Physics Exam  >  Physics Notes  >  Electricity & Magnetism  >  Magnetic Vector Potential, Magnetic Dipole: Assignment

Magnetic Vector Potential, Magnetic Dipole: Assignment | Electricity & Magnetism - Physics PDF Download

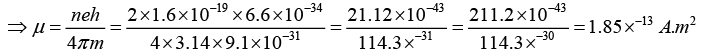
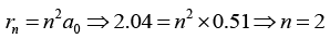
Q.1. Find the magnetic moment of an electron of charge e and mass m moving in a Bohr orbit of radius 2.040A in an Hydrogen atom

Magnetic Vector Potential, Magnetic Dipole: Assignment | Electricity & Magnetism - Physics
Magnetic Vector Potential, Magnetic Dipole: Assignment | Electricity & Magnetism - Physics
Magnetic Vector Potential, Magnetic Dipole: Assignment | Electricity & Magnetism - Physics


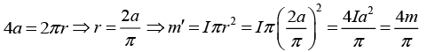
Q.2. The magnitude of the magnetic dipole moment associated with a square shaped loop carrying a steady current 0.5 A is 1.0 A.m2. If this loop is changed to a circular shape with the same current 0.5 A passing through it, then find the magnetic dipole moment.

Magnetic dipole moment associated with a square shaped loop (let side is a) carrying a steady current I is m = Ia2.
Magnetic dipole moment associated with a circular shaped loop (let radius is r) carrying a steady current I is m' = Iπr2.
Here
Magnetic Vector Potential, Magnetic Dipole: Assignment | Electricity & Magnetism - Physics
Magnetic Vector Potential, Magnetic Dipole: Assignment | Electricity & Magnetism - Physics


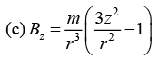
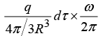
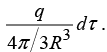
Q.3. A charge q is uniformly distributed over the volume of a uniform ball of radius R which rotates with angular velocity ω about the axis passing through its centre. Find the magnitude of the magnetic moment of the ball.

Magnetic Vector Potential, Magnetic Dipole: Assignment | Electricity & Magnetism - Physics

The magnetic moment must clearly be along the axis of rotation. Consider a volume 

element dτ . It contains charge Magnetic Vector Potential, Magnetic Dipole: Assignment | Electricity & Magnetism - Physics The rotation of the sphere causes this charge to revolve around the axis and constitute a current:
Magnetic Vector Potential, Magnetic Dipole: Assignment | Electricity & Magnetism - Physics
Its magnetic moment will be
Magnetic Vector Potential, Magnetic Dipole: Assignment | Electricity & Magnetism - Physics
So total magnetic moment is
Magnetic Vector Potential, Magnetic Dipole: Assignment | Electricity & Magnetism - Physics
Magnetic Vector Potential, Magnetic Dipole: Assignment | Electricity & Magnetism - Physics
Magnetic Vector Potential, Magnetic Dipole: Assignment | Electricity & Magnetism - Physics


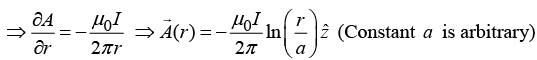
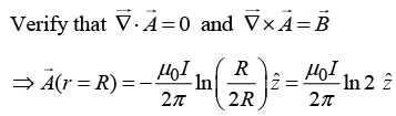
Q.4. (a) Find the magnetic vector potential at a distance R from an infinite straight wire carrying a current I. Take distance 2R as a reference point. Check that Magnetic Vector Potential, Magnetic Dipole: Assignment | Electricity & Magnetism - Physics and Magnetic Vector Potential, Magnetic Dipole: Assignment | Electricity & Magnetism - Physics 
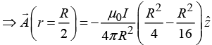
(b) Find the magnetic potential at a distance R /2, if it has radius R and the current is uniformly distributed. Take distance R /4 as a reference point.

