Flow Through Branched Pipes | Fluid Mechanics for Mechanical Engineering PDF Download


Flow Through Branched Pipes

In several practical situations, flow takes place under a given head through different pipes jointed together either in series or in parallel or in a combination of both of them.

Pipes in Series

  • If a pipeline is joined to one or more pipelines in continuation, these are said to constitute pipes in series. A typical example of pipes in series is shown in Fig. 36.1. Here three pipes A, B and are joined in series. 

Flow Through Branched Pipes | Fluid Mechanics for Mechanical Engineering

n this case, rate of flow remains same in each pipe. Hence,

Flow Through Branched Pipes | Fluid Mechanics for Mechanical Engineering

If the total head available at Sec. 1 (at the inlet to pipe A) is  Hwhich is greater than H2 ,    the total head at Sec. 2 (at the exit of pipe C), then the flow takes place from 1 to 2 through the system of pipelines in series. 

  • Application of Bernoulli's equation between Secs.1 and 2 gives

H1 - H =   hf

where,  his the loss of head due to the flow from 1 to 2. Recognizing the minor and major losses associated with the flow, h can be written as

Flow Through Branched Pipes | Fluid Mechanics for Mechanical Engineering                     (36.1)

 

Friction loss Loss due to
enlargement at
entry to pipe B                              
in pipe AFriction loss
in pipe B

The subscripts A, B and refer to the quantities in pipe A, B and C respectively. Cc is the coefficient of contraction.

  • The flow rate Q satisfies the equation

Flow Through Branched Pipes | Fluid Mechanics for Mechanical Engineering

 

Velocities VA, VB and VC in Eq. (36.1) are substituted from Eq. (36.2), and we get

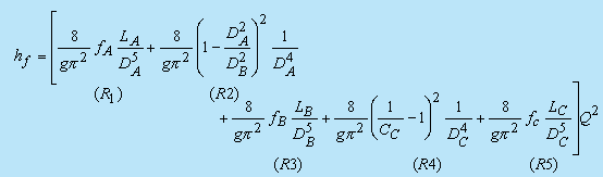
Flow Through Branched Pipes | Fluid Mechanics for Mechanical Engineering                     (36.3)

 

Flow Through Branched Pipes | Fluid Mechanics for Mechanical Engineering                     (36.4)

 

Equation (36.4) states that the total flow resistance is equal to the sum of the different resistance components. Therefore, the above problem can be described by an equivalent electrical network system as shown in Fig. 36.2.

 

Flow Through Branched Pipes | Fluid Mechanics for Mechanical Engineering 

Pipes In Parallel

  • When two or more pipes are connected, as shown in Fig. 36.3, so that the flow divides and subsequently comes together again, the pipes are said to be in parallel.
  • In this case (Fig. 36.3), equation of continuity gives

 

Q =  QA + QB                            (36.5)             

 

 

where, is the total flow rate and QA  And Q are the flow rates through pipes and Brespectively.

  • Loss of head between the locations 1 and 2 can be expressed by applying Bernoulli's equation either through the path 1-A-2 or 1-B-2. 
  • Therefore, we can write

Flow Through Branched Pipes | Fluid Mechanics for Mechanical Engineering

 

Flow Through Branched Pipes | Fluid Mechanics for Mechanical Engineering

 

 

Flow Through Branched Pipes | Fluid Mechanics for Mechanical Engineering  

 

Equating the above two expressions, we get -

Flow Through Branched Pipes | Fluid Mechanics for Mechanical Engineering                          (36.6)                      


 

where,

Flow Through Branched Pipes | Fluid Mechanics for Mechanical Engineering

Flow Through Branched Pipes | Fluid Mechanics for Mechanical Engineering  

 

Equations (36.5) and (36.6) give -

Flow Through Branched Pipes | Fluid Mechanics for Mechanical Engineering                                   (36.7)            

 

Where 

Flow Through Branched Pipes | Fluid Mechanics for Mechanical Engineering                                                            (36.8)

 

The flow system can be described by an equivalent electrical circuit as shown in Fig. 36.4

 

Flow Through Branched Pipes | Fluid Mechanics for Mechanical Engineering

From the above discussion on flow through branched pipes (pipes in series or in parallel, or in combination of both), the following principles can be summarized:

  1. The friction equation must be satisfied for each pipe.
  2. There can be only one value of head at any point.
  3. Algebraic sum of the flow rates at any junction must be zero. i.e., the total mass flow rate towards the junction must be equal to the total mass flow rate away from it.
  4. Algebraic sum of the products of the flux (Q2) and the flow resistance (the sense being determined by the direction of flow) must be zero in any closed hydraulic circuit.

The principles 3 and 4 can be written analytically as

Flow Through Branched Pipes | Fluid Mechanics for Mechanical Engineering                          (36.9)     

 


 

Flow Through Branched Pipes | Fluid Mechanics for Mechanical Engineering                             (36.10)

 

While Eq. (36.9) implies the principle of continuity in a hydraulic circuit, Eq. (36.10) is referred to as pressure equation of the circuit.

