Gauss’s Law & Potential | Electromagnetic Fields Theory (EMFT) - Electrical Engineering (EE) PDF Download

Flux of an Electric Field :

In this lecture we introduce “Gauss’s law” which happens to be equivalent to Coulomb’s law. However, under certain circumstances it turn out to be much easier to deal with than Coulomb’s law. Before stating the law, we will introduce the concept of “flux” of an electric field. As has been mentioned during our discussion of vector calculus, the concept of flux arises from fluid dynamics. If we have a fluid flowing past a surface, the flux of fluid through the surface not only depends on the velocity of the fluid, it also depends on the magnitude of the area and the orientation of the area with respect to the direction of the velocity.

We had seen earlier that an infinitesimal surface can be looked upon as a vector with the magnitude equal to the area and the direction along the outward normal to the surface.

Gauss’s Law & Potential | Electromagnetic Fields Theory (EMFT) - Electrical Engineering (EE)

In the figure above we see electric field lines passing through a surface S, the direction of the electric field making an angle θ with the normal to the surface. The flux of the electric field is defined as  Gauss’s Law & Potential | Electromagnetic Fields Theory (EMFT) - Electrical Engineering (EE) In performing the sum, one has to know the electric field at every point on the surface and the angle that the field makes with the outward normal at that point. If the electric field is constant, the flux becomes Gauss’s Law & Potential | Electromagnetic Fields Theory (EMFT) - Electrical Engineering (EE)

Solid Angle :

We are familiar with the concept of an angle in two dimensions. Loosely speaking an agle is a measure of divergence or spread between two straight lines. Suppose the lines meet at the point O. With O as the centre, if we draw arc of a circle of radius R, the two straight lines will contain an arc of the circle The measure of the angle (in radian measure) is then the ratio of the length L of the arc to the radius of the circle.

Gauss’s Law & Potential | Electromagnetic Fields Theory (EMFT) - Electrical Engineering (EE)

Gauss’s Law & Potential | Electromagnetic Fields Theory (EMFT) - Electrical Engineering (EE)

Note that the circular arc is along the transverse direction to the two lines. Suppose, instead, we draw an arbitrary curve (shown in red) which cuts the two lines, the length L is to be taken along the transverse projection of this curve. Note that, being ratio of two lengths, an angle is dimensionless. However, we conventionally measure it in terms of a unit which could be a degree or a radian or a grade.

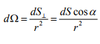
The concept of solid angle is straightforward extension of this concept in three dimensions. Solid angle is the angle that an arbitrary area makes at a point. What is to be done is to describe a right circular cone of length R about the point P. The ratio of the transverse area intercepted by the cone to the square of the distance from the point P is a measure of the solid angle. Like in the case of angle in two dimensions, we have to take a transverse area. Like ordinary angle, a solid angle is dimensionless but is measured in a unit called “steradian”

Gauss’s Law & Potential | Electromagnetic Fields Theory (EMFT) - Electrical Engineering (EE)

Gauss’s Law & Potential | Electromagnetic Fields Theory (EMFT) - Electrical Engineering (EE)

Consider a surface S. What is the solid angle subtended by the surface at the point P. We draw tangents from P to the edge of the surface. If the surface area is transverse (i.e. the area is a part of the sphere intercepted by such tangents), the solid angle is simply the ratio of the part of the sphere intercepted by the tangents to the distance squared. For other surface, transverse projections have to be taken.

Example : Calculate the flux of a constant electric field through a right circular cone of height H and semi angle of cone θ.

