Chemistry Exam  >  Chemistry Notes  >  Inorganic Chemistry  >  Magnetic Properties of Coordination Complexes

Magnetic Properties of Coordination Complexes | Inorganic Chemistry PDF Download

MAGNETIC PROPERTIES


When a substance is placed in a magnetic field, the intensity of the magnetic field may increase or decrease depending upon the substance. There are five types of magnetism:

1. Paramagnetism: It is a property of substances which are attracted in a magnetic field.
Paramagnetism derives from the spin and orbital angular momenta of electrons. When all the electrons in a molecule are paired, their spin and orbital angular momenta cancel each other. Paramagnetism arises as a result of unpaired electron spins in the atom. Such substances are said to be paramagnetic. When a paramagnetic substance is placed in an external magnetic field, the permanent magnetic moment tends to align themselves in the direction of external magnetic field. In the absence of a magnetic field, the magnetic moments of individual molecule are randomly distributed. Hence, no magnetic moment is observed in the absence of magnetic field. Paramagnetism also depends upon temperature.

2. Diamagnetism: The substances having only paired electrons exhibit a weak magnetic moment known as diamagnetism and such substances are called diamagnetic substances. Diamagnetic substances are repelled by magnetic field. Diamagnetism is independent of temperature and the effect is much weaker than Paramagnetism. Magnetic permeability P is less than 1 for diamagnetic substances.
When the paramagnetic species are very close together (as in the bulk metal) or are separated by a species that can transmit magnetic interactions (as in many d-block metal oxides, fluorides and chlorides), the metal centres may interact (couple) with one another. The interaction may give rise to ferromagnetism or antiferromagnetism.

3. Ferromagnetism: In a ferromagnetic material, large domains of magnetic dipoles are aligned in the same direction. Ferromagnetism is actually greatly enhanced Paramagnetism due to close alignment of magnetic dipoles in the same direction.

4. Antiferromagnetism: Antiferromagnetism arises when the magnetic moments at neighbouring centres are aligned in opposite directions. The classic example of antiferromagnetism is MnO.

5. Ferrimagnetism: Ferrimagnetism is shown by substances in which the individual magnetic moments are aligned so as to oppose others but giving rise to some finite resultant magnetic moment. For example, Fe3O4 is ferromagnetic.
The alignment of individual magnetic moments in paramagnetic, ferromagnetic, antiferromagnetic and ferromagnetic substances is shown below:

Magnetic Properties of Coordination Complexes | Inorganic Chemistry   Magnetic Properties of Coordination Complexes | Inorganic Chemistry

(a) Paramagnetism, (b) ferromagnetism, (c) antiferromagnetism and (d) ferrimagnetism

Superechange: When a bridging ligand facilitates the coupling of electron spins on adjacentmetal centres, the mechanism is one of superexchange. In a superexchange pathway, the unpaired electron on the first metal centre, M1, interacts with a spin-paired pair of electrons on the bridging liga nd wit h the result that the unpaired electron on M2 is aligned in an antiparallel manner wit h respect to that on M1.

Magnetic Properties of Coordination Complexes | Inorganic Chemistry

Magnetic Susceptibility: Magnetic moment is calculated from the measurement of magnetic susceptibilit y. T herefore we will first discuss how to calculate magnetic susceptibilit y and then will move to the magnetic moment.
When a material is placed in a magnetic field of strength H, the induced magnetic field (B) produced in the substance will either be greater or less than the applied magnetic field depending upon whether the substance is paramagnetic or diamagnetic. The difference between the induced magnetic field (B) and applied magnetic field (H) is given by,
∆H = B – H
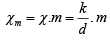
The magnetic susceptibilit y obtained experimentally is the specific (or mass) susceptibilit y χ(chi) which is given by

 Magnetic Properties of Coordination Complexes | Inorganic Chemistry

Where κ is the magnetic susceptibilit y per unit volume of the substance and is called volume magnetic susceptibilit y. The κ is the measure of the extent to which a substance tends to be magnetized. d is the density of the sample.
Molar susceptibilit y χM is obtained by multiplying χ by the molecular mass of the sample. 

