Laplace transforms | Engineering Mathematics for Electrical Engineering - Electrical Engineering (EE) PDF Download

What is the Laplace Transform?

The Laplace Transform is a mathematical technique used to transform a function of a real variable t (often time) into a function of a complex variable 𝑠s. This transformation simplifies the process of solving differential equations by converting them into algebraic equations.

Piecewise Continuous Functions
A function f(t) is said to be piecewise continuous if it has a finite number of discontinuities and does not become infinite at any point. If f(t) is a piecewise continuous function, then its Laplace transform can be defined.

Definition of Laplace Transform

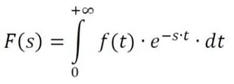
The Laplace transform of a function f(t) is represented as L{f(t)} or F(s). The transform is given by the integral formula:

Laplace transforms | Engineering Mathematics for Electrical Engineering - Electrical Engineering (EE)whenever the improper integral converges.
Standard notation: Where the notation is clear, we will use an uppercase letter to indicate the Laplace transform, e.g, L(f; s) = F(s).
The Laplace transform we defined is sometimes called the one-sided Laplace transform. There is a two-sided version where the integral goes from βˆ’βˆž to ∞.

Properties of Laplace Transform

Some of the Laplace transformation properties are:

If f1 (t) ⟷ F1 (s) and [note: ⟷ implies Laplace Transform]

f2 (t) ⟷ F2 (s), thenLaplace transforms | Engineering Mathematics for Electrical Engineering - Electrical Engineering (EE)

Laplace Transform Table

The following Laplace transform table helps to solve the differential equations for different functions:
Laplace transforms | Engineering Mathematics for Electrical Engineering - Electrical Engineering (EE)

Laplace Transform of Differential Equation

The Laplace transform is a well established mathematical technique for solving a differential equation. Many mathematical problems are solved using transformations. The idea is to transform the problem into another problem that is easier to solve. On the other side, the inverse transform is helpful to calculate the solution to the given problem.
For better understanding, let us solve a first-order differential equation with the help of Laplace transformation,
Consider y’- 2y = e3x and y(0) = -5. Find the value of L(y).
First step of the equation can be solved with the help of the linearity equation:
L(y’ – 2y] = L(e3x)
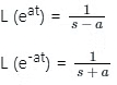
L(y’) – L(2y) = 1/(s-3)
(because L(eax) = 1/(s-a))
L(y’) – 2s(y) = 1/(s-3)
sL(y) – y(0) – 2L(y) = 1/(s-3)
(Using Linearity property of the Laplace transform)
L(y)(s-2) + 5 = 1/(s-3) (Use value of y(0) ie -5 (given))
L(y)(s-2) = 1/(s-3) – 5
L(y) = (-5s+16)/(s-2)(s-3) …..(1)
here (-5s+16)/(s-2)(s-3) can be written as -6/s-2 + 1/(s-3) using partial fraction method
(1) implies L(y) = -6/(s-2) + 1/(s-3)
L(y) = -6e2x + e3x

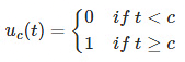
Step Functions

The step function is often called the Heaviside function, and it is defined as follows:

Laplace transforms | Engineering Mathematics for Electrical Engineering - Electrical Engineering (EE)The step function can take the values of 0 or 1. It is like an on and off switch. The notations that represent the Heaviside functions are uc(t) or u(t-c) or H(t-c)

Bilateral Laplace Transform

The Laplace transform can also be defined as bilateral Laplace transform. This is also known as two-sided Laplace transform, which can be performed by extending the limits of integration to be the entire real axis. Hence, the common unilateral Laplace transform becomes a special case of Bilateral Laplace transform, where the function definition is transformed is multiplied by the Heaviside step function. 

The bilateral Laplace transform is defined as:Laplace transforms | Engineering Mathematics for Electrical Engineering - Electrical Engineering (EE)

The other way to represent the bilateral Laplace transform is B{F}, instead of F.

Inverse Laplace Transform

In the inverse Laplace transform, we are provided with the transform F(s) and asked to find what function we have initially. The inverse transform of the function F(s) is given by:
f(t) = L-1{F(s)}
For example, for the two Laplace transform, say F(s) and G(s), the inverse Laplace transform is defined by:
L-1{aF(s)+bG(s)}= a L-1{F(s)}+bL-1 {G(s)}
Where a and b are constants.
In this case, we can take the inverse transform for the individual transforms, and add their constant values in their respective places, and perform the operation to get the result.

Laplace Transform in Probability Theory

In pure and applied probability theory, the Laplace transform is defined as the expected value. If X is the random variable with probability density function, say f, then the Laplace transform of f is given as the expectation of:
L{f}(S) = E[e-sX], which is referred to as the Laplace transform of random variable X itself.

Applications of Laplace Transform

  • It is used to convert complex differential equations to a simpler form having polynomials.
  • It is used to convert derivatives into multiple domain variables and then convert the polynomials back to the differential equation using Inverse Laplace transform.
  • It is used in the telecommunication field to send signals to both the sides of the medium. For example, when the signals are sent through the phone then they are first converted into a time-varying wave and then superimposed on the medium.
  • It is also used for many engineering tasks such as Electrical Circuit Analysis, Digital Signal Processing, System Modelling, etc.

