Physics Exam  >  Physics Notes  >  Electricity & Magnetism  >  Magnetisation & Boundary Condition: Assignment

Magnetisation & Boundary Condition: Assignment | Electricity & Magnetism - Physics PDF Download

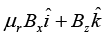
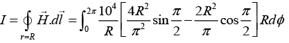
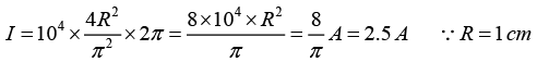
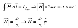
Q.1. A circular conductor of radius R = 1 cm has an internal field
Magnetisation & Boundary Condition: Assignment | Electricity & Magnetism - Physics
Then find the total current in the conductor.

Magnetisation & Boundary Condition: Assignment | Electricity & Magnetism - Physics
Magnetisation & Boundary Condition: Assignment | Electricity & Magnetism - Physics


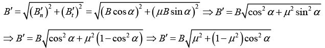
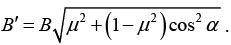
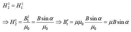
Q.2. The magnetic induction in vacuum at a plane surface of a uniform isotropic magnetic material is equal to B . The vector Magnetisation & Boundary Condition: Assignment | Electricity & Magnetism - Physics forms an angle α with the normal to the surface. The relative permeability of the magnetic material is equal to μ . Show that the magnitude of the magnetic induction B' in the magnetic material in the vicinity of its surface is 

Magnetisation & Boundary Condition: Assignment | Electricity & Magnetism - Physics

Magnetisation & Boundary Condition: Assignment | Electricity & Magnetism - Physics
Magnetisation & Boundary Condition: Assignment | Electricity & Magnetism - Physics
Magnetisation & Boundary Condition: Assignment | Electricity & Magnetism - Physics
Thus
Magnetisation & Boundary Condition: Assignment | Electricity & Magnetism - Physics


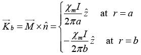
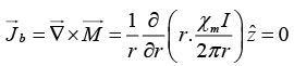
Q.3. A long circular cylinder of radius R carries a magnetization Magnetisation & Boundary Condition: Assignment | Electricity & Magnetism - Physics where k is a constant and r is the distance from the axis; there is no free current anywhere. Find
(a) all bound currents,
(b) the magnetic field due to Magnetisation & Boundary Condition: Assignment | Electricity & Magnetism - Physics for  points inside and outside the cylinder.

(a) Magnetisation & Boundary Condition: Assignment | Electricity & Magnetism - Physics
Magnetisation & Boundary Condition: Assignment | Electricity & Magnetism - PhysicsThus current has solenoidal symmetry. This is essentially a superposition of solenoids. Magnetic field is in the z -direction.
(b) From Ampere’s Law:
Magnetisation & Boundary Condition: Assignment | Electricity & Magnetism - Physics
Magnetisation & Boundary Condition: Assignment | Electricity & Magnetism - Physics
Magnetisation & Boundary Condition: Assignment | Electricity & Magnetism - Physics


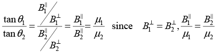
Q.4. At the interface between two linear dielectrics (with permeability μ1 and μ2), the magnetic field lines bend, as shown in the figure. Assume that there is no free current at the interface. Find the ratio Magnetisation & Boundary Condition: Assignment | Electricity & Magnetism - Physics
Magnetisation & Boundary Condition: Assignment | Electricity & Magnetism - Physics

Magnetisation & Boundary Condition: Assignment | Electricity & Magnetism - Physics


Q.5. The magnetic field in vacuum at a plane surface of a magnetic material is equal to Magnetisation & Boundary Condition: Assignment | Electricity & Magnetism - Physics and the vector Magnetisation & Boundary Condition: Assignment | Electricity & Magnetism - Physics forms an angle θ with the normal Magnetisation & Boundary Condition: Assignment | Electricity & Magnetism - Physics of the surface. The relative permeability of the magnetic material is equal to μ. Find:
(a) The flux of the vector Magnetisation & Boundary Condition: Assignment | Electricity & Magnetism - Physics through the spherical surface S of radius R, whose centre lies on the surface of the magnetic material;
(b) The circulation of the vector Magnetisation & Boundary Condition: Assignment | Electricity & Magnetism - Physics around the square path Γ with side ℓ located as shown in figure.

