Physics Exam  >  Physics Notes  >  Physics for IIT JAM, UGC - NET, CSIR NET  >  Legendre Special Function - 4

Legendre Special Function - 4 | Physics for IIT JAM, UGC - NET, CSIR NET PDF Download

ASSOCIATED LEGENDRE FUNCTIONS

When Helmholtz’s equation is separated in spherical polar coordinates, one of the separated ODEs is the associated Legendre equation

Legendre Special Function - 4 | Physics for IIT JAM, UGC - NET, CSIR NET

With x = cos θ , this becomes

Legendre Special Function - 4 | Physics for IIT JAM, UGC - NET, CSIR NET

If the azimuthal separation constant m= 0, we have Legendre’s equation, Eq. (12.28).
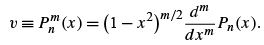
The regular solutions Legendre Special Function - 4 | Physics for IIT JAM, UGC - NET, CSIR NET  (with m not necessarily zero, but an integer) are

Legendre Special Function - 4 | Physics for IIT JAM, UGC - NET, CSIR NET          (12.73a)

with m ≥ 0 an integer

One way of developing the solution of the associated Legendre equation is to start with the regular Legendre equation and convert it into the associated Legendre equation by using multiple differentiation. These multiple differentiations are suggested by Eq. (12.73a). 
We take Legendre’s equation

Legendre Special Function - 4 | Physics for IIT JAM, UGC - NET, CSIR NET

(1 − x 2)u′′ − 2x(m + 1)u′ + (n − m)(n + m + 1)u = 0,       (12.75)

where

Legendre Special Function - 4 | Physics for IIT JAM, UGC - NET, CSIR NET(12.76)

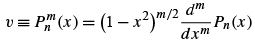
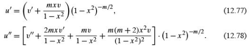
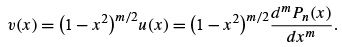
Equation (12.74) is not self-adjoint. To put it into self-adjoint form and convert the weighting function to 1, we replace u(x ) by

Legendre Special Function - 4 | Physics for IIT JAM, UGC - NET, CSIR NET      (12.73b)

Solving for u and differentiating, we obtain

Legendre Special Function - 4 | Physics for IIT JAM, UGC - NET, CSIR NET

Substituting into Eq. (12.74), we find that the new function v satisfies the self-adjoint ODE

Legendre Special Function - 4 | Physics for IIT JAM, UGC - NET, CSIR NET

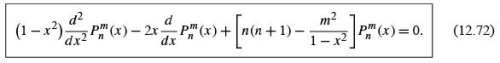
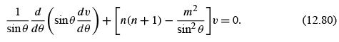
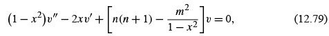
which is the associated Legendre equation; it reduces to Legendre’s equation when m is set equal to zero. Expressed in spherical polar coordinates, the associated Legendre equation is

Legendre Special Function - 4 | Physics for IIT JAM, UGC - NET, CSIR NET


Associated Legendre Polynomials 

The regular solutions, relabeledLegendre Special Function - 4 | Physics for IIT JAM, UGC - NET, CSIR NET

Legendre Special Function - 4 | Physics for IIT JAM, UGC - NET, CSIR NET       (12.73c)

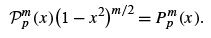
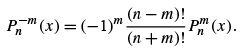
These are the associated Legendre functions. Since the highest power of x in Pn (x ) is x n ,wemusthave m ≤ n (or the m-fold differentiation will drive our function to zero).
In quantum mechanics the requirement that m ≤ n has the physical interpretation that the expectation value of the square of the z component of the angular momentum is less than or equal to the expectation value of the square of the angular momentum vector L,

Legendre Special Function - 4 | Physics for IIT JAM, UGC - NET, CSIR NET

Legendre Special Function - 4 | Physics for IIT JAM, UGC - NET, CSIR NET

Legendre Special Function - 4 | Physics for IIT JAM, UGC - NET, CSIR NET

From our definition of the associated Legendre functions Legendre Special Function - 4 | Physics for IIT JAM, UGC - NET, CSIR NET

