Mechanical Engineering Exam  >  Mechanical Engineering Notes  >  Heat Transfer  >  Heat Exchangers - 3

Heat Exchangers - 3 | Heat Transfer - Mechanical Engineering PDF Download

8.2 Thermal design of heat exchangers

The mechanical design is done by the mechanical engineers on the inputs of chemical engineers and using the codes. The most widely used code in Tubular Exchanger Manufactures Associations (TEMA). This USA code along with ASME selection VIII (unfired pressure vessel) code is used together for the mechanical design of the heat exchanger. The Indian code for the heat exchanger design IS 4503.

Here we would discuss about the process design (or thermal design) leading to the sizing of the heat exchanger. Before understanding design steps, it is necessary to understand the following for the heat exchanger.


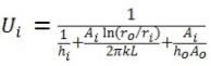
8.2.1 Overall heat transfer coefficient

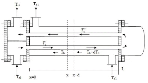
As understood by the previous discussion that generally heat exchangers are tubular in nature (Note: we are not discussing about plate type heat exchangers). Thus we can easily find out the overall heat transfer coefficient based on our previous knowledge. Figure 8.8 shows a simplest form (double pipe heat exchanger) of tubular heat exchanger, where fluid A is being heated by fluid B in a co-current flow pattern. The inside and outside radii of the inner tube is represented ri and ro. The length of the exchanger for heat transfer is considered as L for section 1 to 2.

Heat Exchangers - 3 | Heat Transfer - Mechanical Engineering

Heat Exchangers - 3 | Heat Transfer - Mechanical Engineering

Fig.8.8: (a) Schematic of a double pipe heat exchanger (b) thermal resistance network for overall heat transfer

Thus the rate of heat transfer from the hot fluid to the cold fluid will be represented by eq.8.1,

Heat Exchangers - 3 | Heat Transfer - Mechanical Engineering    (8.1)

The overall heat transfer coefficient;

Based on inside area of the inner pipe (eq.8.2)

Heat Exchangers - 3 | Heat Transfer - Mechanical Engineering     (8.2)

Based on outer side area of the outer pipe (eq.8.3)

Heat Exchangers - 3 | Heat Transfer - Mechanical Engineering  (8.3)


8.2.2 Fouling factor or dirt factor

Over a time period of heat exchanger operation the surface of the heat exchanger may be coated by the various deposits present in the flow system. Moreover, the surfaces may become corroded or eroded over the time. Therefore, the thickness of the surface may get changed due to these deposits. These deposits are known as scale. These scales provide another resistance and usually decrease the performance of the heat exchangers. The overall effect is usually represented by dirt factor or fouling factor, or fouling resistance, Rf (Table 8.1) which must have included all the resistances along with the resistances due to scales for the calculation of overall heat transfer coefficient.

The fouling factor must be determined experimentally using eq. 8.4,

Heat Exchangers - 3 | Heat Transfer - Mechanical Engineering    (8.4)

Thus to determine the Rf, it is very important to know Uclean for the new heat exchanger. TheUclean must be kept securely to obtain the Rf, at any time of the exchanger’s life.

Table-8.1 Fouling factor of a few of the industrial fluids

Heat Exchangers - 3 | Heat Transfer - Mechanical Engineering
Heat Exchangers - 3 | Heat Transfer - Mechanical Engineering
Heat Exchangers - 3 | Heat Transfer - Mechanical Engineering


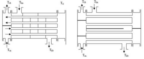
8.2.3 Temperature profiles in heat exchangers

Fig. 8.9 shows the temperature profile along the length of a 1-2 exchangers and 2-4 exchangers.

Heat Exchangers - 3 | Heat Transfer - Mechanical Engineering
Heat Exchangers - 3 | Heat Transfer - Mechanical Engineering

Fig.8.9 Temperature-length curve corresponding to (a) 1-2 exchanger ; (b) 2-4 exchanger

 

The nomenclature used in the fig.8.9 is described below

Tha: Inlet temperature of hot fluid
Thb: Outlet temperature of hot fluid
Tca: Inlet temperature of cold fluid
Tcb: Outlet temperature of cold fluid
Tci: Intermediate temperature of cold fluid

In the above arrangement it is assumed that the hot fluid is flowing in the shell side and cold fluid is flowing in the tube side of the exchangers. The fig.8.9 (a) shows the 1-2 exchangers in which the hot fluid enter into the exchanger from the left side and exits from the right side. The cold fluid enters concurrently that is from the left side to the tube of the exchangers and goes up to right end of the exchangers and returns back to make two tube pass, and exits from the left end of the exchangers. The temperature profile all along the length of the exchanger is shown in the corresponding temperature length profile. Figure8.9 (b) shows the flow direction and corresponding temperature length profile for 2-4 exchangers. The shell side fluid two passes and the tube side fluid has 4-passes in the exchangers.