Gauss’s Law & Potential | Electromagnetic Fields Theory (EMFT) - Electrical Engineering (EE)

Consider a surface element on the cone at a depth h below the apex. The area element has a slanted length dl. The outward normal to the element makes an angle Gauss’s Law & Potential | Electromagnetic Fields Theory (EMFT) - Electrical Engineering (EE) with the surface of the cone. If the radius of the circle which the element makes is r, the flux due to this element is

Gauss’s Law & Potential | Electromagnetic Fields Theory (EMFT) - Electrical Engineering (EE)

Where we have used, from geometry,  Gauss’s Law & Potential | Electromagnetic Fields Theory (EMFT) - Electrical Engineering (EE) The total flux, integrating over h, is Gauss’s Law & Potential | Electromagnetic Fields Theory (EMFT) - Electrical Engineering (EE) This is the flux through the slanted surface of the cone. The flux through the base of the cone is simple to calculate since the direction of the outward normal is opposite to the direction of the base. Since the field is uniform, the net flux through the base is Gauss’s Law & Potential | Electromagnetic Fields Theory (EMFT) - Electrical Engineering (EE)

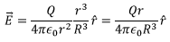
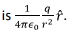
Example 2 : Flux through the surface of a sphere due to an electric charge q placed at its centre. The electric field due to the charge is Gauss’s Law & Potential | Electromagnetic Fields Theory (EMFT) - Electrical Engineering (EE) Since the outward normal on the surface is also radially outward, we have Gauss’s Law & Potential | Electromagnetic Fields Theory (EMFT) - Electrical Engineering (EE) independent of the radius. This is a consequence of the inverse square nature of the electric field.

Gauss’s Law & Potential | Electromagnetic Fields Theory (EMFT) - Electrical Engineering (EE)Gauss’s Law & Potential | Electromagnetic Fields Theory (EMFT) - Electrical Engineering (EE)

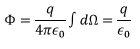
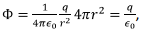
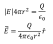
Consider the following situations. Suppose we have a volume of arbitrary shape defined by a surface S with a charge q embedded therein. Infinitesimal surface area dS at a position Gauss’s Law & Potential | Electromagnetic Fields Theory (EMFT) - Electrical Engineering (EE) respect to the charge. The surface element makes a solid angle dΩ at the position of the charge. The electric field at dS due to the charge q is along the radial direction and is given by  Gauss’s Law & Potential | Electromagnetic Fields Theory (EMFT) - Electrical Engineering (EE) If the angle between the normal Gauss’s Law & Potential | Electromagnetic Fields Theory (EMFT) - Electrical Engineering (EE) and the position vecto Gauss’s Law & Potential | Electromagnetic Fields Theory (EMFT) - Electrical Engineering (EE) is the projection of dS along a direction perpendicular to Gauss’s Law & Potential | Electromagnetic Fields Theory (EMFT) - Electrical Engineering (EE) of the electric field out of this element is Gauss’s Law & Potential | Electromagnetic Fields Theory (EMFT) - Electrical Engineering (EE) Notice that the flux due to the area element depends on the solid angle that it subtends at the position of the charge. Since the charge is embedded inside, at every place on the surface, the radial direction is outward and the normal to the surface makes an acute angle with the radial direction at that point. Thus the total flux in this situation is given by

Gauss’s Law & Potential | Electromagnetic Fields Theory (EMFT) - Electrical Engineering (EE)

since the total solid angle subtended at q by the entire surface is 4π.

Suppose, instead, the charge q is somewhere outside the volume. If we draw rays of a cone from the charge on to the volume, they will intersect the surface at two places, with the normal of one of the surface elements making an acute angle with Gauss’s Law & Potential | Electromagnetic Fields Theory (EMFT) - Electrical Engineering (EE)  and the other making an obtuse angle. Thus for every positive solid angle there is an equal and opposite negative solid angle and the total flux adds up to zero.

Thus the flux out of a surface equals Gauss’s Law & Potential | Electromagnetic Fields Theory (EMFT) - Electrical Engineering (EE) if the charge is enclosed by the surface and equals zero if it is outside. Using superposition principle, one can, by very similar argument, conclude that for multiple charges the result would be true as well, and we then have,

Gauss’s Law & Potential | Electromagnetic Fields Theory (EMFT) - Electrical Engineering (EE)

This is Gauss’s law. It may be noticed that our argument had nothing to do with whether the surface is a physical surface or not. Any surface, whether real or imaginary, through which flux of a vector field such as an electric field or a gravitational field, is calculated is called a “Gaussian surface”

