Physics Exam  >  Physics Notes  >  Kinetic Theory & Thermodynamics  >  Identical Particle: Assignment

Identical Particle: Assignment | Kinetic Theory & Thermodynamics - Physics PDF Download

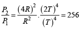
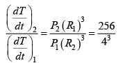
Q.1. Compare the rate of fall of temperature of two solid sphere of the same material and similar surfaces, where the radius of one surface is four times and the Kelvin temperature of the large sphere is twice that of the small one. (assume that the temperature of the sphere is so high that absorption from the surrounding may be ignored).

P = 4πR2σT4

Identical Particle: Assignment | Kinetic Theory & Thermodynamics - Physics

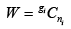
P = Identical Particle: Assignment | Kinetic Theory & Thermodynamics - Physics = Identical Particle: Assignment | Kinetic Theory & Thermodynamics - Physics where s is specific heat 

Identical Particle: Assignment | Kinetic Theory & Thermodynamics - Physics = 4


Q.2. Three identical Boson particles are to be distributed in three Quantum states. (a) Make a detailed pictorial representation showing a stage by a horizontal line and a particle by a dot for each possible way of distribution. (b) How many possible arrangements are there? (c) Use the method of permuting vertical lines and dots to find the number of possible arrangements. (d) What is the probability that all three particles occupy the same

quantum state?

(a) 

Identical Particle: Assignment | Kinetic Theory & Thermodynamics - Physics all three together 

Identical Particle: Assignment | Kinetic Theory & Thermodynamics - Physics two in one state and one in other

Identical Particle: Assignment | Kinetic Theory & Thermodynamics - Physics all in different states 

(b) 10

c) There are three vertical lines for three quantum states, and three dots for the particles. The first vertical line remains undisturbed. The rest five symbols can be permuted in 5! ways. The two vertical lines can be permuted 2! ways and the three dots can be permuted 3! ways. These permutations are not be counted separately. So the number of possible arrangements is

Identical Particle: Assignment | Kinetic Theory & Thermodynamics - Physics = 10

Look at the solution of part (a), there are 3 ways. out of a total of 10 , in which all the particles can occupy the same state. Assuming all arrangements to be equally probable, the probability of all three occupying the same state is 3 / 10 .


Q.3. Find the wavelength λm corresponding to the maximum energy density for blackbody radiation at (a) 300K (b) 2000K and (c) 5000K .

From Wien's displacements law,

Identical Particle: Assignment | Kinetic Theory & Thermodynamics - Physics

or λm = Identical Particle: Assignment | Kinetic Theory & Thermodynamics - Physics

(a) T = 300K . So, λm = Identical Particle: Assignment | Kinetic Theory & Thermodynamics - Physics = 9670nm

(b) T = 2000K . So, λm = Identical Particle: Assignment | Kinetic Theory & Thermodynamics - Physics = 1450nm

(c) T = 5000K . So, λm = Identical Particle: Assignment | Kinetic Theory & Thermodynamics - Physics = 580nm


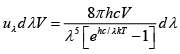
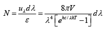
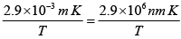
Q.4. Estimate the number photons with wavelength in the range 400 to 405nm in a cavity of volume 100cc at (a) 300K , (b) 1000K (c) 3000 K .

The energy of the radiation in the wavelength  λ to  λ +  dλ is given by

Identical Particle: Assignment | Kinetic Theory & Thermodynamics - Physics

The energy of a photon with wavelength λ is ε = hc /λ . As dλ is small, the number of photons with wavelength λ to  λ +  dλ is

Identical Particle: Assignment | Kinetic Theory & Thermodynamics - Physics

As you know, hc = 1240 eV nm and k = 8.62´10-5 eV / K

So N = Identical Particle: Assignment | Kinetic Theory & Thermodynamics - Physics = Identical Particle: Assignment | Kinetic Theory & Thermodynamics - Physics

(a) T = 300K, N = Identical Particle: Assignment | Kinetic Theory & Thermodynamics - Physics

(b) T = 1000K, N =Identical Particle: Assignment | Kinetic Theory & Thermodynamics - Physics

(c) T = 3000K, N = Identical Particle: Assignment | Kinetic Theory & Thermodynamics - Physics


Q.5. Estimate the number of photons with wavelength in the range 800and 805nm in a cavity of volume 100 cc at (a) 300K , (b) 1000K (c) 3000K