Legendre Special Function - 4 | Physics for IIT JAM, UGC - NET, CSIR NET           (12.82)

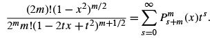
A generating function for the associated Legendre functions is obtained, via Eq. (12.71), from that of the ordinary Legendre polynomials:

Legendre Special Function - 4 | Physics for IIT JAM, UGC - NET, CSIR NET        (12.83)

Legendre Special Function - 4 | Physics for IIT JAM, UGC - NET, CSIR NET

Legendre Special Function - 4 | Physics for IIT JAM, UGC - NET, CSIR NET

Comparing coefficients of powers of t in these power series, we obtain the recurrence relation

Legendre Special Function - 4 | Physics for IIT JAM, UGC - NET, CSIR NET

Legendre Special Function - 4 | Physics for IIT JAM, UGC - NET, CSIR NET

so upon inserting Eq. (12.84) we get the recursion

Legendre Special Function - 4 | Physics for IIT JAM, UGC - NET, CSIR NET

 

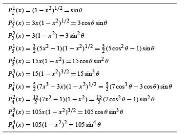
Table 12.2 Associated Legendre Functions

Legendre Special Function - 4 | Physics for IIT JAM, UGC - NET, CSIR NET

 

Example 12.5.1 LOWEST ASSOCIATED LEGENDRE POLYNOMIALS

Legendre Special Function - 4 | Physics for IIT JAM, UGC - NET, CSIR NET

Legendre Special Function - 4 | Physics for IIT JAM, UGC - NET, CSIR NET

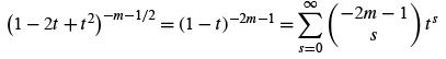
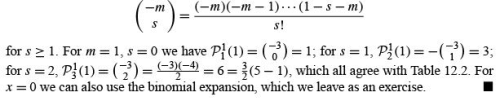
Example 12.5.2 SPECIAL VALUES

For x = 1we use

Legendre Special Function - 4 | Physics for IIT JAM, UGC - NET, CSIR NET

in Eq. (12.84) and find

Legendre Special Function - 4 | Physics for IIT JAM, UGC - NET, CSIR NET(12.90)

where
Legendre Special Function - 4 | Physics for IIT JAM, UGC - NET, CSIR NET

for s = 0 and

Legendre Special Function - 4 | Physics for IIT JAM, UGC - NET, CSIR NET

 

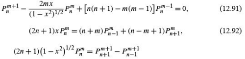
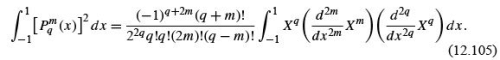
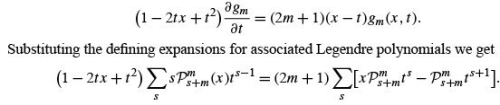
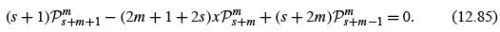
Recurrence Relations

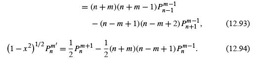
As expected and already seen, the associated Legendre functions satisfy recurrence relations. Because of the existence of two indices instead of just one, we have a wide variety of recurrence relations:

Legendre Special Function - 4 | Physics for IIT JAM, UGC - NET, CSIR NET

Legendre Special Function - 4 | Physics for IIT JAM, UGC - NET, CSIR NET

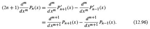
These relations, and many other similar ones, may be verified by use of the generating function (Eq. (12.4)), by substitution of the series solution of the associated Legendre equation (12.79) or reduction to the Legendre polynomial recurrence relations, using Eq. (12.73c). As an example of the last method, consider Eq. (12.93). It is similar to Eq. (12.23):

Legendre Special Function - 4 | Physics for IIT JAM, UGC - NET, CSIR NET         (12.95)

Let us differentiate this Legendre polynomial recurrence relation m times to obtain

Legendre Special Function - 4 | Physics for IIT JAM, UGC - NET, CSIR NET

Now multiplying by (1 − x 2 )(m+1)/2 and using the definition of Pn (x ), we obtain the first part of Eq. (12.93).