 Magnetic Properties of Coordination Complexes | Inorganic Chemistry

Molar susceptibility is a measure of the degree to which one mole of substance of substance interacts with the applied magnetic field. Paramagnetic susceptibility is much greater than a diamagnetic substance.
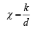
Molar susceptibility is related to the magnetic moment of the substance according to equation (if small diamagnetic contribution is removed):

 Magnetic Properties of Coordination Complexes | Inorganic Chemistry

Where, Where k = Bo ltzmann constant (1.38 × 10–23 Jk–1)
μ0 → permeabilit y of free space (4 π × 10–7 Hm–1)
T = absolute temperature, N0 = Avogadro’s constant μ has SI unit → JT–1

 Magnetic Properties of Coordination Complexes | Inorganic Chemistry

μ  is expressed in Bohr magnetons (μB) where

 Magnetic Properties of Coordination Complexes | Inorganic Chemistry

where e is electronic charge, h is Plank’s constant and me is mass of an e
Thus magnetic moment in Bohr magnetons is 

 Magnetic Properties of Coordination Complexes | Inorganic Chemistry or  Magnetic Properties of Coordination Complexes | Inorganic ChemistryMagnetic Properties of Coordination Complexes | Inorganic Chemistry

Magnetic Moment: The unpaired electron gives rise to a magnetic field because of its spin, and also because of the orbitals angular momentum. The general equation for the magnetic moments of the first row transition metal ions is:

μ (S + L) =  Magnetic Properties of Coordination Complexes | Inorganic Chemistry 

 

Where S is the total of spin quantum numbers and L is the resultant of the orbital angular momentum quantum numbers of all the electrons in the molecule.

For an electron the spin quantum no. ms is ±1/2, hence

S = ms . n

Where n is the no. of unpaired electrons.
In many compounds of the first row transition elements, the orbital contribution is quenched by the electric fields of surrounding atoms. If we ignore the orbital contribution, the observed magnetic moment is spin only magnetic moment μs and is given by,

Magnetic Properties of Coordination Complexes | Inorganic Chemistry

Since S = ms . n, the magnetic moment is related to no. of unpaired electron by equation:

Magnetic Properties of Coordination Complexes | Inorganic Chemistry

The spin only magnetic moment formula gives good agreement with many high spin complexes of first row elements. This is given in the following table.

Magnetic Properties of Coordination Complexes | Inorganic ChemistryMagnetic Properties of Coordination Complexes | Inorganic ChemistryMagnetic Properties of Coordination Complexes | Inorganic Chemistry

But there are exceptions in some cases. For example, for Co2+, the observed value for magnetic moment is higher than calculated by the spin only formula. This suggests there is also an orbital contribution.


Orbital Contribution

To have an orbital contribution it must be possible to transform an orbital into an equivalent (degenerate) orbital by rotation. It is possible to transform t2g orbitals (dxy, dyz, dzx) into each other by rotating 90˚. It is not possible to transform the eg orbitals (dx2-y2 and dz2) in this way since the y have different shapes. Therefore these orbitals have no orbital contribution. If all the t2g orbitals are singl y occupied, then it is not possible to transform the dxy into dyz or dzx since t he y already contain an electron wit h same spin. Similarl y it is not possible to transform the t2g orbitals if t he y are all doubly occupied. Thus configurations with (t2g)3 or (t2g)6 have no orbital contribution, but the others all have an orbital contribution. Therefore, in octahedral complexes following arrangements have an orbital contribution:

Magnetic Properties of Coordination Complexes | Inorganic Chemistry

has (t2g)5(eg)2 configuration: hence the high value of magnetic moment is due to orbital contribution. Similarly, an orbital contribution arises in tetrahedral complexes with the following configurations:

Magnetic Properties of Coordination Complexes | Inorganic Chemistry

In the second and third row transition elements, and particularly in the lanthanide elements, the orbital motion is not prevented or quenched. Thus the orbital contribution L is included in the calculations. In some cases there is coupling between the spin contribution S and an angular contribution L (spin-orbit coupling or Russel-Saunders coupling) to give a new quantum no. J. In this case the magnetic moment is given by,

Magnetic Properties of Coordination Complexes | Inorganic Chemistry

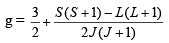
Where g is the gyromagnetic ratio and is given as

Magnetic Properties of Coordination Complexes | Inorganic Chemistry

on rearranging, this becomes

Magnetic Properties of Coordination Complexes | Inorganic Chemistry

Spin orbit coupling gives rise to fine structure in the absorption spectra. It splits the lower levels into a set of different levels. These levels may be populated by using thermal energy, giving rise to a temperature dependent magnetic moment.
 

Effect of Temperature on Magnetic Moment: According to Curie’s Law paramagnetic susceptibility χM varies inversely with absolute temperature.

Magnetic Properties of Coordination Complexes | Inorganic Chemistry

Where C is a Constant characteristic for the particular substance and is called Curie’s constant. Thus the moment in Bohr’s magnetons is given by,

Magnetic Properties of Coordination Complexes | Inorganic Chemistry

The Curie Law is valid only for paramagnetic substances which are magnetically dilute. In some substances which are not magnetically dilute, the magnetic moments of unpaired electrons on neighbouring atoms may couple with each other. These substances behave as ferromagnetic, antiferromagnetic or ferrimagnetic and obey Curie- Weiss Law:

Magnetic Properties of Coordination Complexes | Inorganic Chemistry

θ is called Weiss constant and is an empirical quantit y.
The temperature above which any ferromagnetic substance behaves as normal paramagnetic substance is called Curie temperature (TC). In case of ant i-ferromagnetic substances the magnetic susceptibilit y increases with temperature initially and then decreases. The temperature at which the anti-ferromagnetic substances start behaving as paramagnetic substances is called Neel Temperature (TN). 

