Mechanical Engineering Exam  >  Mechanical Engineering Notes  >  Design of Machine Elements  >  Introduction to Design of Helical Springs

Introduction to Design of Helical Springs | Design of Machine Elements - Mechanical Engineering PDF Download

Definition of spring: 

Spring act as a flexible joint in between two parts or bodies

Objectives of Spring Following are the objectives of a spring when used as a machine member:

1. Cushioning , absorbing , or controlling of energy due to shock and vibration. Car springs or railway buffers To control energy, springs-supports and vibration dampers.

2. Control of motion Maintaining contact between two elements (cam and its follower) In a cam and a follower arrangement, widely used in numerous applications, a spring maintains contact between the two elements. It primarily controls the motion.

Creation of the necessary pressure in a friction device (a brake or a clutch) A person driving a car uses a brake or a clutch for controlling the car motion. A spring system keep the brake in disengaged position until applied to stop the car. The clutch has also got a spring system (single springs or multiple springs) which engages and disengages the engine with the transmission system.

Restoration of a machine part to its normal position when the applied force is withdrawn (a governor or valve) A typical example is a governor for turbine speed control. A governor system uses a spring controlled valve to regulate flow of fluid through the turbine, thereby controlling the turbine speed.

3. Measuring forces Spring balances, gages

4. Storing of energy In clocks or starters The clock has spiral type of spring which is wound to coil and then the stored energy helps gradual recoil of the spring when in operation. Nowadays we do not find much use of the winding clocks. Before considering the design aspects of springs we will have a quick look at the spring materials and manufacturing methods.

 

Commonly used spring materials 

One of the important considerations in spring design is the choice of the spring material. Some of the common spring materials are given below.

Hard-drawn wire: This is cold drawn, cheapest spring steel. Normally used for low stress and static load. The material is not suitable at subzero temperatures or at temperatures above 1200C.

Oil-tempered wire: It is a cold drawn, quenched, tempered, and general purpose spring steel. However, it is not suitable for fatigue or sudden loads, at subzero temperatures and at temperatures above 1800C. When we go for highly stressed conditions then alloy steels are useful.

Chrome Vanadium: This alloy spring steel is used for high stress conditions and at high temperature up to 2200C. It is good for fatigue resistance and long endurance for shock and impact loads.

Chrome Silicon: This material can be used for highly stressed springs. It offers excellent service for long life, shock loading and for temperature up to 2500C.

Music wire: This spring material is most widely used for small springs. It is the toughest and has highest tensile strength and can withstand repeated loading at high stresses. However, it can not be used at subzero temperatures or at temperatures above 1200C. Normally when we talk about springs we will find that the music wire is a common choice for springs.

Stainless steel: Widely used alloy spring materials.

Phosphor Bronze / Spring Brass: It has good corrosion resistance and electrical conductivity. That’s the reason it is commonly used for contacts in electrical switches. Spring brass can be used at subzero temperatures.

 

Spring manufacturing processes

If springs are of very small diameter and the wire diameter is also small then the springs are normally manufactured by a cold drawn process through a mangle. However, for very large springs having also large coil diameter and wire diameter one has to go for manufacture by hot processes. First one has to heat the wire and then use a proper mangle to wind the coils.

Two types of springs which are mainly used are, helical springs and leaf springs. We shall consider in this course the design aspects of two types of springs.

 

 Helical spring 

The figures below show the schematic representation of a helical spring acted upon by a tensile load F (Fig.7.1.1) and compressive load F (Fig.7.1.2). The circles denote the cross section of the spring wire. The cut section, i.e. from the entire coil somewhere we make a cut, is indicated as a circle with shade.

Introduction to Design of Helical Springs | Design of Machine Elements - Mechanical Engineering
Fig 7.1.1
Introduction to Design of Helical Springs | Design of Machine Elements - Mechanical Engineering
Fig 7.1.2

 

If we look at the free body diagram of the shaded region only (the cut section) then we shall see that at the cut section, vertical equilibrium of forces will give us force, F as indicated in the figure. This F is the shear force. The torque T, at the cut section and it’s direction is also marked in the figure. There is no horizontal force coming into the picture because externally there is no horizontal force present. So from the fundamental understanding of the free body diagram one can see that any section of the spring is experiencing a torque and a force. Shear force will always be associated with a bending moment. However, in an ideal situation, when force is acting at the centre of the circular spring and the coils of spring are almost parallel to each other, no bending moment would result at any

Introduction to Design of Helical Springs | Design of Machine Elements - Mechanical Engineering
section of the spring ( no moment arm), except torsion and shear force. The Fig.7.1.3 will explain the fact stated above.

