Chemistry Exam  >  Chemistry Notes  >  Physical Chemistry  >  Introduction to Chemical Kinetics: Rate, Rate Law & Order

Introduction to Chemical Kinetics: Rate, Rate Law & Order | Physical Chemistry PDF Download

Chemical Kinetics

“Chemical Kinetics involves the study of the rates and mechanism of chemical reactions.” 

Rate of Reaction

The rate of reaction refers to the speed at which the products are formed from the reactants in a chemical reaction.

Introduction to Chemical Kinetics: Rate, Rate Law & Order | Physical Chemistry

Consider a reaction of the form
A + 2B  → 3C + D...........(1)
in which the molar concentration of participants are [A], [B], [C] & [D].
The rate of consumption or decomposition of one of the reactants at a given time is Introduction to Chemical Kinetics: Rate, Rate Law & Order | Physical Chemistry where R is A or B. The rate of formation of one of the products is  Introduction to Chemical Kinetics: Rate, Rate Law & Order | Physical Chemistrywhere P is C or D.
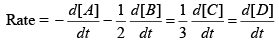
The rate of reaction can be expressed with respect to any species in equation (1).
 

Introduction to Chemical Kinetics: Rate, Rate Law & Order | Physical Chemistry

Thus, the rate of reaction can be defined with respect to both reactants and products.
For example:
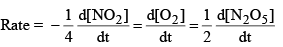
4NO2 (g) + O2 (g)  → 2N 2O2 (g)
Q.1. Find the expression for the Rate of Reaction.
4NO2 (g) + O2 (g)  → 2N 2O2 (g)

Sol:

Introduction to Chemical Kinetics: Rate, Rate Law & Order | Physical Chemistry

Rate Law and Rate Constant

The rate of a reaction will generally depend on temperature pressure and the concentration of species involving in the reaction.
The rate of reaction is proportional to the molar concentration of reacting species.
i.e. A + B + C + D + ……. → Product
then, rate of reaction = k[A][B]b [C]c [D]d ………..

where [A] is the concentration of reactant A, [B] is the concentration of reactant B and so on. The constant a is known as the reaction order with respect to species A, b the reaction order with respect to species B, and so on.
The overall reaction order is equal to the sum of the individual reaction orders (a + b + c + d + ……..). Finally, the constant k is the rate constant for the reaction.
The rate constant is not only dependent on concentration but also on temperature & pressure.

This relationship is known as a rate law. 

Order of the Reaction

A + B + C + ………  → Product
The rate law = v = k[A]a [B]b [C]c ……..
The order of reaction = a + b + c + ……
For example: if rate law = v = k[A]1/2 [B]
Then, it is half order in A, first-order in B, and three half Introduction to Chemical Kinetics: Rate, Rate Law & Order | Physical Chemistryorder overall.

Molecularity of a Reaction

The number of reacting species (atoms, ions, or molecules) taking part in an elementary reaction, must collide simultaneously, in order to bring about a chemical reaction is called the molecularity of a reaction.

Question for Introduction to Chemical Kinetics: Rate, Rate Law & Order
Try yourself:
What is the rate law for a reaction involving species A, B, and C?
View Solution

Relationship between Rate law, Order, and the Rate Constant:

Introduction to Chemical Kinetics: Rate, Rate Law & Order | Physical Chemistry

Then, rate of reaction =  Introduction to Chemical Kinetics: Rate, Rate Law & Order | Physical Chemistry

The unit of rate of reaction is mol liter–1 sec–1 i.e. mol L–1 s–1.
where M represents mol L–1 or moles per liter & n is the order of reaction.
The unit of rate constant (k)
Rate of reaction = k[A]n
unit of rate of reaction = unit of k × [unit of concentration]
MS–1 = unit of k × [M]n

 ⇒  unit of k = Introduction to Chemical Kinetics: Rate, Rate Law & Order | Physical Chemistry

i.e., unit of k     = M1 - n S-1 = mol1 - n Ln - 1 S-1

 Introduction to Chemical Kinetics: Rate, Rate Law & Order | Physical Chemistry

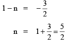
Q.2. Find the order of the reaction if unit of rate constant or the reaction is (dm3)3/2 mol–3/2 s–1.
 Sol. 
Unit of rate constant = (dm3)3/2 mol–3/2 s–1 (given)
We know that,
Unit of rate constant = M1 – n s–1
For nth order
i.e. M1 - n s -1 = (dm3 )3 / 2 (mol)-3 / 2 s -1

 Introduction to Chemical Kinetics: Rate, Rate Law & Order | Physical Chemistry

∵      1 L = 1 dm3
& Introduction to Chemical Kinetics: Rate, Rate Law & Order | Physical Chemistry

 Introduction to Chemical Kinetics: Rate, Rate Law & Order | Physical Chemistry
Introduction to Chemical Kinetics: Rate, Rate Law & Order | Physical Chemistry

i.e. it is 5/2 order reaction.

