Chemistry Exam  >  Chemistry Notes  >  Physical Chemistry  >  Gibbs Free Energy & Gibbs- Helmholtz equation

Gibbs Free Energy & Gibbs- Helmholtz equation | Physical Chemistry PDF Download

Helmholtz free energy or Helmholtz function or work function.

The work function (A) is defined as

A = U – TS

Let an isothermal change at temperature T from the initial state indicated by subscript (1) to final state subscript (Z) so that
                 A1 = U– TS1
&              A=  – TS2
                A2 – A1 = (U2 – U1) – T(S– S1)
                ΔA = ΔU – TΔS
or             dA = dU – TdS

                 dA = dU – TdS                                                         [∴ TdS = dq]
                 dA = dU – dq

From first law dq = dU – ω or  dU – dq = ω i.e.
dA = ω

Free energy function Gibb’s free energy function.
The free energy funct ion G is given by G = H – TS
Let us consider the change of system from (1) to (2) at constant temperature, we have

G2 – G1 = (H2 – H1) – T(S– S1)

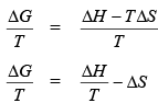
ΔG = ΔH – TΔS
dG = dH – TdS

Variation of free energy with pressure:

We know that

dG = VdP – SdT

when process is isothermal then 

dT = 0

(dG)T = V(dP)T
⇒ Gibbs Free Energy & Gibbs- Helmholtz equation | Physical Chemistry 

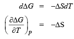
When pressure is constant the
dP = 0

(dG) P = –S(dT)P
⇒ Gibbs Free Energy & Gibbs- Helmholtz equation | Physical Chemistry

Isothermal change in free energy for ideal gas
dG = VdP

Integrating wit h the limit s G1 and G2, P1 and Pwe get

 Gibbs Free Energy & Gibbs- Helmholtz equation | Physical Chemistry
Gibbs Free Energy & Gibbs- Helmholtz equation | Physical Chemistry
Gibbs Free Energy & Gibbs- Helmholtz equation | Physical Chemistry

we know that P1V1 = P2V2
then

 Gibbs Free Energy & Gibbs- Helmholtz equation | Physical Chemistry
Gibbs Free Energy & Gibbs- Helmholtz equation | Physical Chemistry

Isothermal change in free energy for solid and liquid The volume occupied by solid and liquid is nearly independent of pressure:

dG = VdP
G2 – G= V(P2 – P1)

Problem.  Two mole of an ideal gas are allowed to expand reversibly and isothermally at 300 K from a pressure of 1 atm to a pressure of 0.1 atm.  What is the change is Gibb’s free energy.
Sol.

 Gibbs Free Energy & Gibbs- Helmholtz equation | Physical Chemistry
= 2.303 x 2 x 8.314 x 300 log Gibbs Free Energy & Gibbs- Helmholtz equation | Physical Chemistry

ΔG = –11488.2 J = –11.4882 KJ

Gibbs Helmholtz equation. 

(A) Temperature depends of free energy we know that

         G = H – TS

&      dG = VdP – SdT
         dG = VdP – SdT

As pressure is constant, therefore

              (dG)P = –S(dT)P
∴            dG1 = –S1dT

S1 & S2 are entropy in the init ial and final states.

dG= –S2dT

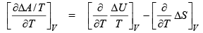
Subtracting these equation we get
        dG2 – dG1 = –(S2 – S1)dT
   Gibbs Free Energy & Gibbs- Helmholtz equation | Physical Chemistry

 &   Gibbs Free Energy & Gibbs- Helmholtz equation | Physical Chemistry

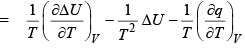
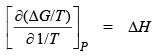
We know that 

Gibbs Free Energy & Gibbs- Helmholtz equation | Physical Chemistry                      …(1)
This is Gibb’s Helmholtz equation.