Magnetisation & Boundary Condition: Assignment | Electricity & Magnetism - Physics

(a) 
Magnetisation & Boundary Condition: Assignment | Electricity & Magnetism - Physics
Magnetisation & Boundary Condition: Assignment | Electricity & Magnetism - Physics
Magnetisation & Boundary Condition: Assignment | Electricity & Magnetism - Physics
Magnetisation & Boundary Condition: Assignment | Electricity & Magnetism - Physics
Magnetisation & Boundary Condition: Assignment | Electricity & Magnetism - Physics
and
Magnetisation & Boundary Condition: Assignment | Electricity & Magnetism - Physics
Thus
Magnetisation & Boundary Condition: Assignment | Electricity & Magnetism - Physics
(b)
Magnetisation & Boundary Condition: Assignment | Electricity & Magnetism - Physics


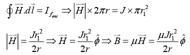
Q.6. An infinitely long solid cylindrical conductor of radius r1, carries a uniform volume current density Magnetisation & Boundary Condition: Assignment | Electricity & Magnetism - Physics It is uniformly surrounded by another coaxial cylinder of a linear magnetic medium with permeability μ, up to radius r2 as shown in the figure.
Magnetisation & Boundary Condition: Assignment | Electricity & Magnetism - Physics

(a) Determine the magnetic field Magnetisation & Boundary Condition: Assignment | Electricity & Magnetism - Physics in the region r<r1 and magnetic induction 

Magnetisation & Boundary Condition: Assignment | Electricity & Magnetism - Physics in the regions, r1< r<r2 and r>r2, where r is the radial distance from the axis of the cylinder.
(b) Sketch the variation of Magnetisation & Boundary Condition: Assignment | Electricity & Magnetism - Physics with r in all the three regions.

(a) Let us draw an amperian loop of radius r(r <r1)

Magnetisation & Boundary Condition: Assignment | Electricity & Magnetism - Physics
Magnetisation & Boundary Condition: Assignment | Electricity & Magnetism - Physics
Similarly draw an amperian loop of radius r(r1< r< r2)
Magnetisation & Boundary Condition: Assignment | Electricity & Magnetism - Physics
Again draw an amperian loop of radius r(r >r2)
Magnetisation & Boundary Condition: Assignment | Electricity & Magnetism - Physics
Magnetisation & Boundary Condition: Assignment | Electricity & Magnetism - Physics
(b)
Magnetisation & Boundary Condition: Assignment | Electricity & Magnetism - Physics


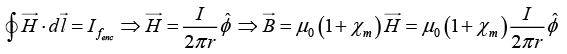
Q.7. The x - y plane is the boundary between free space and a magnetic material with relative permeability μ. The magnetic field in the free space is Magnetisation & Boundary Condition: Assignment | Electricity & Magnetism - Physics Then find the magnetic field in the magnetic material.

Magnetisation & Boundary Condition: Assignment | Electricity & Magnetism - Physics
The magnetic field in the magnetic material is Magnetisation & Boundary Condition: Assignment | Electricity & Magnetism - Physics


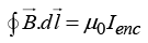
Q.8. A coaxial cable consists of two very long cylindrical tubes, separated by a material with susceptibility χm . A current I flows down the inner conductor and returns along the outer one; in each case the current distributes itself uniformly over the surface.
(a) Find the magnetic field in the region between the tubes.
(b) Find all bound currents.

Magnetisation & Boundary Condition: Assignment | Electricity & Magnetism - Physics

(a)Magnetisation & Boundary Condition: Assignment | Electricity & Magnetism - Physics
(b)  Magnetisation & Boundary Condition: Assignment | Electricity & Magnetism - Physics
Magnetisation & Boundary Condition: Assignment | Electricity & Magnetism - Physics
and
Magnetisation & Boundary Condition: Assignment | Electricity & Magnetism - Physics

The document Magnetisation & Boundary Condition: Assignment | Electricity & Magnetism - Physics is a part of the Physics Course Electricity & Magnetism.
All you need of Physics at this link: Physics
82 videos|32 docs|22 tests
Related Searches

practice quizzes

,

Extra Questions

,

Magnetisation & Boundary Condition: Assignment | Electricity & Magnetism - Physics

,

Sample Paper

,

Objective type Questions

,

MCQs

,

Free

,

Summary

,

Exam

,

pdf

,

ppt

,

Semester Notes

,

mock tests for examination

,

past year papers

,

Previous Year Questions with Solutions

,

shortcuts and tricks

,

Magnetisation & Boundary Condition: Assignment | Electricity & Magnetism - Physics

,

video lectures

,

Magnetisation & Boundary Condition: Assignment | Electricity & Magnetism - Physics

,

Important questions

,

Viva Questions

,

study material

;