Determination of Order of Reaction 

Using the following data for the reaction, we determine the order of the reaction with respect to A and B, over all order and rate constant for the reaction

 Introduction to Chemical Kinetics: Rate, Rate Law & Order | Physical Chemistry

Sol. A + B  → Product
rate of react ion = k[A]a [B]b
5.25 × 10–4 = k[2.30 × 10–4]a [3.10 × 10–5]b ...(1)
4.20 × 10–3 = k[4.60 × 10–4]a [6.20 × 10–5]...(2)
1.70 × 10–2 = k[9.20 × 10–4]a [6.20 × 10–5]b ...(3)

Divide equation (2) by equation (3), we get

 Introduction to Chemical Kinetics: Rate, Rate Law & Order | Physical Chemistry

2.47 × 10–1 = (0.5)a
(0.247) = (0.5)a
(0.5 × 0.5) ≈ (0.5)a
(0.5)a ≈ (0.5)a
or taking log we can find the value of a.
a = 2
Divide equation (1) by equation (2) we get

 Introduction to Chemical Kinetics: Rate, Rate Law & Order | Physical Chemistry
1.25 × 10–1 = [0.5]a [0.5]b = [0.5]2 [0.5]b
= 0.25 [0.5]b
5 × 10–1 = [0.5]b
⇒ 0.5 = [0.5]b
⇒ b = 1 

Therefore, the reaction is second order in A and first order in B, and third-order overall.

rate = k[A]2 [B]
5.2 × 10–4 Ms–1 = k(2.3 × 10–4 M)2 (3.1 × 10–5]M
⇒ k = 3.17 × 108 M–2 s–1
i.e. the over all rate law is
rate = (3.17 × 108 M–2 s–1) [A][B]

Question for Introduction to Chemical Kinetics: Rate, Rate Law & Order
Try yourself:Which of the following represents the unit of the rate constant (k) in a reaction?
View Solution

The document Introduction to Chemical Kinetics: Rate, Rate Law & Order | Physical Chemistry is a part of the Chemistry Course Physical Chemistry.
All you need of Chemistry at this link: Chemistry
90 videos|144 docs|67 tests

FAQs on Introduction to Chemical Kinetics: Rate, Rate Law & Order - Physical Chemistry

1. What is the definition of chemical kinetics?
Ans.Chemical kinetics is the branch of chemistry that studies the rates of chemical reactions, the factors affecting these rates, and the mechanisms through which reactions occur. It helps in understanding how different conditions can influence the speed at which reactants are converted into products.
2. What is a rate law in chemical kinetics?
Ans.A rate law is an equation that relates the rate of a chemical reaction to the concentration of the reactants. It is typically expressed in the form: Rate = k [A]^m [B]^n, where k is the rate constant, [A] and [B] are the concentrations of reactants, and m and n are the orders of the reaction with respect to each reactant.
3. How do you determine the order of a reaction?
Ans.The order of a reaction can be determined experimentally by observing how the rate of reaction changes with varying concentrations of the reactants. This is done by plotting concentration versus time or using methods such as the method of initial rates, integrated rate laws, or half-life measurements.
4. What factors affect the rate of a chemical reaction?
Ans.The rate of a chemical reaction can be affected by several factors, including the concentration of reactants, temperature, the presence of a catalyst, surface area of solid reactants, and the nature of the reactants themselves. Higher concentrations and temperatures generally increase reaction rates.
5. What is the significance of the rate constant (k) in chemical kinetics?
Ans.The rate constant (k) is a proportionality factor in the rate law that is specific to a particular reaction at a given temperature. It provides insight into the speed of the reaction; a larger k value indicates a faster reaction, while a smaller k value suggests a slower reaction. The value of k is also influenced by temperature and the presence of catalysts.
Related Searches

Previous Year Questions with Solutions

,

shortcuts and tricks

,

MCQs

,

Semester Notes

,

Exam

,

Summary

,

Introduction to Chemical Kinetics: Rate

,

ppt

,

Free

,

Objective type Questions

,

pdf

,

mock tests for examination

,

study material

,

Rate Law & Order | Physical Chemistry

,

Rate Law & Order | Physical Chemistry

,

Introduction to Chemical Kinetics: Rate

,

video lectures

,

Introduction to Chemical Kinetics: Rate

,

Extra Questions

,

Rate Law & Order | Physical Chemistry

,

Sample Paper

,

Important questions

,

practice quizzes

,

past year papers

,

Viva Questions

;