Chemistry Exam  >  Chemistry Notes  >  Physical Chemistry  >  Van Der Waal’s Equation & its Applicability

Van Der Waal’s Equation & its Applicability | Physical Chemistry PDF Download

22. Correction for pressure 

Consider a molecule A in the bulk of a vessel as shown in figure. This molecule is surrounded by other molecules in a symmetrical manner, with the result that this molecule on the whole experiences no net force of attraction.

Van Der Waal’s Equation & its Applicability | Physical Chemistry

Now, consider a molecule B near the side of the vessel, which is about to strike one of its sides, thus contributing towards the total pressure of the gas. The pressure of a real gas would be smaller then the corresponding of an ideal gas, i.e.

Pi = P + correction term. ...(2) 

This correction term depends upon two factors:

(i) The number of mo lecules per unit volume of the vessel. Larger this number, larger will be the net force of attraction with which the molecule B is dragged behind.

Van Der Waal’s Equation & its Applicability | Physical Chemistry

Thus, the correction term is given as

Correction term ∝ n/V ...(3a)

(ii) The number of molecules striking the side of the vessel per unit time. Larger this number, larger will be the decrease in the rate of change of momentum. Consequently, the correction term also has a larger value.

Correction term Van Der Waal’s Equation & its Applicability | Physical Chemistry

Taking both these factors together, we have

Correction term Van Der Waal’s Equation & its Applicability | Physical Chemistry or Correction term Van Der Waal’s Equation & its Applicability | Physical Chemistry      ...(4)

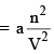
where a is the proportionality constant and is a measure of the forces of attraction between the molecules. Thus

Van Der Waal’s Equation & its Applicability | Physical Chemistry        ...(5)

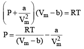
The unit of the term an2/V2 will be the same as that of the pressure.  Thus, the SI unit of a Pa m6 mol–2.  When the expression as given by eqs (1) and (2) are substituted in the ideal gas equation PiVi = nRT, we get

Van Der Waal’s Equation & its Applicability | Physical Chemistry    ...(6)

This equation also applicable to real gases and is known as the van der Waals equation.

23. Applicability of Van Der Waal’ equation

At very low pressure, all the gases shown have Z » 1 and behave nearly perfectly. At high pressure, all the gases have Z > 1, signifying that they have a larger molar volume than a perfect gas. Repulsive  forces are now dominant. At intermediate pressure most gases have Z < 1, indicating that the attractive forces are reducing the molar volume relative to that of a perfect gas.

Van Der Waal’s Equation & its Applicability | Physical Chemistry

A perfect gas has Z = 1 at all pressures.  Notice that although the curves approach 1 as p → 0, they do so with different slopes.

Interpretation of Deviation From Vander Walls Equation:

(i) At low pressure Van Der Waal’s Equation & its Applicability | Physical Chemistry

(ii) At high pressure Van Der Waal’s Equation & its Applicability | Physical Chemistry

(iii) At extremely low pressure Van Der Waal’s Equation & its Applicability | Physical Chemistry


24. Virial Equation of State

It is generalized equation of gaseous state all other equation can be written in the form of virial equation of state.

Z is expressed in power series expansion of P or Van Der Waal’s Equation & its Applicability | Physical Chemistry

Van Der Waal’s Equation & its Applicability | Physical Chemistry

B – Second virial coefficient
C – Third virial coefficient
D – Fourth virial coefficient 

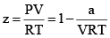
24. Reduction of Vander Wall equation in virial form

Van Der Waal’s Equation & its Applicability | Physical Chemistry

Multiplying both sides by Van Der Waal’s Equation & its Applicability | Physical Chemistry

Van Der Waal’s Equation & its Applicability | Physical Chemistry

Van Der Waal’s Equation & its Applicability | Physical Chemistry

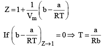
At low pressure : Vm will be larger, hence, Van Der Waal’s Equation & its Applicability | Physical Chemistry can be neglected

Van Der Waal’s Equation & its Applicability | Physical Chemistry

Boyle Temperature: At some intermediate temperature TB called Boyle temperature, the init ial slope is zero. This is obtained fro m equat ion by putting b - a/RTB = 0, which yields

Van Der Waal’s Equation & its Applicability | Physical Chemistry

The properties of the real gas do coincide with those of a perfect gas as p → 0.

At the Boyle temperature, the Z versus P line of an ideal gas is tangent to that of a real gas when P approaches zero.  The later rises above the ideal gas line only very slowly.