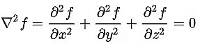
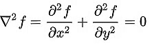
Laplace Equation

Laplace’s equation, a second-order partial differential equation, is widely helpful in physics and maths. The Laplace equation states that the sum of the second-order partial derivatives of f, the unknown function, equals zero for the Cartesian coordinates. The two-dimensional Laplace equation for the function f can be written as:

Laplace transforms | Engineering Mathematics for Electrical Engineering - Electrical Engineering (EE)

The Laplace equation for three-dimensional coordinates can be represented as:

Laplace transforms | Engineering Mathematics for Electrical Engineering - Electrical Engineering (EE)

Solved Numericals

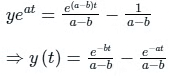
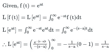
Q1. If f(t) = eat, its Laplace Transform (for s > a) is given by
Solution:
Laplace transforms | Engineering Mathematics for Electrical Engineering - Electrical Engineering (EE)

∴ Laplace transform is Laplace transforms | Engineering Mathematics for Electrical Engineering - Electrical Engineering (EE)


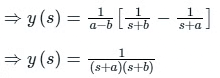
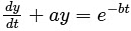
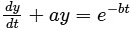
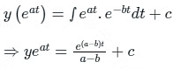
Q2. Consider the differential equation π‘‘𝑦𝑑𝑑+π‘Žπ‘¦=π‘’βˆ’π‘π‘‘Laplace transforms | Engineering Mathematics for Electrical Engineering - Electrical Engineering (EE) with the initial condition y(0) = 0. Then the Laplace transform Y(s) of the solution y(t) is 
Solution:
 Laplace transforms | Engineering Mathematics for Electrical Engineering - Electrical Engineering (EE)
Integrating factor = Laplace transforms | Engineering Mathematics for Electrical Engineering - Electrical Engineering (EE)
Solution of y is,
Laplace transforms | Engineering Mathematics for Electrical Engineering - Electrical Engineering (EE)

Given that, y(0) = 0
Laplace transforms | Engineering Mathematics for Electrical Engineering - Electrical Engineering (EE)
Now, the solution becomes,
Laplace transforms | Engineering Mathematics for Electrical Engineering - Electrical Engineering (EE)

Apply Laplace transform
Laplace transforms | Engineering Mathematics for Electrical Engineering - Electrical Engineering (EE)


Q3. The Laplace transform of the differential equation y" + ay' + by = f(t). Assume that y(0) = 5, y'(0) = 10, Y(s) and F(s) are the Laplace transforms of y(t) and f(t) respectively 
Solution: 
A second-order differential equation is represented as:
y" + ay' + by = f(t)
The Laplace transform of the above equation with the initial condition is:

Laplace transforms | Engineering Mathematics for Electrical Engineering - Electrical Engineering (EE)

Calculation
Given, y(0) = 5, y'(0) = 10
Laplace transforms | Engineering Mathematics for Electrical Engineering - Electrical Engineering (EE)


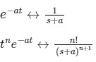
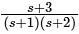
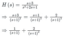
Q4. The inverse Laplace transform of Laplace transforms | Engineering Mathematics for Electrical Engineering - Electrical Engineering (EE) for t β‰₯ 0 is
Solution: Some pairs of Laplace transforms are given below.
Laplace transforms | Engineering Mathematics for Electrical Engineering - Electrical Engineering (EE)
Given:
Laplace transforms | Engineering Mathematics for Electrical Engineering - Electrical Engineering (EE)

By applying inverse Laplace transform
β‡’ H(t) = e-t + 2t e-t


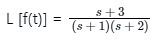
Q5. If the Laplace transform of function f(t) is given by Laplace transforms | Engineering Mathematics for Electrical Engineering - Electrical Engineering (EE), then f(0) is
Solution: Laplace Transforms:
Laplace transforms | Engineering Mathematics for Electrical Engineering - Electrical Engineering (EE)
Given:Laplace transforms | Engineering Mathematics for Electrical Engineering - Electrical Engineering (EE)
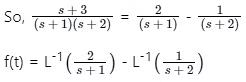
The above equation through partial fractions can be written as:
Laplace transforms | Engineering Mathematics for Electrical Engineering - Electrical Engineering (EE)
Comparing co-efficients on both sides, we get
A + B = 1 and 2A + B = 3
We get, A = 2, B = -1

Laplace transforms | Engineering Mathematics for Electrical Engineering - Electrical Engineering (EE)
f(t) = 2e-t - e-2tSo,
f(0) = 2e-0 - e-0 = 2 - 1 = 1
∴ f(0) = 1

The document Laplace transforms | Engineering Mathematics for Electrical Engineering - Electrical Engineering (EE) is a part of the Electrical Engineering (EE) Course Engineering Mathematics for Electrical Engineering.
All you need of Electrical Engineering (EE) at this link: Electrical Engineering (EE)
44 videos|109 docs|58 tests
Related Searches

shortcuts and tricks

,

Semester Notes

,

Laplace transforms | Engineering Mathematics for Electrical Engineering - Electrical Engineering (EE)

,

Objective type Questions

,

Exam

,

video lectures

,

Viva Questions

,

MCQs

,

pdf

,

Extra Questions

,

study material

,

Previous Year Questions with Solutions

,

Sample Paper

,

Free

,

past year papers

,

Laplace transforms | Engineering Mathematics for Electrical Engineering - Electrical Engineering (EE)

,

Laplace transforms | Engineering Mathematics for Electrical Engineering - Electrical Engineering (EE)

,

practice quizzes

,

Important questions

,

Summary

,

ppt

,

mock tests for examination

;