It can be easily understood that whenever the number of passes is more than one, the flow cannot be truly co-current or counter current. Thus it will be a mix of co-current and counter current flows in any multi pass heat exchangers.

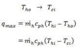
Though the temperature profile of the hot and cold streams can be easily predictable for single pass heat exchangers but for the complex flow modes, the prediction of temperature distribution will be difficult as shown in fig.8.9. As can be seen when 1-2 exchangers was (fig.8.9 (a)) used in co-current mode, the temperature profile was given in the figure. However, if the fluid streams enter in counter current mode a temperature cross may occur sometimes. Temperature cross is described as the positive temperature difference between the cold and the hot fluid, when these fluids leave the exchangers. In that case the cold fluid will attain the maximum temperature inside the exchanger instead of at the exit (fig.8.10).

Heat Exchangers - 3 | Heat Transfer - Mechanical Engineering
Heat Exchangers - 3 | Heat Transfer - Mechanical Engineering
 

Fig. 8.10: 1-2 flow pattern and temperature profile in exchanger showing cross flow

At this temperature cross, the cold fluid temperature reaches the maximum at a point inside the exchanger and not at its exits. This temperature cross point also coincides with the point of intersection of the temperature profile of the hot fluid and the co-current zone of the cold fluid. The difference (Tc2 - Th2) is called the temperature cross of the exchanger. However, if the temperature cross does not appear then the (Tc2 - Th2) is called the approach. Moreover, on careful evaluation it can be seen that for the multi shell side pass a significant length of the exchanger have cross flow pattern in the tube flow when the shell side fluid is migrating from one shell pass to another shell pass. Thus calculating heat transfer co-efficient for shell side becomes little challenging and will be explained in section 8.2.6. Although the parallel flow or counter flow arequite similar, the parallel flow and counter flow heat exchangers differ greatly in the manner in which the fluid temperatures vary as the fluid pass through. The difference can be understood in the figure 8.11.

The fig.8.11 shows an important parameter, mcp, the product of mass flow rate (m) and the specific heat, cp, of the fluids. The product mcp is called the rate of heat capacity.
The overall energy balance of the heat exchanger gives the total heat transfer between the fluids, q, expressed by eq.8.5,

 

Heat Exchangers - 3 | Heat Transfer - Mechanical Engineering (8.5)

The fig.8.11 shows the relative variation of the two fluid temperatures through the heat exchanger, which is influenced by whether Heat Exchangers - 3 | Heat Transfer - Mechanical Engineering is greater or less than Heat Exchangers - 3 | Heat Transfer - Mechanical Engineering.
In particular, for counter flow, examination of the sketches in fig.8.11 shows that limiting condition for maximum heat transfer is determine by whether Heat Exchangers - 3 | Heat Transfer - Mechanical Engineering is greater or less than Heat Exchangers - 3 | Heat Transfer - Mechanical Engineering. When, Heat Exchangers - 3 | Heat Transfer - Mechanical Engineering the maximum possible heat transfer is determined by the fact that the hot fluid can be cooled to the temperature of the cold fluid inlet. Thus, for Heat Exchangers - 3 | Heat Transfer - Mechanical Engineering

Heat Exchangers - 3 | Heat Transfer - Mechanical Engineering

Heat Exchangers - 3 | Heat Transfer - Mechanical Engineering

Heat Exchangers - 3 | Heat Transfer - Mechanical Engineering

Heat Exchangers - 3 | Heat Transfer - Mechanical Engineering


Heat Exchangers - 3 | Heat Transfer - Mechanical Engineering

Fig.8.11: Temperature profiles of (a) parallel flow, and (b) counter flow, for differentHeat Exchangers - 3 | Heat Transfer - Mechanical Engineering  inequalities

For the other case when the limit is determined as the cold fluid is heated to the inlet temperature of the hot fluid:

For,

Heat Exchangers - 3 | Heat Transfer - Mechanical Engineering

Thus for the counter flow exchanger, the above two set equations show that the maximum possible heat exchanger is determined in terms of the inlet parameters. The maximum possible heat exchange may be determined (eq.8.6) by the fluid stream having low heat capacity rate;

Heat Exchangers - 3 | Heat Transfer - Mechanical Engineering   (8.6)

The subscript ccf denotes counter current flow. The Heat Exchangers - 3 | Heat Transfer - Mechanical Engineering is for the fluid having lower value of Heat Exchangers - 3 | Heat Transfer - Mechanical Engineering 

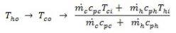
 In case of parallel flow, regardless of the relative sizes of the two stream the limiting heat transfer condition is determine by the fact that the two fluid streams approach the same outlet temperature. Thus,

 Tho → Tco condition can be found out by the weighted average of the inlet stream.