Magnetic Properties of Coordination Complexes | Inorganic ChemistryMagnetic Properties of Coordination Complexes | Inorganic ChemistryMagnetic Properties of Coordination Complexes | Inorganic ChemistryMagnetic Properties of Coordination Complexes | Inorganic Chemistry

 

Spin Crossover: Octahedral complexes of d4, d5, d6 and d7 of first transition metal ions can eit her be high spin or low spin depending upon the magnitude of crystal ∆o and pairing energy P. When magnitude of ∆o ≈ P, the two complexes (HS and LS) have same energy and they exist in equilibrium. Spin crossover can occurs in these complexes by temperature or pressure.
For example, the complex [Fe(CN)5(NH3)]3- undergoes spin crossover (LS to HS) b y applying pressure. 

Magnetic Properties of Coordination Complexes | Inorganic Chemistry
The most important examples in which spin crossover take place are [Fe(Phen)2(NCS-N)2] and [Fe(btz)2(NCS-N)2]. At high temperature [Fe(Phen)2(NCS-N)2] exists as high spin with four unpaired electrons. Hence magnetic moment is more. When the temperature is decreased, there is sharp decrease in magnetic moment at 175K and the complex becomes low spin. This indicates that the complex [Fe(Phen)2(NCS-N)2] exist as both high spin and low spin at 175K. In [Fe(btz)2(NCS-N)2] low- to highspin crossover occurs more gradually. The dependence of the magnetic moment on temperature for these complexes are plotted below:

Magnetic Properties of Coordination Complexes | Inorganic ChemistryMagnetic Properties of Coordination Complexes | Inorganic Chemistry

            (a) [Fe(Phen)2(NCS-N)2]                                                 (b) [Fe(btz)2(NCS-N)2]

The document Magnetic Properties of Coordination Complexes | Inorganic Chemistry is a part of the Chemistry Course Inorganic Chemistry.
All you need of Chemistry at this link: Chemistry
50 videos|92 docs|41 tests

FAQs on Magnetic Properties of Coordination Complexes - Inorganic Chemistry

1. What are the magnetic properties of coordination complexes?
Ans. Coordination complexes can exhibit a range of magnetic properties, including paramagnetism, diamagnetism, and ferromagnetism. These properties arise from the presence of unpaired electrons in the complex.
2. How do coordination complexes exhibit paramagnetism?
Ans. Paramagnetism in coordination complexes occurs when there are unpaired electrons in the complex's metal center or ligands. These unpaired electrons have magnetic moments that align with an external magnetic field, resulting in an overall attraction towards the field.
3. What causes diamagnetism in coordination complexes?
Ans. Diamagnetism is observed in coordination complexes when all the electrons within the complex are paired, resulting in a net magnetic moment of zero. In the presence of an external magnetic field, the electrons in the complex experience induced magnetic fields that oppose the applied field, leading to a weak repulsion.
4. Can coordination complexes exhibit ferromagnetism?
Ans. No, coordination complexes typically do not exhibit ferromagnetism. Ferromagnetism requires the alignment of electron spins in neighboring atoms or ions, resulting in a permanent magnetic moment. Coordination complexes usually lack the necessary electron spin alignment for ferromagnetic behavior.
5. How do the ligands in a coordination complex affect its magnetic properties?
Ans. The ligands in a coordination complex can influence its magnetic properties by either donating or accepting electrons. Ligands that donate electrons to the metal center can lead to the formation of unpaired electrons, resulting in paramagnetic behavior. Conversely, ligands that accept electrons can pair up the electrons in the metal center, leading to diamagnetic behavior.
Related Searches

Extra Questions

,

video lectures

,

Objective type Questions

,

Free

,

Viva Questions

,

Magnetic Properties of Coordination Complexes | Inorganic Chemistry

,

Previous Year Questions with Solutions

,

Semester Notes

,

MCQs

,

Magnetic Properties of Coordination Complexes | Inorganic Chemistry

,

Magnetic Properties of Coordination Complexes | Inorganic Chemistry

,

Exam

,

Summary

,

practice quizzes

,

Important questions

,

pdf

,

study material

,

shortcuts and tricks

,

ppt

,

past year papers

,

Sample Paper

,

mock tests for examination

;