(a) Magnetic Vector Potential, Magnetic Dipole: Assignment | Electricity & Magnetism - Physics point in the same direction as I and is a function of r (the distance from the wire).
In cylindrical coordinates
Magnetic Vector Potential, Magnetic Dipole: Assignment | Electricity & Magnetism - Physics
Magnetic Vector Potential, Magnetic Dipole: Assignment | Electricity & Magnetism - Physics
Magnetic Vector Potential, Magnetic Dipole: Assignment | Electricity & Magnetism - Physics
(b)
Magnetic Vector Potential, Magnetic Dipole: Assignment | Electricity & Magnetism - Physics
Magnetic Vector Potential, Magnetic Dipole: Assignment | Electricity & Magnetism - Physics
where b is arbitrary constant.
Magnetic Vector Potential, Magnetic Dipole: Assignment | Electricity & Magnetism - Physics
Magnetic Vector Potential, Magnetic Dipole: Assignment | Electricity & Magnetism - Physics


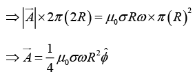
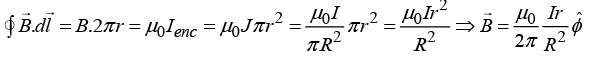
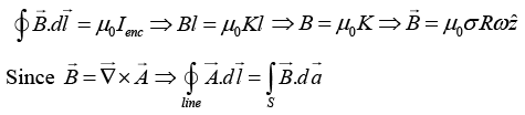
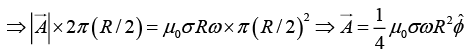
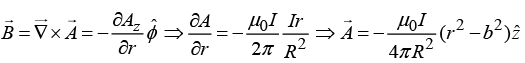
Q.5. An infinitely long hollow cylinder of radius a carrying R surface charge density σ is rotated about its cylindrical axis with a constant angular speed ω. Then find
(a) The magnitude of vector potential at a distance R /2 from its axis.
(b) The magnitude of vector potential at a distance 2R from its axis.

(a) Magnetic Vector Potential, Magnetic Dipole: Assignment | Electricity & Magnetism - Physics
Magnetic Vector Potential, Magnetic Dipole: Assignment | Electricity & Magnetism - Physics
Magnetic field inside is
Magnetic Vector Potential, Magnetic Dipole: Assignment | Electricity & Magnetism - Physics
Magnetic Vector Potential, Magnetic Dipole: Assignment | Electricity & Magnetism - Physics
(b)Magnetic Vector Potential, Magnetic Dipole: Assignment | Electricity & Magnetism - Physics
Magnetic Vector Potential, Magnetic Dipole: Assignment | Electricity & Magnetism - Physics
Magnetic Vector Potential, Magnetic Dipole: Assignment | Electricity & Magnetism - Physics


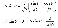
Q.6. A small magnetic needle is kept at (0, 0) with its moment along the x -axis. Another small magnetic needle is at the point (1,1) and is free to rotate in the xy - plane. Show that in the equilibrium sin θ = 3/√10. where angle q is the angle between their magnetic moments.

Magnetic Vector Potential, Magnetic Dipole: Assignment | Electricity & Magnetism - Physics
Magnetic Vector Potential, Magnetic Dipole: Assignment | Electricity & Magnetism - Physics
Magnetic Vector Potential, Magnetic Dipole: Assignment | Electricity & Magnetism - Physics
For stable position energy is minimum i.e.
Magnetic Vector Potential, Magnetic Dipole: Assignment | Electricity & Magnetism - Physics
Magnetic Vector Potential, Magnetic Dipole: Assignment | Electricity & Magnetism - Physics


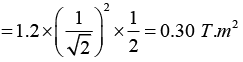
Q.7. In a constant magnetic field of 1.2 Tesla along the z -direction, find the value of the path integral Magnetic Vector Potential, Magnetic Dipole: Assignment | Electricity & Magnetism - Physics in the units of (Tesla m2) on a square loop of side length (1/√2) meters. The normal to the loop makes an angle of 60° to the z -axis, as shown in the figure.
Magnetic Vector Potential, Magnetic Dipole: Assignment | Electricity & Magnetism - Physics

Magnetic Vector Potential, Magnetic Dipole: Assignment | Electricity & Magnetism - Physics
Magnetic Vector Potential, Magnetic Dipole: Assignment | Electricity & Magnetism - Physics


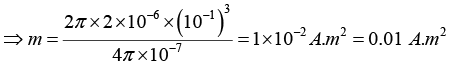
Q.8. Consider a thin round loop with current having radius of the loop equal to 100 mm and magnetic field at its centre is equal to 2μT. Then find the magnetic moment of the loop.

