Physics Exam  >  Physics Notes  >  Physics for IIT JAM, UGC - NET, CSIR NET  >  Legendre Special Function - 2

Legendre Special Function - 2 | Physics for IIT JAM, UGC - NET, CSIR NET PDF Download

RECURRENCE RELATIONS AND SPECIAL PROPERTIES

Recurrence Relations

The Legendre polynomial generating function provides a convenient way of deriving the recurrence relations and some special properties. If our generating function (Eq. (12.4)) is differentiated with respect to t , we obtain

Legendre Special Function - 2 | Physics for IIT JAM, UGC - NET, CSIR NET

By substituting Eq. (12.4) into this and rearranging terms, we have

Legendre Special Function - 2 | Physics for IIT JAM, UGC - NET, CSIR NET

The left-hand side is a power series in t . Since this power series vanishes for all values of t , the coefficient of each power of t is equal to zero; that is, our power series is unique (Section 5.7). These coefficients are found by separating the individual summations and using distinctive summation indices:

Legendre Special Function - 2 | Physics for IIT JAM, UGC - NET, CSIR NET

Now, letting m = n + 1,s = n − 1, we find

Legendre Special Function - 2 | Physics for IIT JAM, UGC - NET, CSIR NET

.This is another three-term recurrence relation, similar to (but not identical with) the recurrence relation for Bessel functions. With this recurrence relation we may easily construct the higher Legendre polynomials. If we take n = 1 and insert the easily found values of P0 (x ) and P1 (x ) , we obtain

Legendre Special Function - 2 | Physics for IIT JAM, UGC - NET, CSIR NET(12.18)

or

Legendre Special Function - 2 | Physics for IIT JAM, UGC - NET, CSIR NET(12.19)

Legendre Special Function - 2 | Physics for IIT JAM, UGC - NET, CSIR NET

Legendre Special Function - 2 | Physics for IIT JAM, UGC - NET, CSIR NET

Legendre Special Function - 2 | Physics for IIT JAM, UGC - NET, CSIR NET

Legendre Special Function - 2 | Physics for IIT JAM, UGC - NET, CSIR NET

Differential Equations

More information about the behavior of the Legendre polynomials can be obtained if we now differentiate Eq. (12.4) with respect to x . This gives

Legendre Special Function - 2 | Physics for IIT JAM, UGC - NET, CSIR NET

or

Legendre Special Function - 2 | Physics for IIT JAM, UGC - NET, CSIR NET

As before, the coefficient of each power of t is set equal to zero and we obtain

Legendre Special Function - 2 | Physics for IIT JAM, UGC - NET, CSIR NET

A more useful relation may be found by differentiating Eq. (12.17) with respect to x and multiplying by 2. To this we add (2n + 1) times Eq. (12.22), canceling the Pn′ term. The result is

Legendre Special Function - 2 | Physics for IIT JAM, UGC - NET, CSIR NET

From Eqs. (12.22) and (12.23) numerous additional equations may be developed,5 including

Legendre Special Function - 2 | Physics for IIT JAM, UGC - NET, CSIR NET

 

Legendre Special Function - 2 | Physics for IIT JAM, UGC - NET, CSIR NET

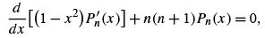
 The previous equations, Eqs. (12.22) to (12.27), are all first-order ODEs, but with polynomials of two different indices. The price for having all indices alike is a second-order differential equation. Equation (12.28) is Legendre’s ODE. We now see that the polynomials Pn (x ) generated by the power series for (1 − 2xt + t 2 )−1/2 satisfy Legendre’s equation, which, of course, is why they are called Legendre polynomials.
In Eq. (12.28) differentiation is with respect to x(x = cos θ). Frequently, we encounter Legendre’s equation expressed in terms of differentiation with respect to θ :

Legendre Special Function - 2 | Physics for IIT JAM, UGC - NET, CSIR NET

Special Values

Our generating function provides still more information about the Legendre polynomials.
If we set x = 1, Eq. (12.4) becomes

Legendre Special Function - 2 | Physics for IIT JAM, UGC - NET, CSIR NET

using a binomial expansion or the geometric series, Example 5.1.1. But Eq. (12.4) for x = 1 defines

Legendre Special Function - 2 | Physics for IIT JAM, UGC - NET, CSIR NET

Comparing the two series expansions (uniqueness of power series, Section 5.7), we have

Pn (1) = 1.                           (12.31)

If we let x =−1 in Eq. (12.4) and use

Legendre Special Function - 2 | Physics for IIT JAM, UGC - NET, CSIR NET

this shows that

Legendre Special Function - 2 | Physics for IIT JAM, UGC - NET, CSIR NET(12.32)

For obtaining these results, we find that the generating function is more convenient than the explicit series form, Eq. (12.8).
If we take x = 0 in Eq. (12.4), using the binomial expansion

Legendre Special Function - 2 | Physics for IIT JAM, UGC - NET, CSIR NET

we have6

Legendre Special Function - 2 | Physics for IIT JAM, UGC - NET, CSIR NET

These results also follow from Eq. (12.8) by inspection.