ΔG = ΔH - T ΔS

Gibbs Free Energy & Gibbs- Helmholtz equation | Physical Chemistry

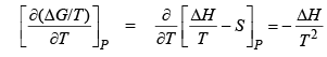
Differentiating this equation w.r.t. T at constant P we get

 Gibbs Free Energy & Gibbs- Helmholtz equation | Physical Chemistry
Gibbs Free Energy & Gibbs- Helmholtz equation | Physical Chemistry
Gibbs Free Energy & Gibbs- Helmholtz equation | Physical Chemistry
Gibbs Free Energy & Gibbs- Helmholtz equation | Physical Chemistry                 ... (2)
 

(B)  Temperature dependence of Helmholtz function:

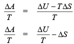
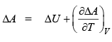
We know that      A = U – TS
                           ΔA = ΔU – TΔS
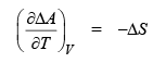
&                         dA = –PdV – SdT

As vo lume is constant, therefore

dA = –SdT dA1 = –S1dT

S1 and S2 are init ial and final entropy. dA2 = –S2dT Subtracting these equation we get
dA2 – dA1 = –(S2 – S1)dT
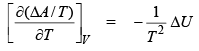
dΔA = –ΔSdT

⇒ Gibbs Free Energy & Gibbs- Helmholtz equation | Physical Chemistry

Gibbs Free Energy & Gibbs- Helmholtz equation | Physical Chemistry

Gibbs Free Energy & Gibbs- Helmholtz equation | Physical Chemistry

This is Gibbs Helmholtz equation.

ΔA = ΔU – TΔS
⇒ 
Gibbs Free Energy & Gibbs- Helmholtz equation | Physical Chemistry

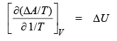
Different iat ing this equation w.r.t. T at constant V we get

 Gibbs Free Energy & Gibbs- Helmholtz equation | Physical Chemistry
Gibbs Free Energy & Gibbs- Helmholtz equation | Physical Chemistry
Gibbs Free Energy & Gibbs- Helmholtz equation | Physical Chemistry
Gibbs Free Energy & Gibbs- Helmholtz equation | Physical Chemistry…(2)

Problem.  Prove that

Gibbs Free Energy & Gibbs- Helmholtz equation | Physical Chemistry    Gibbs Free Energy & Gibbs- Helmholtz equation | Physical Chemistry

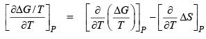
Sol. (a) ΔG = ΔH – TΔS dividing by T we get

Gibbs Free Energy & Gibbs- Helmholtz equation | Physical Chemistry

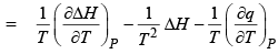
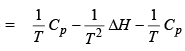
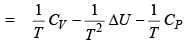
differentiation of Gibbs Free Energy & Gibbs- Helmholtz equation | Physical Chemistryby T at constant P, we get

 Gibbs Free Energy & Gibbs- Helmholtz equation | Physical Chemistry
or Gibbs Free Energy & Gibbs- Helmholtz equation | Physical Chemistry

Since     Gibbs Free Energy & Gibbs- Helmholtz equation | Physical Chemistry   therefore, we have

 Gibbs Free Energy & Gibbs- Helmholtz equation | Physical Chemistry

i.e. Gibbs Free Energy & Gibbs- Helmholtz equation | Physical Chemistry

Gibbs Helmholtz equation.

(b)  Similarly

 Gibbs Free Energy & Gibbs- Helmholtz equation | Physical Chemistry

Gibbs Helmholtz equation.
 Problem.  
For the reaction.

 Gibbs Free Energy & Gibbs- Helmholtz equation | Physical Chemistry

The value of enthalpy change and free energy change are –68.32 and –56.69 K cals respectively.  

