Chemistry Exam  >  Chemistry Notes  >  Physical Chemistry  >  Introduction to Thermochemistry & Second Law of Thermodynamics

Introduction to Thermochemistry & Second Law of Thermodynamics | Physical Chemistry PDF Download

THERMOCHEMISTRY

Change in Internal energy in a chemical reaction:

From first law dq = dU – w

If a chemical reaction takes place at constant temperature and constant volume. Then W = 0

Hence ΔU = qv = heat exchange at constant volume

Suppose V& UP be the internal energy of reactant and products.
then, ΔU = UP - UR
= qv = Heat or enthalpy of reaction at constant volume

Change in Enthalpy a chemical reaction: Let qp be the heat exchange in the reaction at constant pressure. Then
ΔH = qP
If H& HP be the enthalpy of reactant and product then

ΔH = HP - HR
= qp = heat or enthalpy o f reaction at constant pressure

Relation between Enthalpy of reaction at constant volume and a constant pressure: 

We know that
ΔH = qP & ΔU = qV
then qP = qV + PΔV
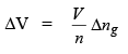
Forn moles of an ideal gas
PV = nRT

Let n1 & n2 be the number of moles of gaseous reactants & products.
then                  Δn = n2 - n1 = increase in the number of gaseous moles
Then corresponding increase in volume ΔV is given by

 Introduction to Thermochemistry & Second Law of Thermodynamics | Physical Chemistry
Hence,Introduction to Thermochemistry & Second Law of Thermodynamics | Physical Chemistry         Introduction to Thermochemistry & Second Law of Thermodynamics | Physical Chemistry

 Introduction to Thermochemistry & Second Law of Thermodynamics | Physical Chemistry
Then           qP = qV + Δng RT

Variation of enthalpy of reaction with temperature i.e., Kirchhoff equation.
The enthalpy change for the reaction
aA + bB → cC + dD

 is given by  Introduction to Thermochemistry & Second Law of Thermodynamics | Physical Chemistry

The temperature dependence of enthalpy at constant pressure is:
then 

 Introduction to Thermochemistry & Second Law of Thermodynamics | Physical Chemistry

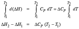
or d(DH) = DCPdT ...(1) The temperature dependence of enthalpy of constant volume is:

 Introduction to Thermochemistry & Second Law of Thermodynamics | Physical Chemistry

or d(ΔU) = ΔCVdT ...(2)
Integrating equation (1) & (2) we get

or Introduction to Thermochemistry & Second Law of Thermodynamics | Physical Chemistry

Similarly  Introduction to Thermochemistry & Second Law of Thermodynamics | Physical Chemistry

 or ΔU2 - ΔU1 = ΔCV (T2 - T1 )
Above equations are known as Kirchhoff equations.
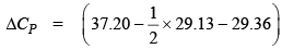
Problem.  Calculate ΔHo373 for the reaction

 

Introduction to Thermochemistry & Second Law of Thermodynamics | Physical Chemistry
             ΔH298 K = -33.18 KJ mol-1
 Given, CP (NO2, g) = 37.20 J K-1 mol-1
             CP (N2, g) = 29.13 JK-1 mol-1
             CP (O2, g) = 29.36 JK-1 mol-1s
 Sol. 

Introduction to Thermochemistry & Second Law of Thermodynamics | Physical Chemistry

 Introduction to Thermochemistry & Second Law of Thermodynamics | Physical Chemistry
Introduction to Thermochemistry & Second Law of Thermodynamics | Physical Chemistry = - 6.73 x 10-3JK mol-1 
Now,  Introduction to Thermochemistry & Second Law of Thermodynamics | Physical Chemistry

ΔH0373 K - ΔH0 298 K = ΔCP (373 - 298)

  •  ΔH0 373 K = [-33.18 + (-6.73 × 10-3) (373 - 298)] KJ mol-1
  • ΔH0 373 K = -33.68 KJ mol-1

The second law of Thermodynamics: The second law of thermodynamics identifies a new state function called the entropy which provides a criterion for identifying the equilibrium state of a system.
Entropy of the universe (system + surrounding) increases for irreversible process whereas it remains constant for reversible process.

