theory & Thermodynamics - Physics

(iii) As, ΔU = 1×5n RΔT

= 1.5 x 2 x 8.3 x 331 - 300) = 772 J

ΔQ = ΔW + ΔU = 772 + 21, = 793 J


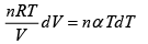
Q.9. Calculate the change in internal energy when 0.004 kg of air is heated from 0oC to 2o C . The specific heat of air at constant volume being 0.172 kilo cal / kg oC .

From first law of thermodynamics

dQ = dU+ dW

where all quantities are measured in same units, say kilo cal.

Here air is heated at constant volume and hence no external work is done i.e .,

dW = p × dV = 0 .

Let m be the mass, cthe specific heat at constant volume and dT the rise in temperature of the air, the heat taken in by it is

dQ = m x CV x dT kilo cal .

Then from first law of thermodynamics

dU = dQ - dW = dQ

= m x C x dT = 0.004x 0.172 x2

= 1.376 x 10-3 kilo cal


Q.10. At normal temperature (0oC) and normal pressure (1.013x105 N /m2 , when 1 gm of water freezes, its volume increase by 0.091 cm3 . Calculate the change in internal energy. [Given: Latent heat of ice = 80 cal / gm ]

Heat given by 1 gm water when it freezes into ice

Q = mL = 1 gm x 80 cal / gm

= 80 cal = 80´ 4.2 Joule = 336 Joule

The external work done against the atmosphere when its volume increase by 0.0091 cm3 .

W = P.dV= First Law of Thermodynamics: Assignment | Kinetic Theory & Thermodynamics - Physics

= 0.0093 Joule

By the first law of thermodynamics, the change in internal energy

ΔU = Q - W = (-336 - 0.0093) = =-336.0093 Joule

Here Q is taken negative because heat is given by the system. Thus internal energy decreases by 336.0093 Joule.


Q.11. When a system is taken from a state i to a state f , in fig., along the path iaf , we find dQ = 50 cals and W = 20 cals while along the path ibf ,dQ = 36 cals . If Ui = 10 cals .

First Law of Thermodynamics: Assignment | Kinetic Theory & Thermodynamics - Physics

(i) What is Uf ?

(ii) What is W along the path ibf ?

(iii) If W = -13 cals along the curved path f i , what is dQ for this path?

(iv) If Ub = 22 cals what is dQ for the process ib ? For bf ?

Given that Ui = 10 cals , Q = 50 cals , W = 20 cals . For path iaf .

(i) From first law

Q = Uf - Ui +W

50 = Uf - 10 + 20

Uf = 50 +10 - 20 = 40 cals .

(ii) For the path ibf

Ui = 10 cals Uf = 40 cals

Q = 36 cals

W = Q - U+ U= 36 - 40 +10 = 6 cals .

(iii) For the path fi 

W =-13 cals

and dU = U-U= 10 - 40 = -30 cals

dQ = dU + dW = -30 - 13 = -43 cals

(iv) For the path bf 

U= 40 cals Ub= 22 cals

dU = Uf -Ub = 40 - 22 = 18 cals

and, dQ = dU + dW = 18 + 0 = 18 cals

Because the work done ( dW = P. dV ) from b to f is zero as in the process volume remains constant.

And for the path ib 

Ui = 10 cals Uf = 22 cals

dU = Ub - Ui = 22 -10 = 12 cals

And dW = 6 cals

∴ dQ = dU + dW = 12 + 6 = 18 cals


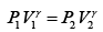
Q.12. A piston cylinder assembly contains 32 gm of oxygen at a pressure of 4 atmosphere and a temperature of 27oC . It undergoes a cycle in which it is first heated at constant volume until the pressure becomes three times, then it expand isothermally until the pressure drops to the original value and finally it is cooled isobarically back to the original temperature. Calculate the change in internal energy and the work done in each process.

Given atomic weight of oxygen =16 and R = 8.3 Joule /mole / K .

(i) When gas is heated at constant volume from 4.0 atoms to 12.00 atoms, the process is isochoric and since volume remains constant, the work done in the process

dW = P . dV=0

Hence from 1st law of thermodynamics

dQ = dU+ P . dV

= Cv dT+ 0

Now from First Law of Thermodynamics: Assignment | Kinetic Theory & Thermodynamics - Physics

First Law of Thermodynamics: Assignment | Kinetic Theory & Thermodynamics - Physics First Law of Thermodynamics: Assignment | Kinetic Theory & Thermodynamics - Physics

T2= 900K

Hence dT = 900- 300= 600 K

Also for a diatomic gas like oxygen 

First Law of Thermodynamics: Assignment | Kinetic Theory & Thermodynamics - Physics

dQ = dU = CV dT = 5 x 600 = 3000 cals .