N = Identical Particle: Assignment | Kinetic Theory & Thermodynamics - Physics = Identical Particle: Assignment | Kinetic Theory & Thermodynamics - Physics

(a) T = 300K, N = Identical Particle: Assignment | Kinetic Theory & Thermodynamics - Physics

(b) T = 1000K, N = Identical Particle: Assignment | Kinetic Theory & Thermodynamics - Physics

(c) T = 3000K, N = Identical Particle: Assignment | Kinetic Theory & Thermodynamics - Physics


Q.6. Three identical Fermions particles are to be distributed in two energy levels 1 E and 2 E . Each of the two energy levels is 5 -fold degenerate. (a) What are the possible values of the total energy of three particles? (b) for each such possible total energy, find the number of ways in which the particles can be distributed. (c) what is the total number of ways in which the particles can be distributed?

(a) Since each of the energy level is 5 -fold degenerate, any number of particle, out of three given, can be put in any of the energy level. We show below the differential ways of distributing these three particles in the two energy levels and the total energy corresponding to each such distribution.

Identical Particle: Assignment | Kinetic Theory & Thermodynamics - Physics

(b) In case (i), the three particles are to be distributed in 5 quantum states. This can be done in 5C= 510 ways.

In case (ii) one particle is to be put in one of the 5 quantum states of energy E1 , and two particles are to be put in the 5 quantum states of energy of E2 . One particle can be put in 5 state in 5C1 = 5 ways and two particles in 5 state can be put in 5C2 = 10 ways. So the distribution in case (ii) cab be done in 5C1 x 5C1= 50 ways.

(c) The total number of ways in which particles can be arranged is 10 + 50 + 50 +10 = 120

You can also get it directly from the fact that we have distributed 3 Fermions in 10 quantum states and that can be done in 10C3 = 120 .


Q.7. The Fermi level for a system of identical Fermions is μ . Find the energy at which the distribution function f (E) is (a) 0.90 (b) 0.10

The distribution function is f(E) = Identical Particle: Assignment | Kinetic Theory & Thermodynamics - Physics

(a) let the energy be E1 where value of f (E ) is 0.90 . Then,

0.9 = Identical Particle: Assignment | Kinetic Theory & Thermodynamics - Physics

or,Identical Particle: Assignment | Kinetic Theory & Thermodynamics - Physics

or, Identical Particle: Assignment | Kinetic Theory & Thermodynamics - Physics

or, Identical Particle: Assignment | Kinetic Theory & Thermodynamics - Physics

Identical Particle: Assignment | Kinetic Theory & Thermodynamics - Physics

(b) Let the energy be E2 when this probability is 0.10 , then,

0.1 = Identical Particle: Assignment | Kinetic Theory & Thermodynamics - Physics 

This gives, Identical Particle: Assignment | Kinetic Theory & Thermodynamics - Physics Identical Particle: Assignment | Kinetic Theory & Thermodynamics - Physics


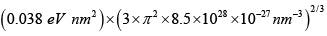
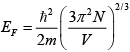
Q.8. Copper contains 8.5 x 1028 free electrons per cubic meter. Assuming free electron model, calculate the Fermi energy for these electrons.

Identical Particle: Assignment | Kinetic Theory & Thermodynamics - Physics

= Identical Particle: Assignment | Kinetic Theory & Thermodynamics - Physics

= Identical Particle: Assignment | Kinetic Theory & Thermodynamics - Physics


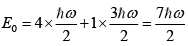
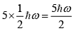
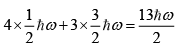
Q.9. Consider a one-dimensional harmonic oscillator of angular frequencyε . If 5 identical particles occupy the energy levels of this oscillator at zero temperature. Answer the following questions.

(a) If the particles are electrons what is ground state energy of system?

(b) If the particles are fermions of spin 3/2, what is ground state energy of system?

(c) If the particles are spin-less fermions, what is ground state energy of system?

(d) If the particles are bosons what is ground state energy of system?

(a) If particles are electrons then spin is 1/2 then ground state energy 

Identical Particle: Assignment | Kinetic Theory & Thermodynamics - Physics

(b) If particles are fermions with spin is 3/2 then ground state energy 

Identical Particle: Assignment | Kinetic Theory & Thermodynamics - Physics

(c) If the particles are spin-less fermions, then energy is 

Identical Particle: Assignment | Kinetic Theory & Thermodynamics - Physics

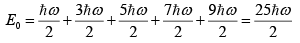
(d)  If the particles are bosons E0= Identical Particle: Assignment | Kinetic Theory & Thermodynamics - Physics


Q.10. Let A and B represent two types of non-interacting spin-1/2 particles. If 3 particles of type A and 4 particles of type B are in a simple harmonic oscillator potential characterized by ω, then what is ground state energy of the system.