Calculate the value of free energy change at 30°C.
 Sol. We know that 

Gibbs Free Energy & Gibbs- Helmholtz equation | Physical Chemistry

T = 25° = 273 + 25 = 298 K
–56.69 = 68.32 298 Gibbs Free Energy & Gibbs- Helmholtz equation | Physical Chemistry
⇒ Gibbs Free Energy & Gibbs- Helmholtz equation | Physical Chemistry
then at 30°C Gibbs Free Energy & Gibbs- Helmholtz equation | Physical Chemistry 

                         = –68.32 + 303 × 0.0390
                         ΔG = –56.495 kcal.

The document Gibbs Free Energy & Gibbs- Helmholtz equation | Physical Chemistry is a part of the Chemistry Course Physical Chemistry.
All you need of Chemistry at this link: Chemistry
84 videos|142 docs|67 tests

FAQs on Gibbs Free Energy & Gibbs- Helmholtz equation - Physical Chemistry

1. What is Gibbs Free Energy and why is it important in thermodynamics?
Ans. Gibbs Free Energy is a thermodynamic potential that measures the maximum reversible work that can be performed by a system at constant temperature and pressure. It takes into account both the enthalpy and entropy of a system. It is important in thermodynamics because it determines whether a chemical reaction or a physical process is spontaneous or not. If the Gibbs Free Energy change is negative, the reaction or process is spontaneous, while a positive change indicates a non-spontaneous reaction or process.
2. How is the Gibbs-Helmholtz equation derived and what does it represent?
Ans. The Gibbs-Helmholtz equation is derived by taking the derivative of the Gibbs Free Energy equation with respect to temperature at constant pressure. It is given by the equation: ∆G = ∆H - T∆S, where ∆G is the change in Gibbs Free Energy, ∆H is the change in enthalpy, ∆S is the change in entropy, and T is the temperature. The equation represents the relationship between the change in Gibbs Free Energy and the change in enthalpy and entropy of a system as the temperature changes.
3. How can Gibbs Free Energy be used to predict the spontaneity of a reaction?
Ans. Gibbs Free Energy can be used to predict the spontaneity of a reaction through the sign of its change (∆G). If ∆G is negative, the reaction is spontaneous and will proceed in the forward direction. If ∆G is positive, the reaction is non-spontaneous and will not proceed in the forward direction. If ∆G is zero, the reaction is at equilibrium. The magnitude of ∆G also indicates the extent to which the reaction will proceed. A larger magnitude of ∆G indicates a greater extent of reaction.
4. Can the Gibbs-Helmholtz equation be applied to all chemical reactions?
Ans. The Gibbs-Helmholtz equation can be applied to all chemical reactions as long as the necessary data, such as enthalpy and entropy changes, are known. However, it is most commonly used for reactions that involve gases or aqueous solutions at constant temperature and pressure. Additionally, the equation assumes that the enthalpy and entropy changes do not vary significantly with temperature.
5. How does the Gibbs Free Energy relate to equilibrium in a system?
Ans. In a system at equilibrium, the Gibbs Free Energy is at its minimum value. At equilibrium, ∆G = 0, indicating that the forward and reverse reactions have equal rates and there is no net change in the system. If ∆G is greater than zero, the system is not at equilibrium and will tend to shift in the reverse direction to reach equilibrium. If ∆G is less than zero, the system is not at equilibrium and will tend to shift in the forward direction to reach equilibrium.
Related Searches

Gibbs Free Energy & Gibbs- Helmholtz equation | Physical Chemistry

,

MCQs

,

Sample Paper

,

Gibbs Free Energy & Gibbs- Helmholtz equation | Physical Chemistry

,

pdf

,

Previous Year Questions with Solutions

,

Objective type Questions

,

Exam

,

Viva Questions

,

Summary

,

Semester Notes

,

practice quizzes

,

ppt

,

study material

,

video lectures

,

shortcuts and tricks

,

Free

,

Gibbs Free Energy & Gibbs- Helmholtz equation | Physical Chemistry

,

Extra Questions

,

mock tests for examination

,

past year papers

,

Important questions

;