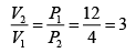
(ii) When the gas expands isothermally from 12 atmosphere to 4 atoms, the temperature remains constant and hence

dU = 0

Also for an isothermal process

First Law of Thermodynamics: Assignment | Kinetic Theory & Thermodynamics - Physics

Since, P1V1 = P2V2

First Law of Thermodynamics: Assignment | Kinetic Theory & Thermodynamics - Physics

First Law of Thermodynamics: Assignment | Kinetic Theory & Thermodynamics - Physics

= 1977 cals

(iii) When the gas is cooled isobarically (constant pressure)

dU = CVdT = 5 300 - 900)

=-3000 cals

Also dQ = CpdT = 7(300 900) = -4200 cals

dW = dQ- dU

= -4200 + 3000 = -1200 cals

=-1200 cals .


Q.13. A fixed mass of air at 1 atmosphere pressure is compressed adiabatically to 5

atmosphere and allowed to expand isothermally to its original volume.

(i) Represent these changes on a P-V diagram.

(ii) Calculate the pressure at the end of the isothermal process. Given γ for air =1.4 .

(i) The changes, the substance undergoes in the process of compression and expansion, are represented by a P -V curve shown in figure. Curve AB represents the adiabatic compression from 1 atoms to 5 atoms, while curve BC represents the isothermal expansion to its original volume. It is to be noted that the adiabatic curve is steeper than the isothermal curve.

First Law of Thermodynamics: Assignment | Kinetic Theory & Thermodynamics - Physics

(ii) During an adiabatic process

First Law of Thermodynamics: Assignment | Kinetic Theory & Thermodynamics - Physics

Here P1 = 1 atmosphere and P2 = 5 atmosphere

First Law of Thermodynamics: Assignment | Kinetic Theory & Thermodynamics - Physics

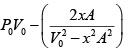
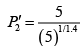
Now during an isothermal process

First Law of Thermodynamics: Assignment | Kinetic Theory & Thermodynamics - Physics

As the gas expands from a pressure of 5 atmosphere and volume V2 to its original volume V1

P'1= 5 Atoms ., V'1= V2

First Law of Thermodynamics: Assignment | Kinetic Theory & Thermodynamics - Physics

Therefore, equation (ii) becomes

First Law of Thermodynamics: Assignment | Kinetic Theory & Thermodynamics - Physics

or First Law of Thermodynamics: Assignment | Kinetic Theory & Thermodynamics - Physics    (iii)

Substituting, the value of First Law of Thermodynamics: Assignment | Kinetic Theory & Thermodynamics - Physics from (iii) into (i), we get

First Law of Thermodynamics: Assignment | Kinetic Theory & Thermodynamics - Physics or First Law of Thermodynamics: Assignment | Kinetic Theory & Thermodynamics - Physics

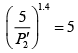
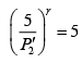
or pressure at the end of isothermal process

First Law of Thermodynamics: Assignment | Kinetic Theory & Thermodynamics - Physics =  16 atmosphere.


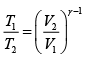
Q.14. A quantity of air (γ =1.4) at 27oC is compressed (a) when the air is compressed slowly and (b) When the air is compressed suddenly to one third of its volume. Find the change in temperature in each case.

 (a) when the air is compressed slowly, the heat generated conducts away to the surroundings. Thus it is an isothermal process temperature remains constant throughout, i.e. there is no change in temperature. 

(b) When the air is compressed suddenly, the process is adiabatic.

Hence

First Law of Thermodynamics: Assignment | Kinetic Theory & Thermodynamics - Physics = constant

If T1 ,V1 be the initial and T2 ,V2 the final temperature and volume respectively, then

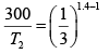
First Law of Thermodynamics: Assignment | Kinetic Theory & Thermodynamics - Physics

or, First Law of Thermodynamics: Assignment | Kinetic Theory & Thermodynamics - Physics

Here T= 27oC = (27 + 273) K = 300K, First Law of Thermodynamics: Assignment | Kinetic Theory & Thermodynamics - Physics γ =1.4.