Identical Particle: Assignment | Kinetic Theory & Thermodynamics - Physics

Identical Particle: Assignment | Kinetic Theory & Thermodynamics - Physics


Q.11. Consider a system of 3 particle which can occupy any of the 4 available energy states with equal probability. Then Find the entropy of the system.

(a) If particles are fermions without spin

(b) If particle are fermions with spin 1/2

(c) Particles are Bosons

(d) If particle are classical distinguishable

(a)  n= 3, gi =  4

Number of ways that 3 fermions will adjust  in 4 available energy  isIdentical Particle: Assignment | Kinetic Theory & Thermodynamics - Physics So entropy is S = Identical Particle: Assignment | Kinetic Theory & Thermodynamics - Physics

(b) In case of fermions with spin s = 1/2, ni = 3, so multiplicity is 2s +1= 2 then g= 4 x2=8

Identical Particle: Assignment | Kinetic Theory & Thermodynamics - Physics

Number of ways that 3 fermions will adjust  in 8 available energy  is Identical Particle: Assignment | Kinetic Theory & Thermodynamics - Physics = 56

so entropy is S = kBInW = kBIn56

(c) In case of boson n=3, gi =  4

W = Identical Particle: Assignment | Kinetic Theory & Thermodynamics - Physics = 20

S = kBInW = kBIn20

(d) In case of distinguishable particle 

N = 3 , n=3, gi =  4

W = Identical Particle: Assignment | Kinetic Theory & Thermodynamics - Physics ⇒ Identical Particle: Assignment | Kinetic Theory & Thermodynamics - Physics = 43 = 64

S = kBInW = kBIn64


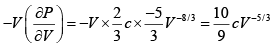
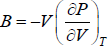
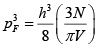
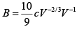
Q.12. If fermions are confine in Volume V at equilibrium temperature T = 0K .if U is internal energy of system prove that Bulk modulus Identical Particle: Assignment | Kinetic Theory & Thermodynamics - Physics is given by Identical Particle: Assignment | Kinetic Theory & Thermodynamics - Physics.

Identical Particle: Assignment | Kinetic Theory & Thermodynamics - Physics

U = Identical Particle: Assignment | Kinetic Theory & Thermodynamics - Physics = Identical Particle: Assignment | Kinetic Theory & Thermodynamics - Physics

dU = TdS- PdV ∵ Identical Particle: Assignment | Kinetic Theory & Thermodynamics - Physics

Hence Bulk modulus, B = Identical Particle: Assignment | Kinetic Theory & Thermodynamics - Physics

Identical Particle: Assignment | Kinetic Theory & Thermodynamics - Physics, Identical Particle: Assignment | Kinetic Theory & Thermodynamics - Physics


Q.13. If fermions of rest mass m are moving with relativistic speed such that pc = mc2 in volume V at equilibrium temperature T = 0K , then Find the average energy .

Fermions at temperature T = 0K Identical Particle: Assignment | Kinetic Theory & Thermodynamics - Physics

For three dimensional case g ( E ) ∝ E2 ⇒ g ( E ) = CE2 relativistic

(U) = Identical Particle: Assignment | Kinetic Theory & Thermodynamics - Physics


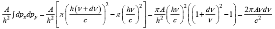
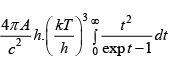
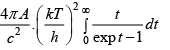
Q.14. (a) In case of photon find density of quantum state between v and dv in two

dimensional area A

(b) If number of photon is proportional to Tα then find value of α .

(c) If energy of photon is proportional to T β then find value of β

(a) Identical Particle: Assignment | Kinetic Theory & Thermodynamics - Physics

Identical Particle: Assignment | Kinetic Theory & Thermodynamics - Physics

Identical Particle: Assignment | Kinetic Theory & Thermodynamics - Physics

If  polarization is included  then g(v) dv = Identical Particle: Assignment | Kinetic Theory & Thermodynamics - Physics

(b) f(v) = Identical Particle: Assignment | Kinetic Theory & Thermodynamics - Physics

N = Identical Particle: Assignment | Kinetic Theory & Thermodynamics - Physics

= Identical Particle: Assignment | Kinetic Theory & Thermodynamics - Physics

Identical Particle: Assignment | Kinetic Theory & Thermodynamics - Physics

(c) U = Identical Particle: Assignment | Kinetic Theory & Thermodynamics - Physics

= Identical Particle: Assignment | Kinetic Theory & Thermodynamics - Physics

Identical Particle: Assignment | Kinetic Theory & Thermodynamics - Physics


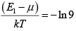
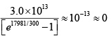
Q.15. Calculate the probability that an allowed state is occupied if it is lied above Fermi level by kT .

