Physics Exam  >  Physics Notes  >  Kinetic Theory & Thermodynamics  >  Heat & Work Done

Heat & Work Done | Kinetic Theory & Thermodynamics - Physics PDF Download

Heat Exchanged (Q)

When two systems with different temperatures are put in contact, heat flows spontaneously from the hotter to the colder system. There are different parameter which is helpful to determine Heat exchange of system mainly comprises Fluid and Gas.

Specific Heat

Heat capacity of a body is numerically equal to quantity of heat required to raise its temperature by 1 unit
C = Heat & Work Done | Kinetic Theory & Thermodynamics - Physics

The specific heat of a material is numerically equal to quantity of heat required to raise the temperature of unit mass of that materials through 1 unit
C = Heat & Work Done | Kinetic Theory & Thermodynamics - Physics

Heat Capacity of Ideal Gas

If f is degree of freedom of Ideal gas, then from equi-partition law of energy, the total sum of energy is equivalent to sum of kinetic energy associated with each degree of freedom

Molar Heat Capacity

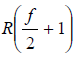
Molar heat capacity is defined as the energy required to raise the temperature of one mole of Ideal gas by one Kelvin at constant volume.
U = Heat & Work Done | Kinetic Theory & Thermodynamics - Physics , where NA is Avogadro number
Heat & Work Done | Kinetic Theory & Thermodynamics - Physics
Cv = Rf/2, for ideal gas
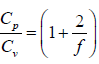
Cp = Cv + R = Heat & Work Done | Kinetic Theory & Thermodynamics - Physics

γ is defined as ratio of heat capacity at constant pressure to heat capacity at constant

volume.
γ = Heat & Work Done | Kinetic Theory & Thermodynamics - Physics

Latent Heat

The heat required to convert a solid into a liquid or vapor, or a liquid into a vapor, without change of temperature. Latent heat can be understood as heat energy in hidden form which is supplied or extracted to change the state of a substance without changing its temperature. Examples are latent heat of fusion and latent heat of vaporization involved in phase changes, i.e. a substance condensing or vaporizing at a specified temperature and pressure. 

A specific latent heat L expresses the amount of energy in the form of heat Q required to

completely effect a phase change of a unit of mass (m) , usually 1kg , of a substance as

an intensive property, then

Q = mL

Work Done during Process

Suppose due to heat supplied Q to a system, the system expands and applies pressure P on piston of area A while is displaced by dx

Heat & Work Done | Kinetic Theory & Thermodynamics - Physics

Work done by system Heat & Work Done | Kinetic Theory & Thermodynamics - Physics
Total work W = ∫PAdx or W = ∫PdV where Adx = dV volume swept by piston.Work done when process is occurred between A to B is the area under the PV curve i.e. Heat & Work Done | Kinetic Theory & Thermodynamics - Physics
Heat & Work Done | Kinetic Theory & Thermodynamics - Physics

If work is done by the system, it has positive sign and if work is done on the system, it has negative sign.

valid for a reversible pressure only as integration can be done only for a continuous path. Otherwise W = PΔV irreversible process.
Sign convention:

Work done(∂W ) by the system is positive but work done on the system is negative, Heat (∂Q) absorbed by system is positive and heat rejected by the system is negative.
Heat & Work Done | Kinetic Theory & Thermodynamics - Physics

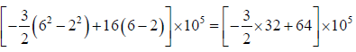
Example 3: A non flow quasi – static (reversible) process occurs for which P = (-3V + 16)bar, where V is volume in m3 . What is the work done when V changes from 2m3 to 6m3?

P = (-3V + 16)bar = (3V + 16)x105N/M2
Heat & Work Done | Kinetic Theory & Thermodynamics - Physics
= Heat & Work Done | Kinetic Theory & Thermodynamics - Physics
=[-48 + 64]x105 = 16 x 105 Nm or J

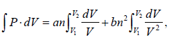
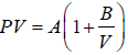
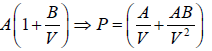
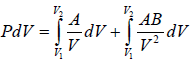
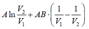
Example 4: The equation of state for one mole of a non-ideal gas is given by Heat & Work Done | Kinetic Theory & Thermodynamics - Physics, where the coefficient A and B are temperature dependent. If the volume changes from V1 to V2 in an isothermal process, find the work done by the gas.

PV = Heat & Work Done | Kinetic Theory & Thermodynamics - Physics
W= Heat & Work Done | Kinetic Theory & Thermodynamics - Physics = Heat & Work Done | Kinetic Theory & Thermodynamics - Physics


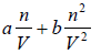
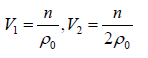
Example 5: The pressure P of a fluid is related to its number density ρ by the equation of state P = aρ + bρ2 where a and b are constants. If the initial volume of the fluid is V0 , Find the work done on the system when it is compressed, so as to increase the number density from an initial value of ρ0 to2ρ0.