 

Pipe Network: Solution by Hardy Cross Method

  • The distribution of water supply in practice is often made through a pipe network comprising a combination of pipes in series and parallel. The flow distribution in a pipe network is determined from Eqs(36.9) and (36.10). 
  • The solution of Eqs (36.9) and (36.10) for the purpose is based on an iterative technique with an initial guess in Q
  • The method was proposed by Hardy-Cross and is described below: 
    • The flow rates in each pipe are assumed so that the continuity (Eq. 36.9) at each node is satisfied. Usually the flow rate is assumed more for smaller values of resistance and vice versa. 
    • If the assumed values of flow rates are not correct, the pressure equation Eq. (36.10) will not be satisfied. The flow rate is then altered based on the error in satisfying the Eq. (36.10). 
  • Let Q0 be the correct flow in a path whereas the assumed flow be Q. The error din flow is then defined as

Flow Through Branched Pipes | Fluid Mechanics for Mechanical Engineering                                                  (36.11)

Let Flow Through Branched Pipes | Fluid Mechanics for Mechanical Engineering                                                 (36.12a)

And Flow Through Branched Pipes | Fluid Mechanics for Mechanical Engineering                                          (36.12b)

 

Then according to Eq. (36.10)

Flow Through Branched Pipes | Fluid Mechanics for Mechanical Engineering             in a loop                                         (36.13a)                                       


 

Flow Through Branched Pipes | Fluid Mechanics for Mechanical Engineering          in a loop                                              (36.13b)

 

Where 'e' is defined to be the error in pressure equation for a loop with the assumed values of flow rate in each path.
From Eqs (36.13a) and (36.13b) we have

 

Flow Through Branched Pipes | Fluid Mechanics for Mechanical Engineering                                                     (36.14)

 

Where dh (= h - h' ) is the error in pressure equation for a path. Again from Eq. (36.12a), we can write

Flow Through Branched Pipes | Fluid Mechanics for Mechanical Engineering                                                 (36.15)

Substituting the value of dh from Eq. (36.15) in Eq. (36.14) we have

 

Flow Through Branched Pipes | Fluid Mechanics for Mechanical Engineering                                                         

Considering the error dQ to be the same for all hydraulic paths in a loop, we can write

Flow Through Branched Pipes | Fluid Mechanics for Mechanical Engineering                                                        (36.16)

he Eq. (36.16) can be written with the help of Eqs (36.12a) and (36.12b) as

Flow Through Branched Pipes | Fluid Mechanics for Mechanical Engineering                                                   (36.17)

The error in flow rate dis determined from Eq. (36.17) and the flow rate in each path of a loop is then altered according to Eq. (36.11).


The Hardy-Cross method can also be applied to a hydraulic circuit containing a pump or a turbine. The pressure equation (Eq. (36.10)) is only modified in consideration of a head source (pump) or a head sink (turbine) as 

Flow Through Branched Pipes | Fluid Mechanics for Mechanical Engineering                                       (36.18)

 

where ΔH  is the head delivered by a source in the circuit. Therefore, the value of  ΔH  to be substituted in Eq. (36.18) will be positive for a pump and negative for a turbine.

The document Flow Through Branched Pipes | Fluid Mechanics for Mechanical Engineering is a part of the Mechanical Engineering Course Fluid Mechanics for Mechanical Engineering.
All you need of Mechanical Engineering at this link: Mechanical Engineering
56 videos|154 docs|75 tests

FAQs on Flow Through Branched Pipes - Fluid Mechanics for Mechanical Engineering

1. What is flow through branched pipes?
Ans. Flow through branched pipes refers to the movement of fluid through a system of interconnected pipes where the main pipe branches out into smaller pipes. It involves the distribution of the fluid flow among the different branches.
2. How is the flow rate affected in branched pipes?
Ans. The flow rate in branched pipes is affected by the diameter of the pipes. As the fluid flows from the main pipe to the smaller branches, the flow rate decreases due to the increased cross-sectional area of the combined branches compared to the main pipe.
3. What is the significance of pressure in flow through branched pipes?
Ans. Pressure plays a crucial role in flow through branched pipes as it determines the direction and distribution of the fluid flow. The pressure difference between the main pipe and the branches governs the movement of the fluid, causing it to flow from high-pressure regions to low-pressure regions.
4. How can the flow rate be calculated in branched pipe systems?
Ans. The flow rate in branched pipe systems can be calculated using the principle of conservation of mass. By considering the fluid properties, pipe diameters, and pressure differences, the flow rate can be determined using equations such as the Bernoulli's equation or the continuity equation.
5. What are some factors that can affect the flow distribution in branched pipes?
Ans. Several factors can influence the flow distribution in branched pipes. These include the diameter and length of the pipes, the viscosity of the fluid, the roughness of the pipe walls, and the presence of any obstacles or bends in the pipe system. These factors can cause variations in pressure drops and affect the flow distribution among the branches.
Related Searches

Viva Questions

,

pdf

,

Semester Notes

,

Flow Through Branched Pipes | Fluid Mechanics for Mechanical Engineering

,

Sample Paper

,

practice quizzes

,

Exam

,

shortcuts and tricks

,

ppt

,

Summary

,

MCQs

,

video lectures

,

study material

,

Free

,

Important questions

,

mock tests for examination

,

Flow Through Branched Pipes | Fluid Mechanics for Mechanical Engineering

,

past year papers

,

Flow Through Branched Pipes | Fluid Mechanics for Mechanical Engineering

,

Previous Year Questions with Solutions

,

Extra Questions

,

Objective type Questions

;