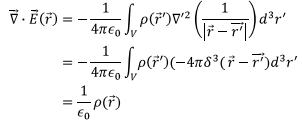
We can extend this to the case of a continuous charge distribution as well. Using the divergence theorem, we have

Gauss’s Law & Potential | Electromagnetic Fields Theory (EMFT) - Electrical Engineering (EE)

Since the relationship above is true for an arbitrary volume, we get from the above, the differential form of Gauss’s law:

Gauss’s Law & Potential | Electromagnetic Fields Theory (EMFT) - Electrical Engineering (EE)

Coulomb’s Law and Gauss’s Law :

Recall the expression for the electric field for a continuous charge distribution obtained from generalization of Coulomb’s law,

Gauss’s Law & Potential | Electromagnetic Fields Theory (EMFT) - Electrical Engineering (EE)

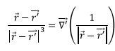
Here the field is being calculated at the position Gauss’s Law & Potential | Electromagnetic Fields Theory (EMFT) - Electrical Engineering (EE) to a charge distribution, the integrated variable being represented by primed quantities. Taking divergence of both sides, we get, (the divergence being calculated with respect to the unprimed variable, we can take it inside the integration)

Gauss’s Law & Potential | Electromagnetic Fields Theory (EMFT) - Electrical Engineering (EE)

Notice that the quantity within the parentheses, whose divergence is being taken, depends on the difference  Gauss’s Law & Potential | Electromagnetic Fields Theory (EMFT) - Electrical Engineering (EE) Hence we can, instead, take the divergence with respect to the primed variable by using the fact that for such functional dependence, we have Gauss’s Law & Potential | Electromagnetic Fields Theory (EMFT) - Electrical Engineering (EE) Further, we also note that,

Gauss’s Law & Potential | Electromagnetic Fields Theory (EMFT) - Electrical Engineering (EE)

(where again, there is no minus sign as the gradient is with respect to the primed variable). Thus, we have,

Gauss’s Law & Potential | Electromagnetic Fields Theory (EMFT) - Electrical Engineering (EE)

where we have used, Gauss’s Law & Potential | Electromagnetic Fields Theory (EMFT) - Electrical Engineering (EE)

We will now calculate the flux in a few cases using Gauss’s law.

Example 1 : 

A cube of side a has a charge q located at one of its corners. Calculate the flux of the electric field through the shaded side.

Gauss’s Law & Potential | Electromagnetic Fields Theory (EMFT) - Electrical Engineering (EE)

Suppose we have a cube where a charge was embedded at its centre. By symmetry the flux out of each side would have been the same and from each side one sixth of the total flux would have emerged. The total flux out of such a cube, by Gauss’s law, would have been  Gauss’s Law & Potential | Electromagnetic Fields Theory (EMFT) - Electrical Engineering (EE) and the flux through each side would then be Gauss’s Law & Potential | Electromagnetic Fields Theory (EMFT) - Electrical Engineering (EE)

In the present case, the charge being at the corner, such simplistic argument does not hold. What we can do is to imagine eight identical cubes being stacked so as to make a cube of side 2a with the charge now being at the centre of such a cube. Remember that the Gaussian surfaces do not have to be real. The flux from the side which contains the shaded portion is Gauss’s Law & Potential | Electromagnetic Fields Theory (EMFT) - Electrical Engineering (EE) as the charge is symmetrically placed. 7 Further, the shaded face of the smaller cube being one fourth of the face with side 2a, the flux out of the original face is  Gauss’s Law & Potential | Electromagnetic Fields Theory (EMFT) - Electrical Engineering (EE)

(There is another way of getting this result. The point charge being at one of the corners of the cube can be thought of as contributing only one eighth of its charge to the cube in question because each corner could be shared by eight cubes. So the flux out of the cube would have been Gauss’s Law & Potential | Electromagnetic Fields Theory (EMFT) - Electrical Engineering (EE) However, the three adjacent sides do not have any flux coming out because the electric field is along the face while the normal to the face is perpendicular. The three non-adjacent sides, which are symmetrical share this flux equally giving the flux from each side to be Gauss’s Law & Potential | Electromagnetic Fields Theory (EMFT) - Electrical Engineering (EE)