 

Stresses in the helical spring wire:

From the free body diagram, we have found out the direction of the internal torsion T and internal shear force F at the section due to the external load F acting at the centre of the coil.

The cut sections of the spring, subjected to tensile and compressive loads respectively, are shown separately in the Fig.7.1.4 and 7.1.5. The broken arrows show the shear stresses ( τ) arising due to the torsion T and solid arrows show the shear stresses ( τF )due to the force F. It is observed that for both tensile load as well as compressive load on the spring, maximum shear stress (τT + τF) always occurs at the inner side of the spring. Hence, failure of the spring, in the form of crake, is always initiated from the inner radius of the spring.

Introduction to Design of Helical Springs | Design of Machine Elements - Mechanical EngineeringIntroduction to Design of Helical Springs | Design of Machine Elements - Mechanical Engineering
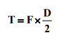
The radius of the spring is given by D/2. Note that D is the mean diameter of the spring. The torque T acting on the spring is

Introduction to Design of Helical Springs | Design of Machine Elements - Mechanical Engineering

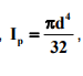
If d is the diameter of the coil wire and polar moment of inertia, Introduction to Design of Helical Springs | Design of Machine Elements - Mechanical Engineering   the shear    stress in the spring wire due to torsion is

Introduction to Design of Helical Springs | Design of Machine Elements - Mechanical Engineering
Average shear stress in the spring wire due to force F is

Introduction to Design of Helical Springs | Design of Machine Elements - Mechanical Engineering                                                                             (7.1.3)

Therefore, maximum shear stress the spring wire is

 

Introduction to Design of Helical Springs | Design of Machine Elements - Mechanical Engineering

Introduction to Design of Helical Springs | Design of Machine Elements - Mechanical Engineering

 

finally,       Introduction to Design of Helical Springs | Design of Machine Elements - Mechanical Engineering (7.1.4)

The above equation gives maximum shear stress occurring in a spring. Ks is the shear stress correction factor.

 

Stresses in helical spring with curvature effect

What is curvature effect? Let us look at a small section of a circular spring, as shown in the Fig.7.1.6. Suppose we hold the section b-c fixed and give a rotation to the section a-d in the anti clockwise direction as indicated in the figure, then it is observed that line a-d rotates and it takes up another position, say a'-d'. The inner length a-b being smaller compared to the outer length c-d, the shear strain γi at the inside of the spring will be more than the shear strain γo at the outside of the spring. Hence, for a given wire diameter, a spring with smaller diameter will experience more difference of shear strain between outside surface and inside surface compared to its larger counter part. The above phenomenon is termed as curvature effect. So more is the spring index Introduction to Design of Helical Springs | Design of Machine Elements - Mechanical Engineering the lesser will be the curvature effect. For example, the suspensions in the railway carriages use helical springs. These springs have large wire diameter compared to the diameter of the spring itself. In this case curvature effect will be predominantly high.

To take care of the curvature effect, the earlier equation for maximum shear stress in the spring wire is modified as,

Introduction to Design of Helical Springs | Design of Machine Elements - Mechanical Engineering            (7.1.5)

 

Introduction to Design of Helical Springs | Design of Machine Elements - Mechanical Engineering         (7.1.6)

 

Deflection of helical spring

 

Introduction to Design of Helical Springs | Design of Machine Elements - Mechanical Engineering
The Fig.7.1.7(a) and Fig.7.1.7 (b) shows a schematic view of a spring, a cross section of the spring wire and a small spring segment of length dl. It is acted upon by a force F. From simple geometry we will see that the deflection, δ, in a helical spring is given by the formula,

Introduction to Design of Helical Springs | Design of Machine Elements - Mechanical Engineering                (7.1.7)

Where, N is the number of active turns and G is the shear modulus of elasticity. Now what is an active coil? The force F cannot just hang in space, it has to have some material contact with the spring. Normally the same spring wire e will be given a shape of a hook to support the force F. The hook etc., although is a part of the spring, they do not contribute to the deflection of the spring. Apart from these coils, other coils which take part in imparting deflection to the spring are known as active coils.