 

Parity

The parity relation satisfied by the associated Legendre functions may be determined by examination of the defining equation (12.73c). As x →−x , we already know that Pn (x ) contributes a (−1)n .The m-fold differentiation yields a factor of (−1)m . Hence we have

Legendre Special Function - 4 | Physics for IIT JAM, UGC - NET, CSIR NET  (12.97)

A glance at Table 12.2 verifies this for 1 ≤ m ≤ n ≤ 4.
Also, from the definition in Eq. (12.73c),

Legendre Special Function - 4 | Physics for IIT JAM, UGC - NET, CSIR NET        (12.98)

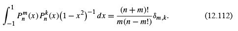
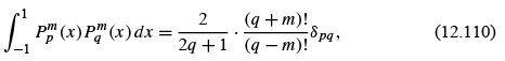
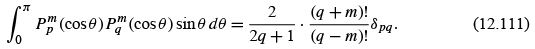
Orthogonality 

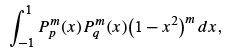
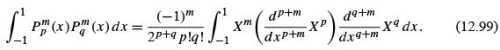
The orthogonality of the Legendre Special Function - 4 | Physics for IIT JAM, UGC - NET, CSIR NET follows from the ODE, just as for the Pn (x ) (Section 12.3), if m is the same for both functions. However, it is instructive to demonstrate the orthogonality by another method, a method that will also provide the normalization constant.
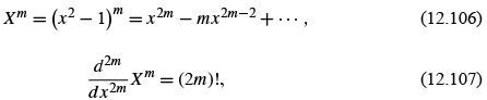
Using the definition in Eq. (12.73c) and Rodrigues’ formula (Eq. (12.65)) for Pn (x ),we find

Legendre Special Function - 4 | Physics for IIT JAM, UGC - NET, CSIR NET

Legendre Special Function - 4 | Physics for IIT JAM, UGC - NET, CSIR NET

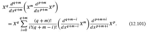
The integrand on the right-hand side is now expanded by Leibniz’ formula to give

Legendre Special Function - 4 | Physics for IIT JAM, UGC - NET, CSIR NET

Since the term Xcontains no power of x greater than x2m ,wemusthave

q + m − i ≤ 2m                    (12.102)

or the derivative will vanish. Similarly,

p + m + i ≤ 2p.               (12.103)

Adding both inequalities yields

q ≤ p,                                 (12.104)

which contradicts our assumption that p< q . Hence, there is no solution for i and the integral vanishes. The same result obviously will follow if p> q .
For the remaining case, p = q , we have the single term corresponding to i = q − m.
Putting Eq. (12.101) into Eq. (12.100), we have

Legendre Special Function - 4 | Physics for IIT JAM, UGC - NET, CSIR NET

Since

Legendre Special Function - 4 | Physics for IIT JAM, UGC - NET, CSIR NET

Eq. (12.105) reduces to

Legendre Special Function - 4 | Physics for IIT JAM, UGC - NET, CSIR NET

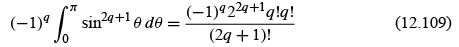
The integral on the right is just

Legendre Special Function - 4 | Physics for IIT JAM, UGC - NET, CSIR NET

(compare Exercise 8.4.9). Combining Eqs. (12.108) and (12.109), we have the orthogonality integral,

Legendre Special Function - 4 | Physics for IIT JAM, UGC - NET, CSIR NET

or, in spherical polar coordinates,

Legendre Special Function - 4 | Physics for IIT JAM, UGC - NET, CSIR NET

The orthogonality of the Legendre polynomials is a special case of this result, obtained by setting m equal to zero; that is, for m = 0, Eq. (12.110) reduces to Eqs. (12.47) and (12.48). In both Eqs. (12.110) and (12.111), our Sturm–Liouville theory of Chapter 10 could provide the Kronecker delta. A special calculation, such as the analysis here, is required for the normalization constant.
The orthogonality of the associated Legendre functions over the same interval and with the same weighting factor as the Legendre polynomials does not contradict the uniqueness of the Gram–Schmidt construction of the Legendre polynomials.
Table 12.2 suggests thatLegendre Special Function - 4 | Physics for IIT JAM, UGC - NET, CSIR NET dx may be written as