Example 2 :

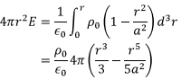
Field due to a uniformly charged sphere of radius R

Gauss’s Law & Potential | Electromagnetic Fields Theory (EMFT) - Electrical Engineering (EE)

To determine the field at a distance r from the centre, draw a Gaussian sphere of radius r concentric with the given sphere. The strength of the electric field is the same everywhere on the Gaussian surface and points radially outward. The flux is given by  Gauss’s Law & Potential | Electromagnetic Fields Theory (EMFT) - Electrical Engineering (EE)

For  Gauss’s Law & Potential | Electromagnetic Fields Theory (EMFT) - Electrical Engineering (EE) the Gaussian surface encloses all the charge Q in the given sphere. Thus in this case

Gauss’s Law & Potential | Electromagnetic Fields Theory (EMFT) - Electrical Engineering (EE)

For Gauss’s Law & Potential | Electromagnetic Fields Theory (EMFT) - Electrical Engineering (EE) however, the Gaussian surface only encloses a fraction Gauss’s Law & Potential | Electromagnetic Fields Theory (EMFT) - Electrical Engineering (EE) of the total charge Q. Thus, in this case,

Gauss’s Law & Potential | Electromagnetic Fields Theory (EMFT) - Electrical Engineering (EE)

Thus, the field is linear with distance, inside the sphere, falling off quadratically outside.

Gauss’s Law & Potential | Electromagnetic Fields Theory (EMFT) - Electrical Engineering (EE)

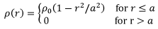
Example 3 : Field due to a spherical shell with a charge density Gauss’s Law & Potential | Electromagnetic Fields Theory (EMFT) - Electrical Engineering (EE)

Draw a concentric sphere as the Gaussian surface, as with previous example.

Gauss’s Law & Potential | Electromagnetic Fields Theory (EMFT) - Electrical Engineering (EE)

Gauss’s Law & Potential | Electromagnetic Fields Theory (EMFT) - Electrical Engineering (EE)

Example 4 : Field due to a infinite charged sheet.

By symmetry, the field can depend only on the distance from the sheet. If the sheet is positively charged, the field will be directed upward above the sheet and downward below the sheet (i.e. the field is directed away from the sheet). Thus there is a discontinuity in the electric field at the charged surface. We will see later that this is a common feature at the charged surface.

To determine the field at a distance d from the sheet, we take a Gaussian cylinder of height 2d and cross section A, perpendicular to the sheet such that half the cylinder is above the sheet and half below the sheet.

Gauss’s Law & Potential | Electromagnetic Fields Theory (EMFT) - Electrical Engineering (EE)

Since the fields are perpendicular to the sheet, the flux from the curved surface of the cylinder is zero. The net flux out of the cylinder from the two caps is  Gauss’s Law & Potential | Electromagnetic Fields Theory (EMFT) - Electrical Engineering (EE) The amount of charge enclosed is Aσ. Thus the magnitude of the field is given by  Gauss’s Law & Potential | Electromagnetic Fields Theory (EMFT) - Electrical Engineering (EE) which gives the field magnitude to be given by Gauss’s Law & Potential | Electromagnetic Fields Theory (EMFT) - Electrical Engineering (EE) directed upward for points above the sheet and downward for points below. Note that the field is independent of the distance from the sheet.

Tutorial Assignment :

1. A constant electric field  Gauss’s Law & Potential | Electromagnetic Fields Theory (EMFT) - Electrical Engineering (EE) through the surface of an open hemisphere, perpendicular to its base. Calculate the flux through the curved surface.

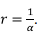
2. A charge distribution gives rise to an electric field Gauss’s Law & Potential | Electromagnetic Fields Theory (EMFT) - Electrical Engineering (EE)where a is a constant. Determine the total charge in the distribution

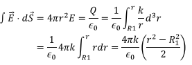
3. A charge distribution given by  Gauss’s Law & Potential | Electromagnetic Fields Theory (EMFT) - Electrical Engineering (EE) in an annular region between two spheres of radii R1 and R2. Determine the electric field everywhere in space.