 

Parity

Some of these results are special cases of the parity property of the Legendre polynomials.

We refer once more to Eqs. (12.4) and (12.8). If we replace x by −x and t by −t ,the generating function is unchanged. Hence

Legendre Special Function - 2 | Physics for IIT JAM, UGC - NET, CSIR NET

Comparing these two series, we have

Legendre Special Function - 2 | Physics for IIT JAM, UGC - NET, CSIR NET

that is, the polynomial functions are odd or even (with respect to x = 0,θ = π/2) according to whether the index n is odd or even. This is the parity,7 or reflection, property that plays such an important role in quantum mechanics. For central forces the index n is a measure of the orbital angular momentum, thus linking parity and orbital angular momentum.
This parity property is confirmed by the series solution and for the special values tabulated in Table 12.1. It might also be noted that Eq. (12.37) may be predicted by inspection of Eq. (12.17), the recurrence relation. Specifically, if Pn−1 (x ) and xPn (x ) are even, then Pn+1 (x ) must be even.

 

Upper and Lower Bounds for Pn(cos θ)

Finally, in addition to these results, our generating function enables us to set an upper limit on |Pn (cos θ)|.Wehave

Legendre Special Function - 2 | Physics for IIT JAM, UGC - NET, CSIR NET

Legendre Special Function - 2 | Physics for IIT JAM, UGC - NET, CSIR NET

Legendre Special Function - 2 | Physics for IIT JAM, UGC - NET, CSIR NET

Legendre Special Function - 2 | Physics for IIT JAM, UGC - NET, CSIR NET

Legendre Special Function - 2 | Physics for IIT JAM, UGC - NET, CSIR NET

This series, Eq. (12.39b), is clearly a maximum when θ = 0 and cos mθ = 1. But for x = cos θ = 1, Eq. (12.31) shows that P(1) = 1. Therefore

Legendre Special Function - 2 | Physics for IIT JAM, UGC - NET, CSIR NET(12.39c)

A fringe benefit of Eq. (12.39b) is that it shows that our Legendre polynomial is a linear combination of cos mθ . This means that the Legendre polynomials form a complete set for any functions that may be expanded by a Fourier cosine series (Section 14.1) over the interval [0,π ].

  • In this section various useful properties of the Legendre polynomials are derived from the generating function, Eq. (12.4).
  • The explicit series representation, Eq. (12.8), offers an alternate and sometimes superior approach.

 

ORTHOGONALITY

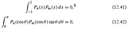
Legendre’s ODE (12.28) may be written in the form

Legendre Special Function - 2 | Physics for IIT JAM, UGC - NET, CSIR NET             (12.40)

Legendre Special Function - 2 | Physics for IIT JAM, UGC - NET, CSIR NET

Legendre Special Function - 2 | Physics for IIT JAM, UGC - NET, CSIR NET

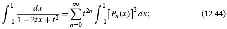
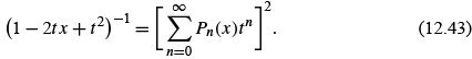
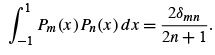
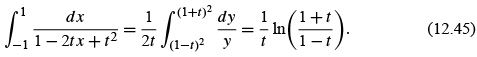
showing that Pn (x ) and Pm (x ) are orthogonal for the interval [−1, 1]. This orthogonality may also be demonstrated by using Rodrigues’ definition of P(x ).We shall need to evaluate the integral (Eq. (12.41)) when n = m. Certainly it is no longer zero. From our generating function,

Legendre Special Function - 2 | Physics for IIT JAM, UGC - NET, CSIR NET

Integrating from x =−1to x =+1, we have

Legendre Special Function - 2 | Physics for IIT JAM, UGC - NET, CSIR NET

the cross terms in the series vanish by means of Eq. (12.42). Using y = 1 − 2tx + t 2 , dy =−2td x , we obtain

Legendre Special Function - 2 | Physics for IIT JAM, UGC - NET, CSIR NET

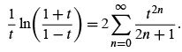
Expanding this in a power series  gives us

Legendre Special Function - 2 | Physics for IIT JAM, UGC - NET, CSIR NET        (12.46)

Comparing power-series coefficients of Eqs. (12.44) and (12.46), we must have

Legendre Special Function - 2 | Physics for IIT JAM, UGC - NET, CSIR NET               (12.47)

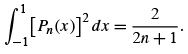
Combining Eq. (12.42) with Eq. (12.47) we have the orthonormality condition

Legendre Special Function - 2 | Physics for IIT JAM, UGC - NET, CSIR NET            (12.48)

We shall return to this result, when we construct the orthonormal spherical harmonics.