P = aρ + bρ2 ⇒ P = Heat & Work Done | Kinetic Theory & Thermodynamics - Physics ρ = n/V
W = Heat & Work Done | Kinetic Theory & Thermodynamics - Physics where Heat & Work Done | Kinetic Theory & Thermodynamics - Physics
⇒ W = Heat & Work Done | Kinetic Theory & Thermodynamics - Physics = Heat & Work Done | Kinetic Theory & Thermodynamics - Physics, n = ρ0V0
Work done on the system = -W = Heat & Work Done | Kinetic Theory & Thermodynamics - Physics

Thermodynamical coefficient for Gases

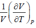
Coefficient of Volume Expansion or Expansivity(α) the ratio of the increase of length, area, or volume of a body per degree rise in temperature to its length, area, or volume, respectively, at some specified temperature, commonly 0°C, the pressure being kept constant also called expansivity.
α = Heat & Work Done | Kinetic Theory & Thermodynamics - Physics

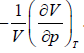
Isothermal Elasticity

The Ratio of the change in pressure acting on volume to the fractional change in volume. Isothermal Elasticity can be compare to Bulk modulus of Ideal gases

Heat & Work Done | Kinetic Theory & Thermodynamics - Physics

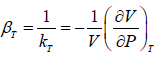
Isothermal compressibility

The inverse of Isothermal Elasticity is identified as Isothermal compressibility

Heat & Work Done | Kinetic Theory & Thermodynamics - Physics

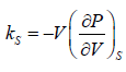
Adiabatic Elasticity

The Ratio of the change in pressure acting on volume to the fractional change in volume in such a way that heat is not allowed to exchanged 

Heat & Work Done | Kinetic Theory & Thermodynamics - Physics

Adiabatic compressibility

The inverse of Adiabatic elasticity is identified is Adiabatic compressibility
βs = Heat & Work Done | Kinetic Theory & Thermodynamics - Physics

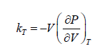
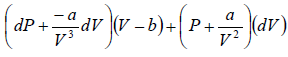
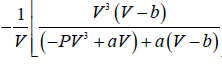
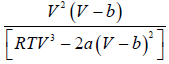
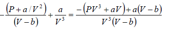
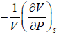
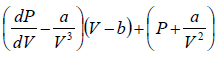
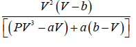
Example 6: Find the isothermal compressibility βT of a van der Waals gas which is given by equation of state Heat & Work Done | Kinetic Theory & Thermodynamics - Physics as a function of volume V at temperature T .
Note: By definition, βT = Heat & Work Done | Kinetic Theory & Thermodynamics - Physics

We know bulk modulus of a gas is given by

van der Wall equation = Heat & Work Done | Kinetic Theory & Thermodynamics - Physics                                       (i)

If process is isothermal: T = constant

Heat & Work Done | Kinetic Theory & Thermodynamics - Physics = 0

Heat & Work Done | Kinetic Theory & Thermodynamics - Physics = 0

dP/dV  = Heat & Work Done | Kinetic Theory & Thermodynamics - Physics

βT = Heat & Work Done | Kinetic Theory & Thermodynamics - Physics = Heat & Work Done | Kinetic Theory & Thermodynamics - Physics              (ii)

Put values of P from (i) in (ii)

βT =Heat & Work Done | Kinetic Theory & Thermodynamics - Physics

Conservation of energy base of first law of thermodynamics

Energy can neither be created nor destroyed; rather, it can only be transformed or transferred from one form to another.

Consider a system of Ideal gas with boundary in which the process is reversible

Case -1 -when boundary of system is rigid

When system is rigid volume cannot be changed, when heat energy Q is supplied to a

system, the activity of its constituent particles increases because of this energy.

The level of increased energy is measured in terms of internal energy of the system

particles. So, Q = Heat & Work Done | Kinetic Theory & Thermodynamics - Physics, Ui is internal energy of ith system particles. The level of activity is measured in terms of temperature. If body is cooled, the reverse of this happens. In nutshell we can say that Q has been converted into U or vice versa. So energy is conserved.

In this case heat is converting into internal energy and vice versa .

Case -2 when when boundary of system is not rigid and made of conductor

Suppose heat supplied Q into a system, then pressure developed on such that boundary

of system expands by volume dV then mechanical work done is given by W = ∫PdV. The heat exchanged Q is equal to work done W similarly if boundary of system contracted then work done on the system and Heat will flow out of system. In this case heat is converting into mechanical energy and vice versa.

Case 3: When boundary not rigid but made of insulator.