Carnot cycle: Consider the system is contained in a frictionless piston and cylinder arrangement. We also use two thermal reservoirs one at higher temperature T2 and other one at a lower temperature T1

 Introduction to Thermochemistry & Second Law of Thermodynamics | Physical Chemistry

Four successive operations as given below:
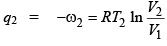
(1)  The isothermal reversible expansion from volume V1 to volume L at the higher temperature T2 .
Since dT = 0, therefore, ΔU1 = 0 According to first law of thermodynamics, we have q2 = 2 

 Introduction to Thermochemistry & Second Law of Thermodynamics | Physical Chemistry

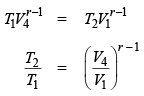
(2)  The adiabatic reversible expansion from volume V2 to volume V3.
Temperature of the system after expansion is T1. Since for adiabatic process q = 0, therefore, it follows that  Introduction to Thermochemistry & Second Law of Thermodynamics | Physical Chemistry 

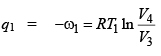
(3)  The isothermal reversible compression from V3 to V4 at temperature T1.
Here             ΔU3 = 0
and Introduction to Thermochemistry & Second Law of Thermodynamics | Physical Chemistry

 

(4)  Adiabatic reversible compression from volume V4 to V1.
Temperature of the system returns T2. Therefore,

Introduction to Thermochemistry & Second Law of Thermodynamics | Physical Chemistry

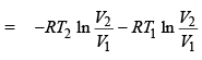
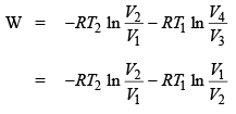
Newt work involved in the cyclic process is: 

Wtotal = W2 + W + W1 + W’

Introduction to Thermochemistry & Second Law of Thermodynamics | Physical Chemistry

Introduction to Thermochemistry & Second Law of Thermodynamics | Physical Chemistry

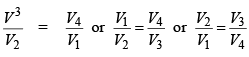
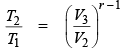
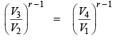
Relationship between V1, V2, V3 & V4: Second and fourth process are adiabatic expansion and compression process then from poisson equation we get

Introduction to Thermochemistry & Second Law of Thermodynamics | Physical Chemistry                                 (for second process)

  Introduction to Thermochemistry & Second Law of Thermodynamics | Physical Chemistry
Introduction to Thermochemistry & Second Law of Thermodynamics | Physical Chemistry

From equation (A) & (B) we get

Introduction to Thermochemistry & Second Law of Thermodynamics | Physical Chemistry

Introduction to Thermochemistry & Second Law of Thermodynamics | Physical Chemistry
then
Introduction to Thermochemistry & Second Law of Thermodynamics | Physical Chemistry
Introduction to Thermochemistry & Second Law of Thermodynamics | Physical Chemistry
Wtotal =Introduction to Thermochemistry & Second Law of Thermodynamics | Physical Chemistry

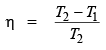
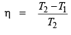
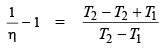
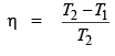
Efficiency of Carnot cycle: It is denoted by η.

 Introduction to Thermochemistry & Second Law of Thermodynamics | Physical Chemistry
Introduction to Thermochemistry & Second Law of Thermodynamics | Physical Chemistry

Thus, the efficiency of a heat engine operating in a Carnot cycle depends only on the two temperatures and primarily, on the difference of the two temperatures between which the engine operators.
The difference is greater, the greater the efficiency.
 