Magnetic moment
Magnetic Vector Potential, Magnetic Dipole: Assignment | Electricity & Magnetism - Physics
Magnetic Vector Potential, Magnetic Dipole: Assignment | Electricity & Magnetism - Physics


Q.9. The vector potential Magnetic Vector Potential, Magnetic Dipole: Assignment | Electricity & Magnetism - Physics due to a magnetic moment Magnetic Vector Potential, Magnetic Dipole: Assignment | Electricity & Magnetism - Physics at a point Magnetic Vector Potential, Magnetic Dipole: Assignment | Electricity & Magnetism - Physics is given by Magnetic Vector Potential, Magnetic Dipole: Assignment | Electricity & Magnetism - PhysicsIf Magnetic Vector Potential, Magnetic Dipole: Assignment | Electricity & Magnetism - Physics is directed along the positive z -axis, then find
(a) x -component of Magnetic Vector Potential, Magnetic Dipole: Assignment | Electricity & Magnetism - Physics 
(b) y -component of Magnetic Vector Potential, Magnetic Dipole: Assignment | Electricity & Magnetism - Physics 
(c) z -component of Magnetic Vector Potential, Magnetic Dipole: Assignment | Electricity & Magnetism - Physics
 

Magnetic Vector Potential, Magnetic Dipole: Assignment | Electricity & Magnetism - Physics
Magnetic Vector Potential, Magnetic Dipole: Assignment | Electricity & Magnetism - Physics
Magnetic Vector Potential, Magnetic Dipole: Assignment | Electricity & Magnetism - Physics
Magnetic Vector Potential, Magnetic Dipole: Assignment | Electricity & Magnetism - Physics
Magnetic Vector Potential, Magnetic Dipole: Assignment | Electricity & Magnetism - Physics


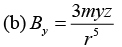
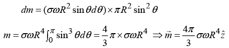
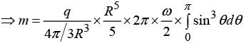
Q.10. A spherical shell of radius 50 mm carries a constant surface charge density 10 μC/m2 and is rotating about one of its diameters with an angular velocity 70 rad/sec. Find the magnitude of the magnetic moment of the shell.

Magnetic Vector Potential, Magnetic Dipole: Assignment | Electricity & Magnetism - Physics

The total charge on the shaded ring is dq = σ(2πR sin θ)Rd θ
Time for one revolution is dt = 2π/ω
⇒ Current in the ring
Magnetic Vector Potential, Magnetic Dipole: Assignment | Electricity & Magnetism - Physics
Area of the ring = π(R sin θ)2, so the magnetic moment of the ring is
Magnetic Vector Potential, Magnetic Dipole: Assignment | Electricity & Magnetism - Physics
Magnetic Vector Potential, Magnetic Dipole: Assignment | Electricity & Magnetism - Physics
Magnetic Vector Potential, Magnetic Dipole: Assignment | Electricity & Magnetism - Physics

The document Magnetic Vector Potential, Magnetic Dipole: Assignment | Electricity & Magnetism - Physics is a part of the Physics Course Electricity & Magnetism.
All you need of Physics at this link: Physics
82 videos|32 docs|22 tests
Related Searches

practice quizzes

,

mock tests for examination

,

video lectures

,

study material

,

Sample Paper

,

Extra Questions

,

MCQs

,

Summary

,

Important questions

,

shortcuts and tricks

,

Exam

,

Magnetic Vector Potential

,

Magnetic Dipole: Assignment | Electricity & Magnetism - Physics

,

Magnetic Vector Potential

,

Free

,

past year papers

,

Magnetic Dipole: Assignment | Electricity & Magnetism - Physics

,

ppt

,

Semester Notes

,

pdf

,

Objective type Questions

,

Magnetic Dipole: Assignment | Electricity & Magnetism - Physics

,

Magnetic Vector Potential

,

Previous Year Questions with Solutions

,

Viva Questions

;