Mechanical Engineering Exam  >  Mechanical Engineering Notes  >  Theory of Machines (TOM)  >  GATE Past Year Questions: Gears & Gear Trains

GATE Past Year Questions: Gears & Gear Trains | Theory of Machines (TOM) - Mechanical Engineering PDF Download

Q1: The Levai type-A train illustrated in the figure has gears with module m = 8 mm/ tooth. Gears 2 and 3 have 19 and 24 teeth respectively. Gear 2 is fixed and internal gear 4 rotates at 20rev/min counter-clockwise. The magnitude of angular velocity of the arm is ______ rev/min. (rounded off to 2 decimal places)   [GATE ME 2024]
GATE Past Year Questions: Gears & Gear Trains | Theory of Machines (TOM) - Mechanical Engineering

Ans: 15 to 16
Data given
m8 mm
T2 = 19
T3 = 24
N2 = 0
N4 = 20 rpm
GATE Past Year Questions: Gears & Gear Trains | Theory of Machines (TOM) - Mechanical Engineeringr4 = r2 + 2r3
GATE Past Year Questions: Gears & Gear Trains | Theory of Machines (TOM) - Mechanical Engineering
or, T4 = T× 2 T3
i.e.,
T4 = 19 + 2 × 24 = 67
As N2 = 0 So,
x+y=0...(1)x + y = 0 ...(1)
N= 20 = y−x × (19/67)
or, y − x × (19/67) = 20 ... (2) By (i) and (ii)
k = -15.58 rpm
= 15.58 clockwise
y = 15.58 counterclockwise 

Q1: Two meshing spur gears 1 and 2 with diametral pitch of 8 teeth per mm and an angular velocity ratio ∣ω2∣/∣ω1∣ = 1/4, have their centers 30 mm apart. The number of teeth on the driver (gear 1) is _______ . (Answer in integer)   [GATE ME 2023]
GATE Past Year Questions: Gears & Gear Trains | Theory of Machines (TOM) - Mechanical EngineeringAns:
95.999 to 96.001
GATE Past Year Questions: Gears & Gear Trains | Theory of Machines (TOM) - Mechanical EngineeringGiven
R + r = 30 ...(i)
GATE Past Year Questions: Gears & Gear Trains | Theory of Machines (TOM) - Mechanical Engineering where T = no. of teeth
or T2 = 4T1
Diametrical pitch = 8 teeth/mm = T/D = Pd
and m = D/T = 1/Pd
r = mT/2
As, GATE Past Year Questions: Gears & Gear Trains | Theory of Machines (TOM) - Mechanical Engineering
by equation (i) we have
GATE Past Year Questions: Gears & Gear Trains | Theory of Machines (TOM) - Mechanical Engineering
As T2 = 4T1
So, 1/16 (T+ 4T1) = 30
or σ1 = (30×16)/5 = 96

Q1: A schematic of an epicyclic gear train is shown in the figure. The sun (gear 1) and planet (gear 2) are external, and the ring gear (gear 3) is internal. Gear 1, gear 3 and arm OP are pivoted to the ground at O. Gear 2 is carried on the arm OP via the pivot joint at P, and is in mesh with the other two gears. Gear 2 has 20 teeth and gear 3 has 80 teeth. If gear 1 is kept fixed at 0 rpm and gear 3 rotates at 900 rpm counter clockwise (ccw), the magnitude of angular velocity of arm OP is __________rpm (in integer).  [GATE ME 2022 SET-1]
GATE Past Year Questions: Gears & Gear Trains | Theory of Machines (TOM) - Mechanical EngineeringAns: 600 to 600
Speed of gear 1 N1 = 0,
Speed of gear 3 N= 900 rpm,
Speed of Arm Narm = ?,
Teeth of gear 1 z1 = ?
Teeth of gear 2 z= 20
Teeth of gear 3 z= 80
Teeth of gear 2
z3 = z1 + 2z2
80 = z+ 2(20)
z1 = 40z
GATE Past Year Questions: Gears & Gear Trains | Theory of Machines (TOM) - Mechanical EngineeringN1 = x + y = 0
⇒ x = -y
N3 = GATE Past Year Questions: Gears & Gear Trains | Theory of Machines (TOM) - Mechanical Engineering
= y - (40/80)(x) = 900
⇒ y - (40/80)(-y) = 900
1.5y = 900
= 600 rpm