In form of pressure: 

Figure shows the experimental isotherms for carbon dioxide. At large molar volumes and high temperatures the real-gas isotherms do not differ greatly from perfect-gas isotherms. The small differences suggest that the perfect gas law is in fact the first term in an expression of the form.

PVm = RT(1 + B’p + C’p2 + ....)

A more convenient expansion for many applications is Van Der Waal’s Equation & its Applicability | Physical Chemistry

These two expressio sn are two versions o f the virial eqution of state. In each case, the term in parentheses can be identified with the compression factor, Z.

The coefficients B, C, ...., which depend on the temperature, are the second, third, ... virial coefficients.

Van Der Waal’s Equation & its Applicability | Physical Chemistry

Experimental isotherms of carbon dioxide at several temperature.  The ‘critical isotherm’, the isotherm at the critical temperautre, is at 31.04°C.  The critical point is marked with at X. For a perect gas, dZ/DP = 0 (because Z = 1 at all pressures), 

But for a real gas,

Van Der Waal’s Equation & its Applicability | Physical Chemistry


25. Critical constants 

The temperature, pressure and molar volume at the critical point are called the critical temperature, Tc, critical pressure pc and critical molar volume, Vc, of the substance.  Collect ively, pC, VC and Tc are the critical constants of a substance.

The single phase that fills the ent ire volume when T > Tc may be much denser than we normally consider typcial of gases and the name super-critical fluid is preferred.

Andrews isotherms: In 1869, Thomas Andrews carried out an experiment in which P – V relations o f carbon dioxide gas were measured at various temperatures. The types of isotherms obtained are shown in figure.

(1) At high temperatures, such as T4 the isotherms look like those of an ideal gas. 

(2) At low temperatures, the curves have altogether different appearances.

A typical curve abcd. As the pressure increases, the volume of the gas decrease (curve a to b).  At point b liquification commences and the volume decreases rapidly as the gas is converted to a liquid with a much higher density.  This conversion takes place at constant pressure P. At the point c, liquification is complete and thus the line cd represents the variation of V with p of the liquid state. The steepness of the line cd is evidence of the fact that the liquid cannot be easily compressed. Thus, we note that ab represents the gaseous state, bc, liquid and vapour in equilibrium, and cd shows the liquid state only.

Van Der Waal’s Equation & its Applicability | Physical Chemistry

Liquification commences at b and is complete at c. At a point between b and c, say X, the ratio of liquid to gas is equal to bX/cX. The pressure corresponding to the line bc is known as vapour pressure of the liquid.

(3) At still higher temperatures we get a similar t ype of curve as discussed in (2) above, except that the width of the horizontal portion is reduced; the pressure corresponding to this portion being higher than at lower temperatures. 

(4) At temperatures Tc the horizontal portion is reduced to a mere point. A temperature higher than Tc there is no indication of liquification at all.

Thus for every gas, there is a limit of temperature above which it cannot be liquefied, no matter what the pressure is

Tc or critical temp: Temperature above which a gas cannot be liquefied.

Pc or critical pressure: Minimum pressure which must be applied at crit ical temp to convert the gas into liquid.

VC or critical Volume: Volume occupied by one mole of gas at Tc & Pc 

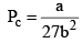
We can find the critical constant by calculating these derivatives and setting them equal to zero :

Van Der Waal’s Equation & its Applicability | Physical Chemistry

At the crit ical point, solution of these two equations are 

Vc = 3b 

Van Der Waal’s Equation & its Applicability | Physical Chemistry
Van Der Waal’s Equation & its Applicability | Physical Chemistry

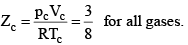
These relations can be tested by noting that the critical compression factor, ZC, is predicted to be equal to Van Der Waal’s Equation & its Applicability | Physical Chemistry

30. Continuity Of State 

In figure end-points of the horizontal lines have been connected with a dotted line. This portion, known as the surface of discontinuity, separates the liquid state on one side and the gas on the other. Within this curve the liquid and the gas coexist. Because of this coexistence curve, it is possible to distinguish between the two states of matter, namely, gas and liquid.  However, in practice, this is not always true because it is possible to convert matter from one into another without any sharp discontinuity. This can be done as shown in figure.

Van Der Waal’s Equation & its Applicability | Physical Chemistry

(i) Increase the temperature of the gas keeping vo lume constant. The pressure rises along AL. 

(ii) Having reached L, the pressure is kept constant and the gas is cooled; this decreases the vo lume alo ng the line LD.

Thus, we have passed from A to D without the gradual change at it occur along the line BC, i..e condensation in the usual sense of the term not occur.  Point D could be said to represent a highly compressed gaseous state of the substance. Whether we refer to the state in the region of point D as liqid state or as highly compressed gaseous state depend purely upon which of the two view points happens to be convenient at the moment.  Thus, in the absence of the surface of discontinuity, there is no way of distinguishing between liquid and gas.

