GRE Exam  >  GRE Notes  >  Fractions: Solved Examples

Fractions: Solved Examples - GRE PDF Download

Section - 1

For each of the following pairs of fractions, decide which fraction is larger.
Ques 1: Fractions: Solved Examples - GRE
Ans: The denominators are the same, but the numerator of Fractions: Solved Examples - GRE

Ques 2: Fractions: Solved Examples - GRE
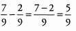
Ans: The numerators are the same, but the denominator of  Fractions: Solved Examples - GRE

Ques 3: Fractions: Solved Examples - GRE
Ans: In the first fraction,53/52 , the numerator is bigger than the denominator, so the fraction is greater than 1. In the second fraction, 85/16 , the denominator is bigger than the numerator, so the fraction is less than 1. Fractions: Solved Examples - GRE

Section - 2


Add or subtract the following fractions. Fractions should be in their most simplified form.
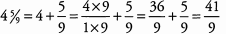
Ques 4: Fractions: Solved Examples - GRE
Ans: 
Fractions: Solved Examples - GRE

Ques 5: Fractions: Solved Examples - GRE
Ans: 
Fractions: Solved Examples - GRE

Ques 6: Fractions: Solved Examples - GRE
Ans: 

Fractions: Solved Examples - GRE

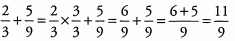
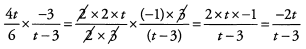
Ques 7: Fractions: Solved Examples - GRE
Ans:
 Fractions: Solved Examples - GRE

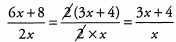
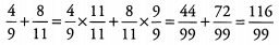
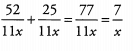
Ques 8: Fractions: Solved Examples - GRE
Ans: 
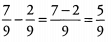
Because the denominators are the same, add the numerators and reduce.
Fractions: Solved Examples - GRE

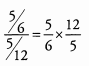
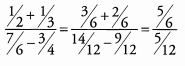
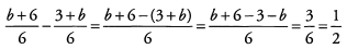
Ques 9: Fractions: Solved Examples - GRE
Ans: 
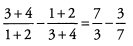
Find a common denominator and subtract. Because both 6 and 4 are factors of 12, 12 is the lowest common denominator.
Fractions: Solved Examples - GRE

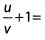
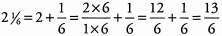
Ques 10: Fractions: Solved Examples - GRE
Ans:
The common denominator of u/v and 1 is v.
Fractions: Solved Examples - GRE

Section - 3

Convert the following improper fractions to mixed numbers.
Ques 11: 9/4
Ans: 
Fractions: Solved Examples - GRE

Ques 12: 31/7
Ans: Fractions: Solved Examples - GRE

Ques 13: 47/15
Ans: 

Fractions: Solved Examples - GRE

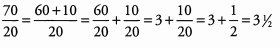
Ques 14: 70/20.
Ans: 
Fractions: Solved Examples - GRE

Section - 4

Convert the following mixed numbers to improper fractions.
Ques 15: Fractions: Solved Examples - GRE

Ans: 
Fractions: Solved Examples - GRE

Ques 16: Fractions: Solved Examples - GRE
Ans: 
Fractions: Solved Examples - GRE

Ques 17: Fractions: Solved Examples - GRE
Ans: 
Fractions: Solved Examples - GRE

Ques 18: Fractions: Solved Examples - GRE
Ans: 

Fractions: Solved Examples - GRE

Ques 19: Fractions: Solved Examples - GRE
Ans: 

Fractions: Solved Examples - GRE

Section - 5

Simplify the following expressions.
Ques 20: Fractions: Solved Examples - GRE
Ans:

Fractions: Solved Examples - GRE

Ques 21: Fractions: Solved Examples - GRE
Ans:

Fractions: Solved Examples - GRE

Ques 22: Fractions: Solved Examples - GRE
Ans:

Fractions: Solved Examples - GRE

Ques 23: Fractions: Solved Examples - GRE
Ans: 
We begin by simplifying the square root in the numerator. When simplifying a square root, always look for factors that are perfect squares; in this example, we have 18 = 2 x 9 = 2 x 32. Therefore:
Fractions: Solved Examples - GRE

Ques 24: Fractions: Solved Examples - GRE
Ans: 

Fractions: Solved Examples - GRE

Ques 25: Fractions: Solved Examples - GRE
Ans:

Fractions: Solved Examples - GRE

Ques 26: Fractions: Solved Examples - GRE
Ans: 
To begin, we simplify the square roots in the numerator and denominator by looking for factors that have pairs:
Fractions: Solved Examples - GRE
Because the numbers remaining inside the square roots have a factor of 3 in common, we can simplify even further:
Fractions: Solved Examples - GRE
Therefore:
Fractions: Solved Examples - GRE