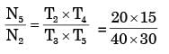
Q1: A power transmission mechanism consists of a belt drive and a gear train as shown in the figure.
GATE Past Year Questions: Gears & Gear Trains | Theory of Machines (TOM) - Mechanical EngineeringDiameters of pulleys of belt drive and number of teeth (T) on the gears 2 to 7 are indicated in the figure. The speed and direction of rotation of gear 7, respectively, are  [GATE ME 2021 SET-2]
(a) 255.68 rpm; clockwise
(b) 255.68 rpm; anticlockwise
(c) 575.28 rpm; clockwise
(d) 575.28 rpm; anticlockwise
Ans:
(a)
T= 44
T6 = 36
T2 = 18
T4 = 15
GATE Past Year Questions: Gears & Gear Trains | Theory of Machines (TOM) - Mechanical Engineering
⇒ N= (150/250) x 2500
N1 = 15,00 = N2
GATE Past Year Questions: Gears & Gear Trains | Theory of Machines (TOM) - Mechanical Engineering
= 255.6818 = N7 (Clockwise)
Gear 5 is idler.

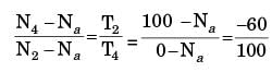
Q1: The sun (S) and the planet (P) of an epicyclic gear train shown in the figure have identical number of teeth
GATE Past Year Questions: Gears & Gear Trains | Theory of Machines (TOM) - Mechanical EngineeringIf the sun (S) and the outer ring (R) gears are rotated in the same direction with angular speed ωS and ωR, respectively, then the angular speed of the arm AB is  [GATE ME 2020 SET-2]
(a) GATE Past Year Questions: Gears & Gear Trains | Theory of Machines (TOM) - Mechanical Engineering
(b) GATE Past Year Questions: Gears & Gear Trains | Theory of Machines (TOM) - Mechanical Engineering
(c) GATE Past Year Questions: Gears & Gear Trains | Theory of Machines (TOM) - Mechanical Engineering
(d) GATE Past Year Questions: Gears & Gear Trains | Theory of Machines (TOM) - Mechanical Engineering
Ans:
(a)
r+ 2rp = rR
⇒ Ts + 2Tp = TR (TP = TS)
3TP = TR
⇒ 3TP = TR
GATE Past Year Questions: Gears & Gear Trains | Theory of Machines (TOM) - Mechanical Engineeringy + x = ωS
y − (x/3) = ωR
Substract by,
4x/3 = (ωS - ωR)
x = 3/4 (ωS - ωR)
y = ω- x = ω- (3/4)(ωS - ωR)
GATE Past Year Questions: Gears & Gear Trains | Theory of Machines (TOM) - Mechanical Engineering

Q2: A balanced rigid disc mounted on a rigid rotor has four identical point masses, each of 10 grams, attached to four points on the 100 mm radius circle shown in the figure.
GATE Past Year Questions: Gears & Gear Trains | Theory of Machines (TOM) - Mechanical EngineeringThe rotor is driven by a motor at uniform angular speed of 10 rad/s. If one of the masses gets detached then the magnitude of the resultant unbalance force on the rotor is ______ N. (round off to 2 decimal places). [GATE ME 2020 SET-1]
Ans:
0.09 to 0.11
GATE Past Year Questions: Gears & Gear Trains | Theory of Machines (TOM) - Mechanical Engineeringω = 10rad/s, r = 100mm = 0.1m
If one mass is detached then
GATE Past Year Questions: Gears & Gear Trains | Theory of Machines (TOM) - Mechanical EngineeringNow, unbalance tone, F = mrω2
= (10/1000) x 0.1 x (10)2 = (10×0.1×100)/1000
= 0.1 N