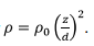
4. A spherically symmetric charge distribution is given by

Gauss’s Law & Potential | Electromagnetic Fields Theory (EMFT) - Electrical Engineering (EE)

Find the electric field everywhere

5. A cylinder of radius a has a uniform volume charge density p0. A concentric cylinder of radius b >a surrounds it. The outer surface of this cylinder has a linear charge density λ. Find the electric field everywhere.

 

Solutions to Tutorial Problems :

1. Imagine the base to be closed so that we get a closed hemisphere. The total flux passing through the closed surface is zero as it does not enclose any charge. The flux from the base is easy to calculate and is Gauss’s Law & Potential | Electromagnetic Fields Theory (EMFT) - Electrical Engineering (EE) Thus the flux through closed surface is Gauss’s Law & Potential | Electromagnetic Fields Theory (EMFT) - Electrical Engineering (EE)

2. Take the Gaussian surface to be a sphere of radius R. By Gauss’s law,

Gauss’s Law & Potential | Electromagnetic Fields Theory (EMFT) - Electrical Engineering (EE)

Total charge enclosed is obtained by taking the limit  Gauss’s Law & Potential | Electromagnetic Fields Theory (EMFT) - Electrical Engineering (EE) which gives zero as the total charge.

3. Since the charge density is spherically symmetric, the electric field also is. It follows that

Gauss’s Law & Potential | Electromagnetic Fields Theory (EMFT) - Electrical Engineering (EE)

Which gives the electric field in the annular region to be  Gauss’s Law & Potential | Electromagnetic Fields Theory (EMFT) - Electrical Engineering (EE) The field outside the outer surface is Gauss’s Law & Potential | Electromagnetic Fields Theory (EMFT) - Electrical Engineering (EE) and the field in the region r <R1 is zero.

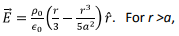
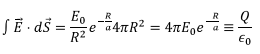
4. For r<a, the electric field is given by,

Gauss’s Law & Potential | Electromagnetic Fields Theory (EMFT) - Electrical Engineering (EE)

This gives, Gauss’s Law & Potential | Electromagnetic Fields Theory (EMFT) - Electrical Engineering (EE) the integral limits are from 0 to a and it gives,

Gauss’s Law & Potential | Electromagnetic Fields Theory (EMFT) - Electrical Engineering (EE)

5. For r < a, the Gaussian surface to be a cylinder of radius r and length l. The amount of charged enclosed by this surface is   Gauss’s Law & Potential | Electromagnetic Fields Theory (EMFT) - Electrical Engineering (EE) The flux is only due to the curved surface because by cylindrical symmetry, the electrical field lines are perpendicular to the top and bottom caps. Thus for  Gauss’s Law & Potential | Electromagnetic Fields Theory (EMFT) - Electrical Engineering (EE)

For Gauss’s Law & Potential | Electromagnetic Fields Theory (EMFT) - Electrical Engineering (EE) the amount of charged enclosed by this surface is Gauss’s Law & Potential | Electromagnetic Fields Theory (EMFT) - Electrical Engineering (EE) The electric field is found using this easily.

 

Self Assessment Quiz

1. A pyramid has a square base. At the centre of the base is kept a charge q. Calculate the flux through any face of the pyramid.

2. A charge distribution gives rise to the electric field  Gauss’s Law & Potential | Electromagnetic Fields Theory (EMFT) - Electrical Engineering (EE) Find the net charge contained within a radius Gauss’s Law & Potential | Electromagnetic Fields Theory (EMFT) - Electrical Engineering (EE)

3. Consider a semi-infinite slab of thickness 2d containing a uniform positive charge density ρ. Find the electric field both within and outside the slab.