Heat Exchangers - 3 | Heat Transfer - Mechanical Engineering

Thus, the maximum possible heat transfer may be,

Heat Exchangers - 3 | Heat Transfer - Mechanical Engineering

or,

Heat Exchangers - 3 | Heat Transfer - Mechanical Engineering    (8.7)

The subscript pf represents parallel flow (co-current). From the above discussion and qmaxequations (8.6 and 8.7) it can be calculated for a given inlet conditions the counter current flow arrangement always has a better potential for heat transfer as compared to parallel flow arrangement.

The document Heat Exchangers - 3 | Heat Transfer - Mechanical Engineering is a part of the Mechanical Engineering Course Heat Transfer.
All you need of Mechanical Engineering at this link: Mechanical Engineering
55 videos|100 docs|86 tests

FAQs on Heat Exchangers - 3 - Heat Transfer - Mechanical Engineering

1. What is a heat exchanger and how does it work?
Ans. A heat exchanger is a device used in chemical engineering to transfer heat between two or more fluids. It works by having two fluid streams, one hot and one cold, which flow in separate channels. The heat from the hot fluid is transferred to the cold fluid through a solid barrier, typically made of metal, without the two fluids mixing with each other.
2. What are the types of heat exchangers commonly used in chemical engineering?
Ans. There are several types of heat exchangers commonly used in chemical engineering. Some of the most common ones are: - Shell and tube heat exchangers: These consist of a shell with multiple tubes inside. One fluid flows through the tubes while the other fluid flows around the tubes in the shell. - Plate heat exchangers: These consist of multiple plates with channels for the fluids to flow between. The plates are stacked together, allowing for efficient heat transfer. - Double-pipe heat exchangers: These have two concentric pipes, with one fluid flowing through the inner pipe and the other fluid flowing through the annular space between the pipes.
3. What factors affect the performance of a heat exchanger?
Ans. Several factors can affect the performance of a heat exchanger. Some of the key factors include: - Temperature difference between the hot and cold fluids: A larger temperature difference allows for more heat transfer. - Surface area of the heat exchanger: A larger surface area provides more contact between the fluids, resulting in better heat transfer. - Flow rate of the fluids: Higher flow rates can increase the heat transfer rate, but too high flow rates can increase pressure drop and reduce efficiency. - Fluid properties: The specific heat capacity and thermal conductivity of the fluids can impact the heat transfer rate.
4. How can fouling impact the performance of a heat exchanger?
Ans. Fouling refers to the accumulation of unwanted deposits on the surfaces of a heat exchanger, typically due to the presence of impurities or scale-forming substances in the fluid. Fouling can significantly impact the performance of a heat exchanger by reducing heat transfer efficiency, increasing pressure drop, and requiring more frequent cleaning or maintenance. To mitigate fouling, regular cleaning and maintenance, as well as the use of appropriate fouling-resistant materials, can be employed.
5. How can the efficiency of a heat exchanger be improved?
Ans. There are several ways to improve the efficiency of a heat exchanger: - Increasing the surface area: This can be achieved by using extended surfaces or fins, which enhance heat transfer by increasing the contact area between the fluids and the heat exchanger. - Improving fluid flow: Optimizing the flow patterns, such as using counterflow or crossflow configurations, can enhance heat transfer efficiency. - Minimizing fouling: Regular cleaning and maintenance can help prevent fouling and maintain the heat exchanger's performance. - Using efficient materials: Choosing materials with high thermal conductivity and resistance to corrosion and fouling can improve the heat exchanger's efficiency. - Insulating the heat exchanger: Proper insulation can minimize heat loss and improve the overall efficiency of the system.
Related Searches

Objective type Questions

,

Viva Questions

,

Heat Exchangers - 3 | Heat Transfer - Mechanical Engineering

,

Sample Paper

,

practice quizzes

,

Semester Notes

,

pdf

,

shortcuts and tricks

,

mock tests for examination

,

Important questions

,

MCQs

,

Exam

,

Summary

,

Previous Year Questions with Solutions

,

Free

,

Heat Exchangers - 3 | Heat Transfer - Mechanical Engineering

,

study material

,

Heat Exchangers - 3 | Heat Transfer - Mechanical Engineering

,

Extra Questions

,

ppt

,

past year papers

,

video lectures

;