 

How to compute the deflection of a helical spring ? 

Consider a small segment of spring of length ds, subtending an angle of dβ at the center of the spring coil as shown in Fig.7.1.7(b). Let this small spring segment be considered to be an active portion and remaining portion is rigid. Hence, we consider only the deflection of spring arising due to application of force F. The rotation, dφ, of the section a-d with respect to b-c is given as,

Introduction to Design of Helical Springs | Design of Machine Elements - Mechanical Engineering        (7.18)

The rotation, dφ will cause the end of the spring O to rotate to O', shown in Fig.7.1.7(a). From geometry, O-O' is given as,

Introduction to Design of Helical Springs | Design of Machine Elements - Mechanical Engineering

However, the vertical component of O-O' only will contributes towards spring deflection. Due to symmetric condition, there is no lateral deflection of spring, ie, the horizontal component of O-O' gets cancelled. The vertical component of O-O', dδ, is given as,

Introduction to Design of Helical Springs | Design of Machine Elements - Mechanical Engineering

Total deflection of spring, δ, can be obtained by integrating the above expression for entire length of the spring wire.

Introduction to Design of Helical Springs | Design of Machine Elements - Mechanical Engineering

Simplifying the above expression we get,

Introduction to Design of Helical Springs | Design of Machine Elements - Mechanical Engineering (7.19)

The above equation is used to compute the deflection of a helical spring. Another important design parameter often used is the spring rate. It is defined as,

Introduction to Design of Helical Springs | Design of Machine Elements - Mechanical Engineering  (7.1.10)

Here we conclude on the discussion for important design features, namely, stress, deflection and spring rate of a helical spring.

 

The document Introduction to Design of Helical Springs | Design of Machine Elements - Mechanical Engineering is a part of the Mechanical Engineering Course Design of Machine Elements.
All you need of Mechanical Engineering at this link: Mechanical Engineering
49 videos|107 docs|77 tests

FAQs on Introduction to Design of Helical Springs - Design of Machine Elements - Mechanical Engineering

1. What is the purpose of helical springs in mechanical engineering?
Ans. Helical springs are commonly used in mechanical engineering to store and release mechanical energy. They provide resistance and support in various applications such as shock absorption, vibration isolation, and force generation.
2. How are helical springs designed in mechanical engineering?
Ans. The design of helical springs in mechanical engineering involves determining the wire diameter, coil pitch, number of coils, and material selection. The design process also considers factors such as load requirements, deflection limits, and spring rate to ensure optimal performance.
3. What are the different types of helical springs used in mechanical engineering?
Ans. There are several types of helical springs used in mechanical engineering, including compression springs, extension springs, torsion springs, and constant force springs. Each type of spring is designed to provide a specific type of resistance or support, depending on the application requirements.
4. How do you calculate the spring rate of a helical spring in mechanical engineering?
Ans. The spring rate of a helical spring in mechanical engineering is calculated by dividing the change in load by the change in deflection. It represents the amount of force required to compress or extend the spring by a certain distance and is typically measured in pounds per inch (lbs/in) or Newtons per millimeter (N/mm).
5. What factors should be considered when selecting a material for helical springs in mechanical engineering?
Ans. When selecting a material for helical springs in mechanical engineering, factors such as strength, fatigue resistance, corrosion resistance, temperature resistance, and cost should be considered. Common materials used for helical springs include steel alloys, stainless steel, and non-ferrous alloys like bronze and titanium.
Related Searches

Introduction to Design of Helical Springs | Design of Machine Elements - Mechanical Engineering

,

MCQs

,

shortcuts and tricks

,

study material

,

Objective type Questions

,

Summary

,

video lectures

,

Introduction to Design of Helical Springs | Design of Machine Elements - Mechanical Engineering

,

Extra Questions

,

pdf

,

Semester Notes

,

mock tests for examination

,

practice quizzes

,

Sample Paper

,

Exam

,

ppt

,

Previous Year Questions with Solutions

,

past year papers

,

Viva Questions

,

Important questions

,

Introduction to Design of Helical Springs | Design of Machine Elements - Mechanical Engineering

,

Free

;