4. Repeat problem (2) with the charge density inside the slab being given by Gauss’s Law & Potential | Electromagnetic Fields Theory (EMFT) - Electrical Engineering (EE)

5. A long cylinder of radius R carries a charge density Gauss’s Law & Potential | Electromagnetic Fields Theory (EMFT) - Electrical Engineering (EE) where k is a constant and r is the distance from the axis of the cylinder. Find the electric field inside the cylinder.

 

Solutions to Self Assessment Quiz :

1. Add an identical pyramid to the base which is oriented in the opposite direction to the given pyramid. This makes the position of the pyramid symmetrical with respect to the bi-pyramid. The flux through 8 identical faces of the bi-pyramid  Gauss’s Law & Potential | Electromagnetic Fields Theory (EMFT) - Electrical Engineering (EE) so that the flux through any of the face is one eighth of this value.

2. Gauss’s Law & Potential | Electromagnetic Fields Theory (EMFT) - Electrical Engineering (EE) (The sphere is of radius r and all quantities are evaluated on the surface). Thus the charge contained in a sphere of radius Gauss’s Law & Potential | Electromagnetic Fields Theory (EMFT) - Electrical Engineering (EE)Gauss’s Law & Potential | Electromagnetic Fields Theory (EMFT) - Electrical Engineering (EE)

3. Let the faces be parallel to the xy plane and located at Gauss’s Law & Potential | Electromagnetic Fields Theory (EMFT) - Electrical Engineering (EE) There is no preferred direction in the xy plane and the field must point only in the z direction. However, for z=0 we cannot single out either positive direction of z nor negative direction. Thus in this plane the field must be zero. For evaluating field for a general value of z, consider a Gaussian surface of area A one end of which is on the z=0 plane and the other end at an arbitrary value of z. For Gauss’s Law & Potential | Electromagnetic Fields Theory (EMFT) - Electrical Engineering (EE) The amount of charge contained within the surface is Gauss’s Law & Potential | Electromagnetic Fields Theory (EMFT) - Electrical Engineering (EE) The field on the z=0 plane is zero. The field at z is Gauss’s Law & Potential | Electromagnetic Fields Theory (EMFT) - Electrical Engineering (EE) with the direction being away from the slab.
Gauss’s Law & Potential | Electromagnetic Fields Theory (EMFT) - Electrical Engineering (EE) the charge enclosed is Gauss’s Law & Potential | Electromagnetic Fields Theory (EMFT) - Electrical Engineering (EE) so that the field magnitude is Gauss’s Law & Potential | Electromagnetic Fields Theory (EMFT) - Electrical Engineering (EE)

4. The charge density is an even function of z. The magnitude of E must also be even function of z. However, the direction of the field is in +z direction for z >0 and along –z direction for negative z. Hence, the field in the z=0 plane must be zero.
Once again, take a Gaussian cylinder with its base perpendicular to the xy plane with one end in z=0 plane and the other end at an arbitrary z (figure shows the cylinder to extend beyond the slab with z>d, but one can draw similar picture for z<d). Take z<d. To determine the charge enclosed take a cylindrical element of width dz at height z. The charge in this element is Gauss’s Law & Potential | Electromagnetic Fields Theory (EMFT) - Electrical Engineering (EE)

Gauss’s Law & Potential | Electromagnetic Fields Theory (EMFT) - Electrical Engineering (EE)

Thus if the height of the cylinder is z, the charge contained is

Gauss’s Law & Potential | Electromagnetic Fields Theory (EMFT) - Electrical Engineering (EE)

Thus the electric field is given by  Gauss’s Law & Potential | Electromagnetic Fields Theory (EMFT) - Electrical Engineering (EE) the direction being along positive z direction for z>0 and along negative zdirection for zd, the charge can be calculated in a similar fashion but the integral limits are from z=0 to d, which gives, the charge contained to be Gauss’s Law & Potential | Electromagnetic Fields Theory (EMFT) - Electrical Engineering (EE) which gives the electric field magnitude to be Gauss’s Law & Potential | Electromagnetic Fields Theory (EMFT) - Electrical Engineering (EE) the direction being as before.

