Mechanical Engineering Exam  >  Mechanical Engineering Notes  >  Heat Transfer  >  Heat Exchangers (Part - 5)

Heat Exchangers (Part - 5) | Heat Transfer - Mechanical Engineering PDF Download

8.2.7 Pressure drop in the heat exchanger 
Pressure drop calculation is an important task in heat exchanger design. The pressure drops in the tube side as well as shell side are very important and quite a few co-relations are available in the literature. One such co-relation is given below in the subsequent subsection.

8.2.7.1 Correlation for tube side pressure drop (eq. 8.10)

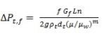
Heat Exchangers (Part - 5) | Heat Transfer - Mechanical Engineering   (8.10)

where,

ΔPt,f = total pressure drop in the bundle of tube
f  = friction factor (can be found out from Moody’s chart)
Gt = mass velocity of the fluid in the tube
L = tube length
n = no of tube passes
g = gravitational acceleration
ρt = density of the tube fluid
di = inside diameter of the tube
m =0.14 for Re > 2100
       0.25 for Re < 2100

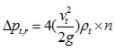
The above correlation is for the pressure drop in the tubes owing to the frictional losses. However in case of multi pass flow direction of the flow in the tube changes when flow is from 1-pass to another pass and the pressure losses due to the change in direction is called return-loss. The return-loss (ΔPt,r) is given by eq.8.11,

Heat Exchangers (Part - 5) | Heat Transfer - Mechanical Engineering                    (8.11)

n = no of tube pass
vt = velocity of the tube fluid
ρt = density of the tube fluid

Therefore, the total tube side pressure drop will be,

Δpt = ΔPt,f + ΔPt,r

8.2.7.2 Correlation for shell side pressure drop
The following correlation (eq.8.12) may be used for an unbaffled shell,

Heat Exchangers (Part - 5) | Heat Transfer - Mechanical Engineering                   (8.12)

The above equation can be modified to the following form (eq.8.13) for a baffled shell,

Heat Exchangers (Part - 5) | Heat Transfer - Mechanical Engineering                   (8.13)

where

L = shell length
ns = no of shell pass
nb = no of baffles
ρs   = shell side fluid density
Gs   = shell side mass velocity
Dh  = hydraulic diameter of the shell
Dsi  = inside diameter of shell
fs  = shell side friction factor

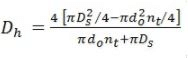
The hydraulic diameter (Dh) for the shell can be calculated by the following equation (eq. 8.14),

Heat Exchangers (Part - 5) | Heat Transfer - Mechanical Engineering                    (8.14)

where,

nt = number of tubes in the shell
do = outer diameter of the tube
The friction factor (fs) can be obtained by the Moody’s chart for the corresponding Reynolds number Heat Exchangers (Part - 5) | Heat Transfer - Mechanical Engineering


8.2.8. Heat transfer effectiveness and number of transfer units (NTU)
The LMTD is required to be calculated for the evaluation of heat exchanger performance. However, the LMTD cannot be directly calculated unless all the four terminal temperatures (Tc,i, Tc,o, Th,i, Th,o) of both the fluids are known.

Sometimes the estimation of the exchanger performance (q) is required to be calculated on the given inlet conditions, and the outlet temperature are not known until q is determined. Thus the problem depends on the iterative calculations. This type of problem may be taken care of using performance equivalent in terms of heating effectiveness parameter (η), which is defined as the ratio of the actual heat transfer to the maximum possible heat transfer. Thus,

Heat Exchangers (Part - 5) | Heat Transfer - Mechanical Engineering (8.15)

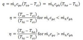
For an infinite transfer area the most heat would be transferred in counter-current flow and the qmax will be dependent on the lower heat capacity fluid as such,

Heat Exchangers (Part - 5) | Heat Transfer - Mechanical Engineering

The actual heat transfer

Heat Exchangers (Part - 5) | Heat Transfer - Mechanical Engineering

The capacity ratio, which is the relative thermal size of the two fluid streams, is defined as,

Heat Exchangers (Part - 5) | Heat Transfer - Mechanical Engineering

On careful analysis, we can say that

U·A: Heat exchange capacities per unit temperature difference.