Identical Particle: Assignment | Kinetic Theory & Thermodynamics - Physics

It is given E - EF= kT

Identical Particle: Assignment | Kinetic Theory & Thermodynamics - Physics


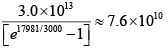
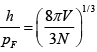
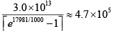
Q.16. Calculate the Fermi wavelength and Fermi energy for 4.2x1021 electrons in box of volume 1cm3 .

From Fermi Energy: 

Identical Particle: Assignment | Kinetic Theory & Thermodynamics - Physics

Identical Particle: Assignment | Kinetic Theory & Thermodynamics - Physics

On raising the power of both sides by 3 / 2 , we can write 

Identical Particle: Assignment | Kinetic Theory & Thermodynamics - Physics

Hence, Fermi wavelength λF = Identical Particle: Assignment | Kinetic Theory & Thermodynamics - Physics

On substituting the given values, we get

λF = Identical Particle: Assignment | Kinetic Theory & Thermodynamics - Physics

= 1.52 x 10-19 J

The document Identical Particle: Assignment | Kinetic Theory & Thermodynamics - Physics is a part of the Physics Course Kinetic Theory & Thermodynamics.
All you need of Physics at this link: Physics
6 videos|20 docs|32 tests

FAQs on Identical Particle: Assignment - Kinetic Theory & Thermodynamics - Physics

1. What is the concept of identical particles in physics?
Ans. Identical particles in physics refer to particles that cannot be distinguished from one another. This means that they have the same properties, such as mass, charge, and spin. Examples of identical particles include electrons, protons, and neutrons. The concept of identical particles is important in quantum mechanics, as it affects the behavior and interactions of these particles.
2. How does the concept of identical particles relate to the IIT JAM exam?
Ans. The concept of identical particles is a fundamental topic in quantum mechanics, which is a significant part of the syllabus for the IIT JAM exam. Questions related to identical particles may be asked in the exam to test the understanding of candidates in this area. It is important for candidates to have a clear understanding of the concepts and properties of identical particles to perform well in the exam.
3. What are the different types of identical particles?
Ans. There are two types of identical particles: bosons and fermions. Bosons are particles that have integer spins, such as photons and mesons. They follow Bose-Einstein statistics and can occupy the same quantum state simultaneously. Fermions, on the other hand, have half-integer spins, such as electrons and protons. They follow Fermi-Dirac statistics and cannot occupy the same quantum state simultaneously due to the Pauli exclusion principle.
4. How are identical particles different from distinguishable particles?
Ans. Identical particles cannot be distinguished from one another based on their intrinsic properties such as mass, charge, and spin. Distinguishable particles, on the other hand, have distinct properties that allow them to be differentiated. For example, two electrons are identical particles because they have the same mass, charge, and spin. In contrast, an electron and a proton are distinguishable particles because they have different properties.
5. What are some applications of identical particles in physics?
Ans. The concept of identical particles has various applications in physics. One important application is in the understanding of quantum statistics and the behavior of particles in quantum systems. Identical particles are also used in the field of condensed matter physics to study phenomena such as superconductivity and superfluidity. Additionally, identical particles play a crucial role in the description of multi-particle systems, such as atoms and molecules, allowing for the prediction and analysis of their properties and interactions.
Related Searches

Free

,

past year papers

,

study material

,

Identical Particle: Assignment | Kinetic Theory & Thermodynamics - Physics

,

Identical Particle: Assignment | Kinetic Theory & Thermodynamics - Physics

,

Extra Questions

,

Sample Paper

,

mock tests for examination

,

Semester Notes

,

Viva Questions

,

Summary

,

pdf

,

MCQs

,

shortcuts and tricks

,

Objective type Questions

,

video lectures

,

Exam

,

Previous Year Questions with Solutions

,

practice quizzes

,

Important questions

,

Identical Particle: Assignment | Kinetic Theory & Thermodynamics - Physics

,

ppt

;