Legendre Special Function - 4 | Physics for IIT JAM, UGC - NET, CSIR NET

where we defined earlier

Legendre Special Function - 4 | Physics for IIT JAM, UGC - NET, CSIR NET

The functions Legendre Special Function - 4 | Physics for IIT JAM, UGC - NET, CSIR NET may be constructed by the Gram–Schmidt procedure with the weighting function w(x ) = (1 − x 2 )m .
It is possible to develop an orthogonality relation for associated Legendre functions of the same lower index but different upper index. We find

Legendre Special Function - 4 | Physics for IIT JAM, UGC - NET, CSIR NET

Note that a new weighting factor, (1 − x 2 )−1 , has been introduced. This relation is a mathematical curiosity. In physical problems with spherical symmetry solutions of Eqs. (12.80) and (9.64) appear in conjunction with those of Eq. (9.61), and orthogonality of the azimuthal dependence makes the two upper indices equal and always leads to Eq. (12.111).

 

The document Legendre Special Function - 4 | Physics for IIT JAM, UGC - NET, CSIR NET is a part of the Physics Course Physics for IIT JAM, UGC - NET, CSIR NET.
All you need of Physics at this link: Physics
158 docs

FAQs on Legendre Special Function - 4 - Physics for IIT JAM, UGC - NET, CSIR NET

1. What is the Legendre special function?
Ans. The Legendre special function refers to a class of mathematical functions known as Legendre functions. These functions are solutions to Legendre's differential equation and are widely used in physics to describe various phenomena, such as the behavior of electromagnetic fields and the motion of celestial bodies.
2. How are Legendre functions used in physics?
Ans. Legendre functions are used in physics to solve problems involving spherical symmetry, such as the behavior of electric and magnetic fields in spherical systems. They are also employed in quantum mechanics to describe the shape of atomic orbitals and the behavior of particles in spherical potentials.
3. What is the importance of Legendre polynomials in physics?
Ans. Legendre polynomials, which are a special case of Legendre functions, play a crucial role in physics. They are used to expand functions in terms of spherical harmonics, which are essential in the study of phenomena with spherical symmetry. Legendre polynomials also arise in the expansion of gravitational potential in celestial mechanics.
4. How are Legendre functions related to Legendre polynomials?
Ans. Legendre functions are a generalization of Legendre polynomials. While Legendre polynomials are defined for integer orders, Legendre functions are defined for any real or complex order. Legendre polynomials can be obtained from Legendre functions by setting the order to be an integer.
5. Can you provide an example of how Legendre functions are used in physics?
Ans. Certainly! One example is the description of the electric potential of a uniformly charged sphere. By solving Laplace's equation using spherical coordinates and applying boundary conditions, Legendre functions are used to express the potential in terms of spherical harmonics and Legendre polynomials.
Related Searches

Free

,

CSIR NET

,

CSIR NET

,

Previous Year Questions with Solutions

,

UGC - NET

,

Viva Questions

,

Extra Questions

,

Sample Paper

,

Summary

,

ppt

,

Legendre Special Function - 4 | Physics for IIT JAM

,

pdf

,

Legendre Special Function - 4 | Physics for IIT JAM

,

Important questions

,

Semester Notes

,

MCQs

,

mock tests for examination

,

Legendre Special Function - 4 | Physics for IIT JAM

,

UGC - NET

,

study material

,

past year papers

,

shortcuts and tricks

,

UGC - NET

,

Exam

,

video lectures

,

CSIR NET

,

Objective type Questions

,

practice quizzes

;