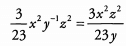
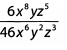
Ques 27: Fractions: Solved Examples - GRE
Ans: 
There are several good ways to simplify a fraction with variables raised to powers. One approach is to use exponent rules to rewrite the expression so that the cancelations are more clear:
Fractions: Solved Examples - GRE
Alternatively, we can consider only one variable at a time and use other exponent rules to simplify:
Fractions: Solved Examples - GRE
To combine these into one fraction, we can put xand zin the numerator, Fractions: Solved Examples - GRE 
Place y in the denominator.
Fractions: Solved Examples - GRE

Section - 6

Multiply or divide the following fractions. Fractions should be in their most simplified form.
Ques 28: Fractions: Solved Examples - GRE
Ans: 
Fractions: Solved Examples - GRE

Ques 29: Fractions: Solved Examples - GRE
Ans: 
Fractions: Solved Examples - GRE

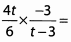
Ques 30:  Fractions: Solved Examples - GRE
Ans: 
Fractions: Solved Examples - GRE

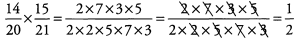
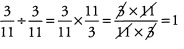
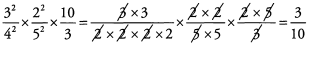
Ques 31: Fractions: Solved Examples - GRE
Ans: Before multiplying the fractions, look to cancel common factors.
Fractions: Solved Examples - GRE

Ques 32: Fractions: Solved Examples - GRE
Ans: Before multiplying the fractions, look to cancel common factors.
Fractions: Solved Examples - GRE

Ques 33: Fractions: Solved Examples - GRE
Ans: 
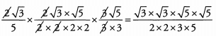
Begin by simplifying the roots.
Fractions: Solved Examples - GRE
√2 can be canceled from the numerator and denominator. Also note that √5 appears twice in the denominator, and Fractions: Solved Examples - GRE
Fractions: Solved Examples - GRE

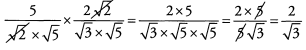
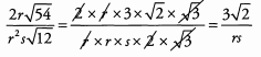
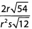
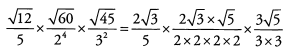
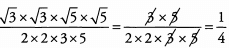
Ques 34: Fractions: Solved Examples - GRE
Ans: Begin by simplifying the roots.
Fractions: Solved Examples - GRE
Look to cancel common factors before multiplying. Remember you can cancel across fractions because they are being multiplied.
Fractions: Solved Examples - GRE
Now we can combine the roots in the numerator.
Fractions: Solved Examples - GRE


Section - 7 

Simplify the following fractions.
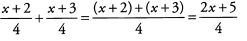
Ques 35: Fractions: Solved Examples - GRE
Ans:  When the numerator of a fraction consists of two or more terms added together, but the denominator is a single term, we can split the fraction into two fractions with a common denominator and then simplify further:
Fractions: Solved Examples - GRE
Now we need to simplify both fractions.
Fractions: Solved Examples - GRE
If you left the expressions as one fraction, then you could have factored a 2 out of each term in the expression:
Fractions: Solved Examples - GRE
Either version is correct.

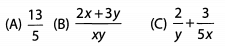
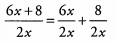
Ques 36: Fractions: Solved Examples - GRE
 Fractions: Solved Examples - GRE
Ans: We can split this fraction into two fractions with a common denominator of 5xy and then simplify further:
Fractions: Solved Examples - GRE
Now we have a match. The correct answer is (C).

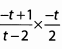
Ques 37: Fractions: Solved Examples - GRE
Ans: 
We must be careful when dealing with addition or subtraction in the denominator; the best we can do is identify factors common to all terms and cancel these. Every term within the fraction contains 3a as a factor:
Fractions: Solved Examples - GRE

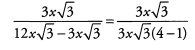
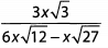
Ques 38:  Fractions: Solved Examples - GRE
Ans: 
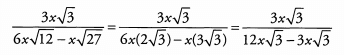
We begin by simplifying the square roots in the denominator:
Fractions: Solved Examples - GRE
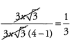
Because the subtraction is taking place in the denominator, we must identify common factors and cancel. These terms have a common factor of 3x√3 . Factor 3x√3 out of the denominator.
Fractions: Solved Examples - GRE
Now we can cancel 3x√3 from the numerator and denominator.
Fractions: Solved Examples - GRE

Section - 8

Simplify the following expressions. Final answers should be in their most simplified forms.
Ques 39: Fractions: Solved Examples - GRE
Ans: Begin by simplifying each fraction.
Fractions: Solved Examples - GRE
Because 3 and 7 share no common factors, the least common denominator is 3 x 7 = 21.
Fractions: Solved Examples - GRE

Ques 40: Fractions: Solved Examples - GRE
Ans:

Fractions: Solved Examples - GRE

Ques 41: Fractions: Solved Examples - GRE
Ans:

Fractions: Solved Examples - GRE

Ques 42: Fractions: Solved Examples - GRE
Ans:

Fractions: Solved Examples - GRE

Ques 43: Fractions: Solved Examples - GRE
Ans:

Fractions: Solved Examples - GRE

Ques 44: Fractions: Solved Examples - GRE
Ans: 
When subtracting fractions with more than one term in the numerator, put the subtracted term in parentheses to remind yourself to distribute the negative:
Fractions: Solved Examples - GRE

Section - 9

Match the following expressions to their simplified forms.
Ques 45: Fractions: Solved Examples - GRE
Fractions: Solved Examples - GRE
Ans:
Begin by breaking down the fractions so that we can reduce common factors before we multiply. Remember that you can cancel across fractions because they’re multiplied.
Fractions: Solved Examples - GRE
The answer is (A).

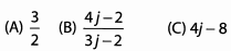
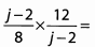
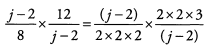
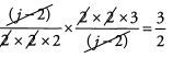
Ques 46: Fractions: Solved Examples - GRE
Fractions: Solved Examples - GRE
Ans:
Begin by looking for common factors to cancel before we multiply.
Fractions: Solved Examples - GRE
Because (j - 2) is a factor of both the numerator and denominator, we can cancel it along with other common factors.
Fractions: Solved Examples - GRE
The answer is (A).

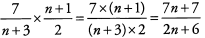
Ques 47: Fractions: Solved Examples - GRE
Fractions: Solved Examples - GRE

Ans: Break down each fraction and look for common denominators.
Fractions: Solved Examples - GRE
The answer is A.

Section - 10:

Simplify the following complex fractions.
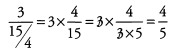
Ques 48: Fractions: Solved Examples - GRE 
Ans:
Begin by simplifying the denominator.
Fractions: Solved Examples - GRE
Dividing by (15/4) is the same as multiplying by (4/15).
Fractions: Solved Examples - GRE

Ques 49: Fractions: Solved Examples - GRE
Ans:
Begin by simplifying the denominator.
Fractions: Solved Examples - GRE
Now we can divide 8 by the fraction (4/3), which is the same as multiplying by (3/4).
Fractions: Solved Examples - GRE

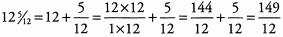
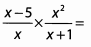
Ques 50: Fractions: Solved Examples - GRE
Ans:
To begin, simplify the numerator and the denominator.
Fractions: Solved Examples - GRE
Now we can divide.
Fractions: Solved Examples - GRE
Simplify before you multiply.

Fractions: Solved Examples - GRE

The document Fractions: Solved Examples - GRE is a part of GRE category.
All you need of GRE at this link: GRE

FAQs on Fractions: Solved Examples - GRE

1. What are fractions?
Ans. Fractions are numbers that represent a part of a whole. They consist of a numerator (the number on top) and a denominator (the number on the bottom), separated by a slash. For example, in the fraction 3/4, 3 is the numerator and 4 is the denominator.
2. How do you add fractions?
Ans. To add fractions with the same denominator, simply add the numerators and keep the denominator the same. For example, to add 1/4 and 3/4, you add the numerators (1 + 3 = 4) and keep the denominator (4) the same. The result is 4/4, which can be simplified to 1.
3. Can fractions be added if they have different denominators?
Ans. Yes, fractions with different denominators can be added by finding a common denominator. To do this, you need to find the least common multiple (LCM) of the denominators and then convert each fraction to an equivalent fraction with the common denominator. Once the fractions have the same denominator, you can add them by adding the numerators.
4. How do you simplify fractions?
Ans. To simplify a fraction, you need to divide both the numerator and the denominator by their greatest common divisor (GCD). The GCD is the largest number that divides both the numerator and the denominator without leaving a remainder. Simplifying a fraction means expressing it in its lowest terms.
5. Can fractions be multiplied and divided?
Ans. Yes, fractions can be multiplied and divided. To multiply fractions, multiply the numerators together and the denominators together. For example, to multiply 2/3 and 4/5, you multiply 2 by 4 to get 8 as the numerator, and 3 by 5 to get 15 as the denominator, resulting in 8/15. To divide fractions, you multiply the first fraction by the reciprocal of the second fraction.
Download as PDF

Top Courses for GRE

Related Searches

Summary

,

Extra Questions

,

mock tests for examination

,

Free

,

Sample Paper

,

Previous Year Questions with Solutions

,

Fractions: Solved Examples - GRE

,

Exam

,

Semester Notes

,

shortcuts and tricks

,

ppt

,

pdf

,

practice quizzes

,

past year papers

,

Objective type Questions

,

Fractions: Solved Examples - GRE

,

Important questions

,

study material

,

Viva Questions

,

Fractions: Solved Examples - GRE

,

MCQs

,

video lectures

;