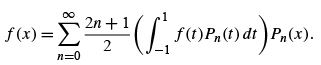
Expansion of Functions, Legendre Series

In addition to orthogonality, the Sturm–Liouville theory implies that the Legendre polynomials form a complete set. Let us assume, then, that the series

Legendre Special Function - 2 | Physics for IIT JAM, UGC - NET, CSIR NET           (12.49)

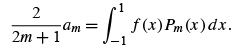
converges in the mean (Section 10.4) in the interval [−1, 1]. This demands that f(x ) and f ′ (x ) be at least sectionally continuous in this interval. The coefficients an are found by multiplying the series by Pm (x ) and integrating term by term. Using the orthogonality property expressed in Eqs. (12.42) and (12.48), we obtain

Legendre Special Function - 2 | Physics for IIT JAM, UGC - NET, CSIR NET        (12.50)

We replace the variable of integration x by t and the index m by n. Then, substituting into Eq. (12.49), we have

Legendre Special Function - 2 | Physics for IIT JAM, UGC - NET, CSIR NET      (12.51)

This expansion in a series of Legendre polynomials is usually referred to as a Legendre series. Its properties are quite similar to the more familiar Fourier series . In particular, we can use the orthogonality property (Eq. (12.48)) to show that the series is unique.
On a more abstract (and more powerful) level, Eq. (12.51) gives the representation of f(x ) in the vector space of Legendre polynomials .
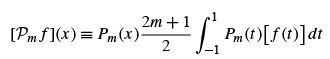
From the viewpoint of integral transforms, Eq. (12.50) may be considered a finite Legendre transform of f(x ). Equation (12.51) is then the inverse transform. It may also be interpreted in terms of the projection operators of quantum theory. We may take Pm in

Legendre Special Function - 2 | Physics for IIT JAM, UGC - NET, CSIR NET

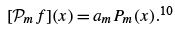
as an (integral) operator, ready to operate on f(t ).(The f(t ) would go in the square bracket as a factor in the integrand.) Then, from Eq. (12.50),

Legendre Special Function - 2 | Physics for IIT JAM, UGC - NET, CSIR NET

The operator Pm projects out the mth component of the function f .
Equation (12.3), which leads directly to the generating function definition of Legendre polynomials, is a Legendre expansion of 1/r. This Legendre expansion of 1/r1 or 1/r12 . Going beyond a Coulomb field, the 1 /r12 is often replaced by a potential V(|r− r2 |), and the solution of the problem is again effected by a Legendre expansion.

The Legendre series, Eq. (12.49), has been treated as a known function f(x ) that we arbitrarily chose to expand in a series of Legendre polynomials. Sometimes the origin and nature of the Legendre series are different. In the next examples we consider unknown functions we know can be represented by a Legendre series because of the differential equation the unknown functions satisfy. As before, the problem is to determine the unknown coefficients in the series expansion. Here, however, the coefficients are not found by Eq. (12.50). Rather, they are determined by demanding that the Legendre series match a known solution at a boundary. These are boundary value problems.

The document Legendre Special Function - 2 | Physics for IIT JAM, UGC - NET, CSIR NET is a part of the Physics Course Physics for IIT JAM, UGC - NET, CSIR NET.
All you need of Physics at this link: Physics
158 docs

FAQs on Legendre Special Function - 2 - Physics for IIT JAM, UGC - NET, CSIR NET

1. What is the Legendre special function?
Ans. The Legendre special function is a mathematical function that appears in many areas of physics, particularly in the study of wave propagation and potential theory. It is named after the French mathematician Adrien-Marie Legendre and is commonly denoted as P(x).
2. How is the Legendre special function used in physics?
Ans. The Legendre special function is used in physics to solve various differential equations that arise in problems involving spherical symmetry and angular momentum. It is particularly useful in solving problems related to electrostatics, quantum mechanics, and heat conduction.
3. Can you provide an example of how the Legendre special function is used in physics?
Ans. Sure! One example is its application in solving the Laplace equation in electrostatics. The Legendre special function can be used to find the electric potential in a system with spherical symmetry, such as a charged conducting sphere. By solving the Laplace equation using Legendre's equation and the Legendre special function, one can determine the electric potential at any point in the system.
4. Are there any alternative special functions that can be used instead of the Legendre special function?
Ans. Yes, there are alternative special functions that can be used depending on the specific problem. For example, in problems involving cylindrical symmetry, the Bessel functions are commonly used. In problems involving ellipsoidal symmetry, the associated Legendre functions or the confluent hypergeometric functions may be more appropriate.
5. Can the Legendre special function be generalized to higher dimensions?
Ans. Yes, the Legendre special function can be generalized to higher dimensions. In three dimensions, it is known as the Legendre polynomial and is commonly used to express the angular part of the wave function in problems involving spherical symmetry. In higher dimensions, analogous functions called the associated Legendre functions are used to solve problems involving higher-dimensional symmetries.
Related Searches

video lectures

,

Objective type Questions

,

pdf

,

Viva Questions

,

MCQs

,

UGC - NET

,

shortcuts and tricks

,

Exam

,

ppt

,

practice quizzes

,

Free

,

past year papers

,

UGC - NET

,

CSIR NET

,

UGC - NET

,

Semester Notes

,

CSIR NET

,

Extra Questions

,

mock tests for examination

,

Legendre Special Function - 2 | Physics for IIT JAM

,

CSIR NET

,

Sample Paper

,

Legendre Special Function - 2 | Physics for IIT JAM

,

Legendre Special Function - 2 | Physics for IIT JAM

,

study material

,

Summary

,

Important questions

,

Previous Year Questions with Solutions

;