Problem. An engine operator in a Carnot cycle absorb 3.347 kJ at 400°C, how much work is done on the engine per cycle and how much heat is involved at 100°C in each cycle?
 Sol.
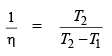
The efficiency of Carnot cycle is 

 Introduction to Thermochemistry & Second Law of Thermodynamics | Physical Chemistry
Thus, Introduction to Thermochemistry & Second Law of Thermodynamics | Physical Chemistry

the heat involved is:
q1 = 1.855 kJ                                             (heat is negative sign)
q1 = –1.855 kJ
and work done is :
                                                       W = q– q1 = –3.347 + 1.855 = –1.492 kJ

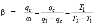
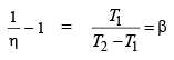
Coefficient of performance: The coefficient of performance of a refrigerator is defined as the ratio of heat transferred from a lower temperature to a higher temperature to the work done on the machine to cause this removal i.e.

 Introduction to Thermochemistry & Second Law of Thermodynamics | Physical Chemistry

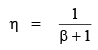
Relation between η & β :

Introduction to Thermochemistry & Second Law of Thermodynamics | Physical Chemistry
Introduction to Thermochemistry & Second Law of Thermodynamics | Physical Chemistry
Introduction to Thermochemistry & Second Law of Thermodynamics | Physical Chemistry
Introduction to Thermochemistry & Second Law of Thermodynamics | Physical Chemistry
Introduction to Thermochemistry & Second Law of Thermodynamics | Physical Chemistry
Introduction to Thermochemistry & Second Law of Thermodynamics | Physical Chemistry
i.e. Introduction to Thermochemistry & Second Law of Thermodynamics | Physical Chemistry

The document Introduction to Thermochemistry & Second Law of Thermodynamics | Physical Chemistry is a part of the Chemistry Course Physical Chemistry.
All you need of Chemistry at this link: Chemistry
84 videos|142 docs|67 tests

FAQs on Introduction to Thermochemistry & Second Law of Thermodynamics - Physical Chemistry

1. What is thermochemistry?
Ans. Thermochemistry is a branch of chemistry that studies the energy changes that occur during chemical reactions and processes. It focuses on the relationship between heat and chemical reactions, including the measurement and calculation of heat transfer and the determination of thermochemical properties.
2. What is the second law of thermodynamics?
Ans. The second law of thermodynamics states that in any spontaneous process, the total entropy of a system and its surroundings always increases. It implies that energy tends to disperse or spread out, and that natural processes are irreversible.
3. How is thermochemistry related to the second law of thermodynamics?
Ans. Thermochemistry is related to the second law of thermodynamics as it involves the study of energy changes in chemical reactions. The second law of thermodynamics explains the direction of energy transfer in these reactions, while thermochemistry provides the quantitative measurement and calculation of these energy changes.
4. How are energy changes in chemical reactions measured in thermochemistry?
Ans. Energy changes in chemical reactions are measured in thermochemistry using calorimetry. Calorimetry involves the use of a calorimeter, which is a device that measures heat transfer. By measuring the temperature change of the surroundings or the reactants, the heat released or absorbed during a reaction can be determined.
5. Can the second law of thermodynamics be violated?
Ans. The second law of thermodynamics is a fundamental principle that has been observed to hold true in all natural processes. While it is theoretically possible to violate the second law on a microscopic scale, it has never been observed to occur on a macroscopic scale. The law remains a foundational principle in understanding the behavior of energy in chemical reactions and processes.
Related Searches

ppt

,

video lectures

,

Introduction to Thermochemistry & Second Law of Thermodynamics | Physical Chemistry

,

mock tests for examination

,

MCQs

,

Summary

,

shortcuts and tricks

,

pdf

,

study material

,

Exam

,

Objective type Questions

,

past year papers

,

Introduction to Thermochemistry & Second Law of Thermodynamics | Physical Chemistry

,

Free

,

Previous Year Questions with Solutions

,

Introduction to Thermochemistry & Second Law of Thermodynamics | Physical Chemistry

,

Extra Questions

,

Sample Paper

,

Viva Questions

,

practice quizzes

,

Semester Notes

,

Important questions

;