Thus, First Law of Thermodynamics: Assignment | Kinetic Theory & Thermodynamics - Physics

or, T2 = 300 (3)0.4 = 465.5 K = ( 465.5 - 273) = 192.5o

Change in temperature T2 - T1 = 192.5 C - 27 C

= 165oC


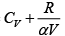
Q.15. An ideal gas has a molar heat capacity Cv at constant volume. Find the molar heat capacity of this gas as a function of its volume V , if the gas undergoes the following process: First Law of Thermodynamics: Assignment | Kinetic Theory & Thermodynamics - Physics

(a) First Law of Thermodynamics: Assignment | Kinetic Theory & Thermodynamics - Physics

First Law of Thermodynamics: Assignment | Kinetic Theory & Thermodynamics - Physics

First Law of Thermodynamics: Assignment | Kinetic Theory & Thermodynamics - Physics

We know, dQ = dU + dW

First Law of Thermodynamics: Assignment | Kinetic Theory & Thermodynamics - Physics

Equating the coefficient of dT on both side C = First Law of Thermodynamics: Assignment | Kinetic Theory & Thermodynamics - Physics


Q.16. For the case of an ideal gas find the equation of the process (in the variables T, V ) in which the molar heat capacity varies as: First Law of Thermodynamics: Assignment | Kinetic Theory & Thermodynamics - Physics

First Law of Thermodynamics: Assignment | Kinetic Theory & Thermodynamics - Physics

First Law of Thermodynamics: Assignment | Kinetic Theory & Thermodynamics - Physics

First Law of Thermodynamics: Assignment | Kinetic Theory & Thermodynamics - Physics

First Law of Thermodynamics: Assignment | Kinetic Theory & Thermodynamics - Physics

compare (i) and (ii)

First Law of Thermodynamics: Assignment | Kinetic Theory & Thermodynamics - Physics

First Law of Thermodynamics: Assignment | Kinetic Theory & Thermodynamics - Physics

First Law of Thermodynamics: Assignment | Kinetic Theory & Thermodynamics - Physics

First Law of Thermodynamics: Assignment | Kinetic Theory & Thermodynamics - Physics

The document First Law of Thermodynamics: Assignment | Kinetic Theory & Thermodynamics - Physics is a part of the Physics Course Kinetic Theory & Thermodynamics.
All you need of Physics at this link: Physics
6 videos|20 docs|32 tests

FAQs on First Law of Thermodynamics: Assignment - Kinetic Theory & Thermodynamics - Physics

1. What is the First Law of Thermodynamics?
Ans. The First Law of Thermodynamics, also known as the law of energy conservation, states that energy cannot be created or destroyed, but it can be transferred or converted from one form to another. It is a fundamental principle in thermodynamics and is applicable to various physical and chemical systems.
2. How does the First Law of Thermodynamics apply to the IIT JAM exam?
Ans. The First Law of Thermodynamics is an important concept in the study of thermodynamics, which is a subject covered in the IIT JAM exam. Understanding this law helps in analyzing and solving problems related to energy transfer, heat, work, and the conservation of energy in various systems.
3. Can you explain the First Law of Thermodynamics with an example?
Ans. Certainly! Let's consider an example of a gas in a piston-cylinder system. If heat is supplied to the gas, it will increase the internal energy of the gas, resulting in an increase in temperature and pressure. If work is done by the gas, it will decrease its internal energy, causing a decrease in temperature and pressure. This example illustrates the conversion of energy between heat, work, and internal energy, which aligns with the First Law of Thermodynamics.
4. How is the First Law of Thermodynamics different from the Second Law of Thermodynamics?
Ans. The First Law of Thermodynamics deals with the conservation of energy, stating that energy cannot be created or destroyed. On the other hand, the Second Law of Thermodynamics focuses on the direction of energy transfer and the concept of entropy. It states that in natural processes, the total entropy of an isolated system tends to increase or remain constant. While the First Law focuses on energy conservation, the Second Law introduces the concept of energy quality and the irreversibility of certain processes.
5. What are some real-life applications of the First Law of Thermodynamics?
Ans. The First Law of Thermodynamics finds applications in various fields. Some examples include: - Heat engines: The law helps in understanding the efficiency and performance of engines such as car engines, steam turbines, and gas turbines. - Refrigeration and air conditioning: The law is utilized to analyze and optimize the energy transfer and cooling processes in refrigeration and air conditioning systems. - Power plants: The law is crucial in the design and operation of power plants, including fossil fuel power plants, nuclear power plants, and renewable energy systems. - Chemical reactions: The law aids in studying and predicting the energy changes associated with chemical reactions, allowing for the determination of reaction feasibility and equilibrium conditions.
Related Searches

Objective type Questions

,

study material

,

mock tests for examination

,

Previous Year Questions with Solutions

,

Free

,

video lectures

,

shortcuts and tricks

,

First Law of Thermodynamics: Assignment | Kinetic Theory & Thermodynamics - Physics

,

First Law of Thermodynamics: Assignment | Kinetic Theory & Thermodynamics - Physics

,

Sample Paper

,

practice quizzes

,

Semester Notes

,

First Law of Thermodynamics: Assignment | Kinetic Theory & Thermodynamics - Physics

,

MCQs

,

past year papers

,

Exam

,

Extra Questions

,

ppt

,

Viva Questions

,

pdf

,

Summary

,

Important questions

;