Civil Engineering (CE) Exam  >  Civil Engineering (CE) Notes  >  Engineering Mechanics  >  GATE Past Year Questions: Force System Resultants

GATE Past Year Questions: Force System Resultants | Engineering Mechanics - Civil Engineering (CE) PDF Download

Question for GATE Past Year Questions: Force System Resultants
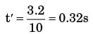
Try yourself:A point mass is shot vertically up from ground level with a velocity of 4 m/s at time, t = 0. It loses 20% of its impact velocity after each collision with the ground. Assuming that the acceleration due to gravity is 10 m/s2 and that air resistance is negligible, the mass stops bouncing and comes to complete rest on the ground after a total time (in seconds) of

[2018]

View Solution

Question for GATE Past Year Questions: Force System Resultants
Try yourself:A rigid link PQ is undergoing plane motion as shown in the figure (Vp and VQ are non-zero). VQP is the relative velocity of point Q with respect to point P.
GATE Past Year Questions: Force System Resultants | Engineering Mechanics - Civil Engineering (CE)
Which one of the following is TRUE?

[2016]

View Solution

Question for GATE Past Year Questions: Force System Resultants
Try yourself:A circular object of radius r rolls without slipping on a horizontal level floor with the center having velocity V. The velocity at the point of contact between the object and the floor is

[2014]

View Solution

Question for GATE Past Year Questions: Force System Resultants
Try yourself:A straight rod length L(t), hinged at one end freely extensible at the other end, rotates through an angle θ(t) about the hinge. At time t, L(t) = 1 m, L(t) = 1 m/s, θ(t) = p/4 rad and θ (t) = 1 rad/s.
The magnitude of the velocity at the other end of the rod is

[2008]

View Solution

Question for GATE Past Year Questions: Force System Resultants
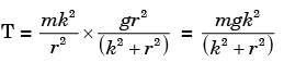
Try yourself:A reel of mass m and radius of gyration k is rolling down smoothly from rest with one end of the thread wound on it held in the ceiling as depicted in the figure.
Consider the thickness of the thread and its mass negligible in comparison with the radius r of the hub and the reel mass m. Symbol g represents the acceleration due to gravity.
GATE Past Year Questions: Force System Resultants | Engineering Mechanics - Civil Engineering (CE)
The tension in the thread is

[2003]

View Solution

Question for GATE Past Year Questions: Force System Resultants
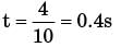
Try yourself:A shell is fired from a cannon. At the instant the shell is just about to leave the barrel, its velocity relative to the barrel is 3 m/s, while the barrel is swinging upwards with a constant angular velocity of 2 rad/s. The magnitude of the absolute velocity of the shell is
GATE Past Year Questions: Force System Resultants | Engineering Mechanics - Civil Engineering (CE)

[2005]

View Solution

Question for GATE Past Year Questions: Force System Resultants
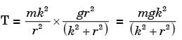
Try yourself:A reel of mass m and radius of gyration k is rolling down smoothly from rest with one end of the thread wound on it held in the ceiling as depicted in the figure.
Consider the thickness of the thread and its mass negligible in comparison with the radius r of the hub and the reel mass m. Symbol g represents the acceleration due to gravity.
GATE Past Year Questions: Force System Resultants | Engineering Mechanics - Civil Engineering (CE)
 The linear acceleration of the reel is

[2003]

View Solution

Question for GATE Past Year Questions: Force System Resultants
Try yourself:Instantaneous centre of a body rolling without sliding on a stationary curved surface lies.

[1992]

View Solution

The document GATE Past Year Questions: Force System Resultants | Engineering Mechanics - Civil Engineering (CE) is a part of the Civil Engineering (CE) Course Engineering Mechanics.
All you need of Civil Engineering (CE) at this link: Civil Engineering (CE)
23 videos|61 docs|53 tests

FAQs on GATE Past Year Questions: Force System Resultants - Engineering Mechanics - Civil Engineering (CE)

1. What is a force system resultant?
Ans. A force system resultant refers to the single force or couple that can replace a system of forces acting on a body, while producing the same external effect as the original system.
2. How can we determine the magnitude and direction of a force system resultant?
Ans. To determine the magnitude and direction of a force system resultant, we can use the method of vector addition. We add up all the individual forces in the system, taking into account their magnitudes and directions, to find the resultant force. The direction of the resultant force can be determined using trigonometric principles.
3. What is the difference between a concurrent force system and a non-concurrent force system?
Ans. In a concurrent force system, all the forces have a common point of intersection and their lines of action pass through this point. On the other hand, in a non-concurrent force system, the lines of action of the forces do not intersect at a common point. This distinction is important when analyzing force systems and determining their resultants.
4. Can a force system have multiple resultants?
Ans. No, a force system can only have one resultant. The resultant force represents the net effect of all the individual forces in the system. It is a single force that has the same external effect as the original system of forces. If there were multiple resultants, it would imply that the system of forces can have different net effects, which is not possible.
5. How is the moment of a force system related to its resultant force?
Ans. The moment of a force system is a measure of the system's tendency to rotate about a specific point or axis. It is directly related to the resultant force of the system. The moment of the resultant force is equal to the algebraic sum of the moments of the individual forces in the system. This relationship allows us to analyze the rotational equilibrium of a body under the influence of a force system.
Related Searches

Previous Year Questions with Solutions

,

study material

,

Free

,

video lectures

,

mock tests for examination

,

GATE Past Year Questions: Force System Resultants | Engineering Mechanics - Civil Engineering (CE)

,

past year papers

,

GATE Past Year Questions: Force System Resultants | Engineering Mechanics - Civil Engineering (CE)

,

Extra Questions

,

Objective type Questions

,

MCQs

,

practice quizzes

,

ppt

,

Sample Paper

,

Semester Notes

,

Exam

,

shortcuts and tricks

,

pdf

,

Summary

,

Important questions

,

Viva Questions

,

GATE Past Year Questions: Force System Resultants | Engineering Mechanics - Civil Engineering (CE)

;