31. Reduced Equation of State 

Vander Waals equation can be written in a form which does not contain any constant characteristics of individual gases.  Such an equation will, therefore, be applicable to all gases.  In order to obtain this equation, we define reduced pressure, reduced temperature and reduced voume as follows :

Van Der Waal’s Equation & its Applicability | Physical Chemistry Van Der Waal’s Equation & its Applicability | Physical Chemistry and Van Der Waal’s Equation & its Applicability | Physical Chemistry

Thus P = Pr Pc      T = Tr Tc and V = Vr Vc

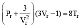
Van Der Waal’s Equation & its Applicability | Physical Chemistry

Van Der Waal’s Equation & its Applicability | Physical Chemistry

Equation (2), known as the reduced equation of state, does not contain any constant which is characteristics of a gas and is thus applicable to all gases. According to it, if the gases have the same values of reduced pressure and reduced temperature, they will have the same reduced volume. Thus, they correspond to each other. This statement is known as the law of corresponding states.

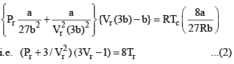
Van Der Waal’s Equation & its Applicability | Physical Chemistry      ...(3)

According to the law of corresponding states, if two gases have the same reduced temperature and reduced pressure they will have the same reduced volume. Thus, the right hand side of Eq (3) is independent of the nature of gas and hence the value of Z is same for all gases.

Reduced Temp: Temperature in any state of gas with respect to critical temp of the gas 

Van Der Waal’s Equation & its Applicability | Physical Chemistry

Van Der Waal’s Equation & its Applicability | Physical Chemistry

Van Der Waal’s Equation & its Applicability | Physical Chemistry Reduced equation of state

Equation is independent from a, b and R so will be followed by each and every gas independent of its nature.

The document Van Der Waal’s Equation & its Applicability | Physical Chemistry is a part of the Chemistry Course Physical Chemistry.
All you need of Chemistry at this link: Chemistry
84 videos|142 docs|67 tests

FAQs on Van Der Waal’s Equation & its Applicability - Physical Chemistry

1. What is Van Der Waal's equation and how is it derived?
Van der Waals equation is an equation of state that describes the behavior of real gases, taking into account the attractive forces between gas molecules and the volume occupied by the gas particles themselves. It is derived by modifying the ideal gas law to include correction terms for the intermolecular forces and the volume of the gas particles.
2. What are the assumptions made in Van Der Waal's equation?
Van der Waals equation makes the following assumptions: - Gas particles are assumed to have a finite volume, which is not considered in the ideal gas law. - Attractive forces exist between gas particles, leading to a decrease in pressure. - Gas particles do not interact with each other except through the attractive forces.
3. How is Van Der Waal's equation applicable in real-life situations?
Van der Waals equation is applicable in real-life situations where the ideal gas law fails to accurately describe the behavior of gases. It is particularly useful at high pressures and low temperatures, where the volume occupied by gas particles and the attractive forces between them become significant. Van der Waals equation provides a more accurate representation of gas behavior in these conditions.
4. What are the limitations of Van Der Waal's equation?
Van der Waals equation has several limitations: - It assumes that the attractive forces between gas particles can be modeled using a simple correction term, which may not always be accurate. - It neglects the repulsive forces between gas particles, which can become significant at high pressures. - It does not consider the effects of temperature on gas behavior, making it less applicable at high temperatures.
5. How does Van Der Waal's equation compare to the ideal gas law?
Van der Waals equation is a modification of the ideal gas law that takes into account the volume occupied by gas particles and the attractive forces between them. While the ideal gas law assumes that gas particles have no volume and do not interact with each other, Van der Waals equation provides a more accurate representation of gas behavior in real-life situations. It is especially useful at high pressures and low temperatures, where the ideal gas law fails to accurately describe gas behavior.
Related Searches

Van Der Waal’s Equation & its Applicability | Physical Chemistry

,

Free

,

mock tests for examination

,

Semester Notes

,

MCQs

,

video lectures

,

Important questions

,

Summary

,

past year papers

,

shortcuts and tricks

,

Extra Questions

,

Objective type Questions

,

Sample Paper

,

ppt

,

Van Der Waal’s Equation & its Applicability | Physical Chemistry

,

study material

,

pdf

,

Van Der Waal’s Equation & its Applicability | Physical Chemistry

,

Viva Questions

,

Previous Year Questions with Solutions

,

practice quizzes

,

Exam

;