5. Take the Gaussian surface to be a coaxial cylinder of length l and radius r < R. The charge enclosed by the surface is  Gauss’s Law & Potential | Electromagnetic Fields Theory (EMFT) - Electrical Engineering (EE) The electric field is radially outward, giving the contribution to the flux from the curved surface of the cylinder. The  flux is Gauss’s Law & Potential | Electromagnetic Fields Theory (EMFT) - Electrical Engineering (EE) The electric field is given by Gauss’s Law & Potential | Electromagnetic Fields Theory (EMFT) - Electrical Engineering (EE)

The document Gauss’s Law & Potential | Electromagnetic Fields Theory (EMFT) - Electrical Engineering (EE) is a part of the Electrical Engineering (EE) Course Electromagnetic Fields Theory (EMFT).
All you need of Electrical Engineering (EE) at this link: Electrical Engineering (EE)
10 videos|53 docs|56 tests

FAQs on Gauss’s Law & Potential - Electromagnetic Fields Theory (EMFT) - Electrical Engineering (EE)

1. What is Gauss's Law and how is it related to potential?
Ans. Gauss's Law is a fundamental principle in physics that relates the electric field to the distribution of electric charge. It states that the electric flux through a closed surface is directly proportional to the charge enclosed by the surface. The potential, on the other hand, is a scalar quantity that represents the work done per unit charge in bringing a positive test charge from infinity to a specific point in an electric field. Gauss's Law can be used to derive the electric potential from a known charge distribution.
2. How is Gauss's Law applied to determine the electric field of a charged object?
Ans. To determine the electric field of a charged object using Gauss's Law, we choose a closed surface (Gaussian surface) that surrounds the charge distribution. The electric flux through this closed surface can be calculated by integrating the dot product of the electric field and the differential area element. Gauss's Law then states that the total flux is equal to the charge enclosed by the surface divided by the permittivity of free space. By rearranging this equation, we can solve for the electric field magnitude at any point on the Gaussian surface.
3. What is the relationship between electric potential and electric field?
Ans. The electric potential and electric field are closely related. The electric field is a vector field that represents the force experienced by a positive test charge at a given point in space. It is defined as the force per unit charge. On the other hand, the electric potential is a scalar quantity that represents the potential energy per unit charge at a given point in space. It is defined as the work done per unit charge in bringing a positive test charge from infinity to that point. The electric field can be derived from the electric potential by taking the negative gradient of the potential.
4. How is the concept of electric potential used to solve problems in electrostatics?
Ans. The concept of electric potential is a valuable tool for solving problems in electrostatics. It allows us to analyze the behavior of electric charges and their interactions without considering the forces directly. By calculating the electric potential at various points in space, we can determine the potential difference between two points and use it to find the work done in moving charges between those points. This helps in understanding the behavior of electric fields, conducting electrostatic calculations, and predicting the motion of charged particles.
5. Can Gauss's Law be applied to any charge distribution?
Ans. Gauss's Law can be applied to any charge distribution, as long as the charge is enclosed by the chosen Gaussian surface. However, the application of Gauss's Law becomes more complex for charge distributions with irregular shapes or non-uniform charge densities. In such cases, careful consideration of symmetry and appropriate choice of Gaussian surface is necessary to simplify the calculations. Nonetheless, Gauss's Law remains a powerful tool for analyzing electric fields and charges in a wide range of scenarios.
Related Searches

Viva Questions

,

Summary

,

Important questions

,

Extra Questions

,

Gauss’s Law & Potential | Electromagnetic Fields Theory (EMFT) - Electrical Engineering (EE)

,

shortcuts and tricks

,

study material

,

pdf

,

MCQs

,

Sample Paper

,

ppt

,

Exam

,

past year papers

,

Gauss’s Law & Potential | Electromagnetic Fields Theory (EMFT) - Electrical Engineering (EE)

,

mock tests for examination

,

video lectures

,

Gauss’s Law & Potential | Electromagnetic Fields Theory (EMFT) - Electrical Engineering (EE)

,

Free

,

Previous Year Questions with Solutions

,

Semester Notes

,

practice quizzes

,

Objective type Questions

;