Question for GATE Past Year Questions: Gears & Gear Trains
Try yourself:In the gear train shown gear 3 is carried on arm 5, Gear 3 meshes with gear 2 and gear 4. The number of teeth on gear 2, 3 and 4 are 60, 20, and 100, respectively. If gear 2 is fixed and gear 4 rotates with an angular velocity of 100 rpm in the counterclockwise direction, the angular speed of arm 5 (in rpm) is

GATE Past Year Questions: Gears & Gear Trains | Theory of Machines (TOM) - Mechanical Engineering

[2016,Set-1]

View Solution

Question for GATE Past Year Questions: Gears & Gear Trains
Try yourself:A gear train is made up of five spur gears as shown in the figure. Gear 2 is driver and gear 6 is driven member. N2, N3, N4, N5 and N6 represent number of teeth on gears 2,3,4,5 and 6 respectively. The gear(s) which act(s) as idler(s) is/are

GATE Past Year Questions: Gears & Gear Trains | Theory of Machines (TOM) - Mechanical Engineering

[2015,Set-3]

View Solution

Question for GATE Past Year Questions: Gears & Gear Trains
Try yourself:The number of degree of freedom of the planetary gear train shown in the figure is

GATE Past Year Questions: Gears & Gear Trains | Theory of Machines (TOM) - Mechanical Engineering

[2015,Set-2]

View Solution

Question for GATE Past Year Questions: Gears & Gear Trains
Try yourself:Gear 2 rotates at 1200 rpm is counter clockwise direction and engages with Gear 3 and Gear 4 mounted on the same shaft. Gear 5 engages with Gear 4. The numbers of teeth on Gears 2, 3, 4 and 5 are 20, 40, 15 and 30, respectively. The angular speed of Gear 5 is 

GATE Past Year Questions: Gears & Gear Trains | Theory of Machines (TOM) - Mechanical Engineering

[2014,Set-3]

View Solution

Question for GATE Past Year Questions: Gears & Gear Trains
Try yourself:A compound gear train with gears P, Q, R and S has number of teeth 20,40,15 and 20 respectively.Gears Q and P are mounted on the same shaft as shown in the figure below. The diameter of the gear Q is twice that of the gear R. If the module of the gear R is 2 mm, the centre distance in mm between gears Pand S is

GATE Past Year Questions: Gears & Gear Trains | Theory of Machines (TOM) - Mechanical Engineering

[2013]

View Solution

Question for GATE Past Year Questions: Gears & Gear Trains
Try yourself:For the epicyclic gear arrangement shown in the figure, ω2 = 100 rad/s clockwise (cw) and ωarm = 80 rad/s counter clockwise (ccw). The angular velocity ω5 (in rad/s) is

GATE Past Year Questions: Gears & Gear Trains | Theory of Machines (TOM) - Mechanical Engineering

[2010]

View Solution

Question for GATE Past Year Questions: Gears & Gear Trains
Try yourself:An epicyclic gear train is shown schematically in the adjacent figure. The sun gear 2 on the input shaft is a 20 teeth external gear. The planet gear 3 is a 40 teeth external gear. The ring gear 5 is a 100 teeth internal gear. The ring gear 5 is fixed and the gear 2 is rotating at 60 rpm ccw(ccwcounterclockwise and cw- clockwise).

GATE Past Year Questions: Gears & Gear Trains | Theory of Machines (TOM) - Mechanical Engineering

The arm 4 attached to the output shaft will rotate at

[2009]

View Solution

Question for GATE Past Year Questions: Gears & Gear Trains
Try yourself:The arm OA of a epicyclic gear train shown in figure revolves counter clockwise about Owith an angular velocity of 4 rad/s. Both gear are of same size. The angular velocity of gears C, if the sun gear B is fixed is

GATE Past Year Questions: Gears & Gear Trains | Theory of Machines (TOM) - Mechanical Engineering

[1995]

View Solution

Question for GATE Past Year Questions: Gears & Gear Trains
Try yourself:The sun gear in the figure is driven clockwise at 100 rpm. The ring gear is held stationary. For the number of teeth shown on the gears, the arm rotates at

GATE Past Year Questions: Gears & Gear Trains | Theory of Machines (TOM) - Mechanical Engineering

[1993]