This thermal sizing (U·A) can be non-dimensionalised by dividing it to the storage capacity of one of the fluid streams. Given Heat Exchangers (Part - 5) | Heat Transfer - Mechanical Engineering limits the maximum heat transfers. The non-dimensional term obtained is known as the number of transfer units (NTU)

Heat Exchangers (Part - 5) | Heat Transfer - Mechanical Engineering

It should be noted that

Heat Exchangers (Part - 5) | Heat Transfer - Mechanical Engineering

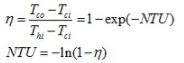
The actual determination of this function may be done using heat balances for the streams. For a parallel flow exchanger the relation is shown below

Heat Exchangers (Part - 5) | Heat Transfer - Mechanical Engineering

The above relation is true for both the condition Heat Exchangers (Part - 5) | Heat Transfer - Mechanical Engineering

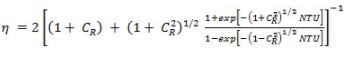
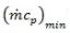
Similarly the functional relationship for counter –current exchanger is

Heat Exchangers (Part - 5) | Heat Transfer - Mechanical Engineering (8.16 & 8.17)

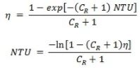
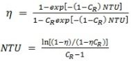
The previous relation (eq. 8.16 and 8.17) were for 1-1 exchanger. The relation for 1-2 exchanger (counter current) is given by eq. 8.18, 8.19),

 

Heat Exchangers (Part - 5) | Heat Transfer - Mechanical Engineering                    (8.18)

Heat Exchangers (Part - 5) | Heat Transfer - Mechanical Engineering                   (8.19)

When the fluid streams are condensing in a 1-1 pass exchanger (fig. 8.15) as shown below,

Heat Exchangers (Part - 5) | Heat Transfer - Mechanical Engineering

Fig.8.15: Condenser with the temperature nomenclature

the following relation arrives.

Heat Exchangers (Part - 5) | Heat Transfer - Mechanical Engineering

The document Heat Exchangers (Part - 5) | Heat Transfer - Mechanical Engineering is a part of the Mechanical Engineering Course Heat Transfer.
All you need of Mechanical Engineering at this link: Mechanical Engineering
55 videos|108 docs|86 tests

FAQs on Heat Exchangers (Part - 5) - Heat Transfer - Mechanical Engineering

1. What is a heat exchanger and how does it work?
Ans. A heat exchanger is a device used to transfer heat between two or more fluids that are at different temperatures. It works by allowing the fluids to flow in separate channels or passages while maintaining a physical barrier between them. This barrier allows the heat to be transferred from one fluid to another without them mixing together.
2. What are the different types of heat exchangers?
Ans. There are several types of heat exchangers, including shell and tube, plate and frame, compact, and air-cooled heat exchangers. Shell and tube heat exchangers consist of a shell (outer vessel) with multiple tubes inside it, allowing one fluid to flow through the tubes while the other flows around them. Plate and frame heat exchangers use thin plates with corrugated patterns to increase the surface area for heat transfer. Compact heat exchangers have a high surface area-to-volume ratio, making them efficient in compact spaces. Air-cooled heat exchangers use air as the cooling medium instead of a liquid.
3. What are the advantages of using a heat exchanger in chemical processes?
Ans. Heat exchangers offer several advantages in chemical processes. Firstly, they allow for efficient heat transfer, enabling energy savings and reducing operating costs. They also aid in temperature control, ensuring that processes operate within desired temperature ranges. Heat exchangers can be designed to handle corrosive or hazardous fluids, making them suitable for various chemical applications. Additionally, they contribute to process safety by preventing contamination or mixing of different fluids.
4. How do you select the appropriate heat exchanger for a specific application?
Ans. Selecting the right heat exchanger for a specific application involves considering factors such as the required heat transfer rate, temperature range, pressure drop, fluid compatibility, space limitations, and cost. It is essential to analyze the properties and characteristics of the fluids involved, including their thermal conductivity, viscosity, and fouling tendencies. By evaluating these factors, engineers can determine the most suitable heat exchanger type, such as shell and tube, plate and frame, or compact, and customize its design to meet the specific requirements of the application.
5. What are some common maintenance and troubleshooting practices for heat exchangers?
Ans. Regular maintenance is crucial for ensuring the optimal performance of heat exchangers. Some common maintenance practices include cleaning the heat transfer surfaces to remove fouling or scaling, inspecting and repairing any leaks or damage in the equipment, and checking and replacing worn-out gaskets or seals. Troubleshooting practices involve identifying and resolving issues such as inadequate heat transfer, temperature imbalances, or excessive pressure drop. This can be achieved by examining the flow rates, fluid properties, and design parameters, and making appropriate adjustments or repairs to restore the heat exchanger's efficiency.
Related Searches

practice quizzes

,

Viva Questions

,

MCQs

,

pdf

,

mock tests for examination

,

Extra Questions

,

Exam

,

Objective type Questions

,

study material

,

Heat Exchangers (Part - 5) | Heat Transfer - Mechanical Engineering

,

Heat Exchangers (Part - 5) | Heat Transfer - Mechanical Engineering

,

Previous Year Questions with Solutions

,

ppt

,

Sample Paper

,

Summary

,

past year papers

,

shortcuts and tricks

,

video lectures

,

Heat Exchangers (Part - 5) | Heat Transfer - Mechanical Engineering

,

Important questions

,

Semester Notes

,

Free

;