In this case heat cannot be exchanged but if boundary of system is expand such that it cool the gases so internal energy will decrease similarly if boundary will compressed then

temperature of gas increase so internal will increased energy

Example 7: When 0.15kg of ice at 0oC is mixed with 0.3kg of water at 50oC in a container, the resulting temperature is 6.7oC . Calculate the heat of fusion of ice.

(Cwater = 4186Jkg-1K-1)

Heat lost by water Heat & Work Done | Kinetic Theory & Thermodynamics - Physics

= (0.30kg)(4186Jkg-1K-1)(50oC -0oC ) = 54376.14J

Heat required to melt ice = Heat & Work Done | Kinetic Theory & Thermodynamics - Physics

Heat required to raise temperature of ice water to final temperature = Heat & Work Done | Kinetic Theory & Thermodynamics - Physics

= (0.15kg)(4186Jkg-1K-1)(6.7oC -0oC ) = 4206.93J

Heat lost = Heat gained

54376.14J = (0.15kg)Lf + 4206.93J ⇒ Lf = 3.34 x 105Jkg-1

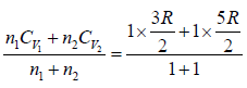
Example: If one mole of a monatomic gas (γ =  5 / 3) is mixed with one mole of a diatomic gas (γ =7 / 5) , then value of γ for the mixture. Assume volume of container is constant and no heat can be exchanged

(b): For a monatomic gas Cv1= 3R/2 for diatomic gas, Cv2 = 5R/2

n1 =1,n2 =1

From conservation of energy n1CV1T n2CV2T = (n1 + n2 )CvT

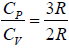
C= Heat & Work Done | Kinetic Theory & Thermodynamics - Physics = 2R

CP = Cv + R = 2R + R = 3R

γmixture = Heat & Work Done | Kinetic Theory & Thermodynamics - Physics = 1.5

The document Heat & Work Done | Kinetic Theory & Thermodynamics - Physics is a part of the Physics Course Kinetic Theory & Thermodynamics.
All you need of Physics at this link: Physics
6 videos|20 docs|32 tests

FAQs on Heat & Work Done - Kinetic Theory & Thermodynamics - Physics

1. What is the concept of heat exchange in thermodynamics?
Ans. Heat exchange refers to the transfer of thermal energy between two objects or systems. In thermodynamics, it is represented by the symbol Q and is measured in units of Joules (J). Heat is transferred from a hotter object to a colder object until their temperatures become equal, following the principle of the second law of thermodynamics.
2. What is latent heat and how does it affect thermodynamic processes?
Ans. Latent heat is the heat energy required or released during a phase change of a substance, such as melting or vaporization, at a constant temperature and pressure. It is represented by the symbol L and is measured in units of Joules per kilogram (J/kg). Latent heat affects thermodynamic processes by influencing the amount of heat required to change the phase of a substance without changing its temperature.
3. How is work done during a thermodynamic process calculated?
Ans. The work done during a thermodynamic process can be calculated using the equation W = PΔV, where W represents work, P represents pressure, and ΔV represents the change in volume. The unit of work is Joules (J), and it can be positive (work done on the system) or negative (work done by the system) depending on the direction of the process.
4. What is the thermodynamic coefficient for gases and how is it related to the ideal gas law?
Ans. The thermodynamic coefficient for gases, also known as the gas constant, is represented by the symbol R. It relates the pressure, volume, and temperature of an ideal gas through the ideal gas law equation PV = nRT, where P represents pressure, V represents volume, n represents the number of moles, T represents temperature in Kelvin, and R is the gas constant. The value of R depends on the units used for pressure, volume, and temperature.
5. How does adiabatic elasticity differ from isothermal elasticity in thermodynamics?
Ans. Adiabatic elasticity and isothermal elasticity are two concepts related to the elastic behavior of a substance under different temperature conditions. Adiabatic elasticity refers to the change in volume of a substance without any heat exchange with the surroundings, while isothermal elasticity refers to the change in volume of a substance at a constant temperature. Adiabatic elasticity is typically greater than isothermal elasticity due to the absence of heat exchange, resulting in a steeper pressure-volume relationship.
Related Searches

mock tests for examination

,

Exam

,

Important questions

,

Viva Questions

,

practice quizzes

,

MCQs

,

Free

,

Heat & Work Done | Kinetic Theory & Thermodynamics - Physics

,

ppt

,

pdf

,

Semester Notes

,

video lectures

,

Previous Year Questions with Solutions

,

Summary

,

shortcuts and tricks

,

Sample Paper

,

Extra Questions

,

Objective type Questions

,

past year papers

,

Heat & Work Done | Kinetic Theory & Thermodynamics - Physics

,

study material

,

Heat & Work Done | Kinetic Theory & Thermodynamics - Physics

;