View Solution

Question for GATE Past Year Questions: Gears & Gear Trains
Try yourself:A spur gear has pitch circle diameter D and number of teeth T. The circular pitch of the gear is

[2019,Set 2]

View Solution

Question for GATE Past Year Questions: Gears & Gear Trains
Try yourself:A spur gear with 200 full depth teeth is transmitting 20 kW at 200 rad/s. The pitch circle diameter of the gear is 100 mm. The magnitude of the force applied on the gear in the radial direction is

[2019, Set 1]

View Solution

Question for GATE Past Year Questions: Gears & Gear Trains
Try yourself:It is desired to avoid interference in a pair of spur gears having a 20° pressure angle. With increase in pinion to gear speed ratio, the minimum number of teeth on the pinion

[2014,Set-4]

View Solution

Question for GATE Past Year Questions: Gears & Gear Trains
Try yourself:The following are the data for two crossed helical gears used for speed reduction:
Gear I : Pitch circle diameter in the plane of rotation 80 mm and helix angle 30°
Gear II : Pitch circle diameter in the plane of rotation 120 mm and helix angle 22.5°

If the input speed is 1440 rpm, the output speed in rpm is

[2012]

View Solution

Question for GATE Past Year Questions: Gears & Gear Trains
Try yourself:Tooth interference in an external involute spur gear pair can be reduced by

[2010]

View Solution

Question for GATE Past Year Questions: Gears & Gear Trains
Try yourself:A 1.5 kW motor is running at 1440 rev/min. It is to be connected to a stirrer running at 36 rev/min. The gearing arrangement suitable for this application is

[2000]

View Solution

The document GATE Past Year Questions: Gears & Gear Trains | Theory of Machines (TOM) - Mechanical Engineering is a part of the Mechanical Engineering Course Theory of Machines (TOM).
All you need of Mechanical Engineering at this link: Mechanical Engineering
87 videos|76 docs|29 tests

FAQs on GATE Past Year Questions: Gears & Gear Trains - Theory of Machines (TOM) - Mechanical Engineering

1. What are the basic types of gears used in mechanical systems?
Ans.The basic types of gears include spur gears, helical gears, bevel gears, worm gears, and rack and pinion gears. Each type has unique characteristics suitable for specific applications, such as changing the direction of motion or increasing torque.
2. How do gear ratios affect the performance of a gear train?
Ans.Gear ratios determine the relationship between the input and output speeds and torques of a gear train. A higher gear ratio increases torque but decreases speed, while a lower gear ratio does the opposite. Understanding gear ratios is crucial for optimizing performance in mechanical systems.
3. What are the main advantages of using gear trains in machinery?
Ans.Gear trains offer several advantages, including the ability to change the direction of motion, increase mechanical advantage (torque), and improve efficiency by allowing different speed ratios. They also enable compact designs and can transmit power over long distances.
4. What factors should be considered when designing a gear train?
Ans.Factors to consider when designing a gear train include the desired output speed and torque, the type of gears used, material selection for durability, alignment, lubrication, and the overall space available for installation. Proper consideration ensures optimal performance and longevity.
5. How can wear and tear be minimized in gear systems?
Ans.To minimize wear and tear in gear systems, proper lubrication is essential to reduce friction, regular maintenance checks are necessary to identify any misalignment or damage, and selecting gears made from durable materials can enhance longevity. Additionally, ensuring proper load distribution can prevent excessive wear.
Related Searches

Summary

,

GATE Past Year Questions: Gears & Gear Trains | Theory of Machines (TOM) - Mechanical Engineering

,

practice quizzes

,

past year papers

,

Exam

,

Sample Paper

,

Semester Notes

,

Important questions

,

Free

,

shortcuts and tricks

,

pdf

,

Viva Questions

,

GATE Past Year Questions: Gears & Gear Trains | Theory of Machines (TOM) - Mechanical Engineering

,

Objective type Questions

,

Extra Questions

,

mock tests for examination

,

Previous Year Questions with Solutions

,

ppt

,

GATE Past Year Questions: Gears & Gear Trains | Theory of Machines (TOM) - Mechanical Engineering

,

study material

,

video lectures

,

MCQs

;