Physics Exam  >  Physics Notes  >  Electricity & Magnetism  >  Maxwell's Equations

Maxwell's Equations | Electricity & Magnetism - Physics PDF Download

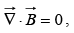
Maxwell’s Equation in Free Space

Electrodynamics before Maxwell’s

Maxwell`s Equations | Electricity & Magnetism - Physics

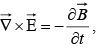
Taking divergence of equation (iii) we get

Maxwell`s Equations | Electricity & Magnetism - Physics So equation (iii) is valid.
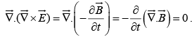
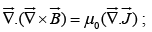
Again taking divergence of equation (iv) we have Maxwell`s Equations | Electricity & Magnetism - Physics 
the left side must be zero, but the right side, in general, is not.  
For steady currents Maxwell`s Equations | Electricity & Magnetism - Physics but for time varying fields Maxwell`s Equations | Electricity & Magnetism - Physics  the Ampere's law can not be right.

How Maxwell fixed Ampere’s Law

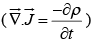
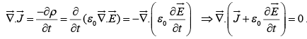
From continuity equation and Gauss Law
Maxwell`s Equations | Electricity & Magnetism - Physics
Thus
Maxwell`s Equations | Electricity & Magnetism - Physics
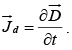
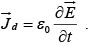
A changing electric field induces a magnetic field.
Maxwell called this extra term the displacement current
Maxwell`s Equations | Electricity & Magnetism - Physics
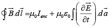
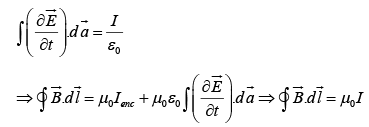
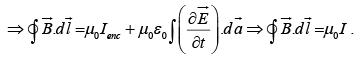
Integral form of Ampere's law

Maxwell`s Equations | Electricity & Magnetism - Physics

Paradox of Charging Capacitor

Maxwell`s Equations | Electricity & Magnetism - Physics

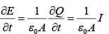
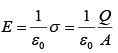
Displacement current resolves the paradox of charging capacitor. If the capacitor plates are very close together, then the electric field between them is:  Maxwell`s Equations | Electricity & Magnetism - Physics where Q is the charge on the plate and A is its area.

Thus, between the plates
Maxwell`s Equations | Electricity & Magnetism - Physics
If we choose the flat surface, then E = 0 and Ienc =I

Maxwell`s Equations | Electricity & Magnetism - Physics
If, on the other hand, we use the balloon-shaped surface, then Ienc = 0 , then

Maxwell`s Equations | Electricity & Magnetism - Physics
So we get the same answer for either surface, though in the first case it comes from the genuine current and in the second from the displacement current.

Maxwell’s Equation in Free Space

Maxwell`s Equations | Electricity & Magnetism - Physics

Maxwell’s Equation in Linear Isotropic Media
For materials that are subject to electric and magnetic polarization there is more convenient way to write Maxwell's equations. Inside polarized matter there will be accumulation of “bound” charge and current over which we don't have direct control. So we will reformulate Maxwell's equation in such a way as to make explicit reference only to those sources we control directly: the “free” charges and currents.

We know that an electric polarization Maxwell`s Equations | Electricity & Magnetism - Physics produces a bound charge density Maxwell`s Equations | Electricity & Magnetism - Physics 
Likewise, a magnetic polarization (or “magnetization”) Maxwell`s Equations | Electricity & Magnetism - Physics results in a bound current Maxwell`s Equations | Electricity & Magnetism - Physics 

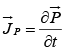
Due to time varying field any change in the electric polarization involves a flow of (bound) charge, (call it polarization current Maxwell`s Equations | Electricity & Magnetism - Physics ) which must be included in the total current.

Maxwell`s Equations | Electricity & Magnetism - Physics

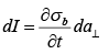
Consider a small piece of polarized material. The polarization introduces a charge density σb = P at one end and -σb at the other Maxwell`s Equations | Electricity & Magnetism - Physics If P now increases a bit, the charge on each end increases accordingly, giving a net current-carrying, Maxwell`s Equations | Electricity & Magnetism - Physics

Thus the polarization current  Maxwell`s Equations | Electricity & Magnetism - Physics

The po larizat ion current has nothing to do with the bound current, Maxwell`s Equations | Electricity & Magnetism - Physics . The bound current Maxwell`s Equations | Electricity & Magnetism - Physics is associated with magnetization of the material and involves the spin and orbital motion of electrons.

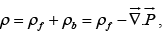
In view of all this, the total charge density Maxwell`s Equations | Electricity & Magnetism - Physics
and the total current density Maxwell`s Equations | Electricity & Magnetism - Physics
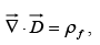
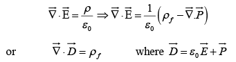
Gauss's law can now be written as:

Maxwell`s Equations | Electricity & Magnetism - Physics
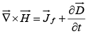
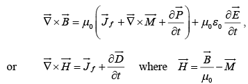
Now, Ampere's law (with Maxwell's term) becomes

Maxwell`s Equations | Electricity & Magnetism - Physics
In terms of free charges and currents, then, Maxwell's equations read

(i) Maxwell`s Equations | Electricity & Magnetism - Physics
(ii) Maxwell`s Equations | Electricity & Magnetism - Physics

(iii) Maxwell`s Equations | Electricity & Magnetism - Physics

(iv) Maxwell`s Equations | Electricity & Magnetism - Physics
For linear media,

Maxwell`s Equations | Electricity & Magnetism - Physics
Maxwell`s Equations | Electricity & Magnetism - Physics
and displacement current
Maxwell`s Equations | Electricity & Magnetism - Physics

Integral form

Maxwell`s Equations | Electricity & Magnetism - Physics

Maxwell`s Equations | Electricity & Magnetism - Physics

Boundary Conditions on the Fields at Interfaces

Maxwell`s Equations | Electricity & Magnetism - Physics

Maxwell`s Equations | Electricity & Magnetism - Physics

Maxwell`s Equations | Electricity & Magnetism - Physics

Maxwell`s Equations | Electricity & Magnetism - Physics
In particular, if there is no free charge or free current at the interface between medium1 and medium 2, then

Maxwell`s Equations | Electricity & Magnetism - Physics

The document Maxwell's Equations | Electricity & Magnetism - Physics is a part of the Physics Course Electricity & Magnetism.
All you need of Physics at this link: Physics
82 videos|32 docs|22 tests

FAQs on Maxwell's Equations - Electricity & Magnetism - Physics

1. What are Maxwell's equations and why are they important in physics?
Ans. Maxwell's equations are a set of four fundamental equations that describe the behavior of electric and magnetic fields. They were developed by James Clerk Maxwell and play a crucial role in understanding the phenomena of electromagnetism. These equations are important as they provide a mathematical framework for studying how electric and magnetic fields interact and propagate through space, leading to the development of technologies such as radio, television, and mobile communications.
2. What is the physical significance of each of Maxwell's equations?
Ans. Each of Maxwell's equations has a specific physical significance. The first equation, known as Gauss's law for electric fields, relates the electric field to the distribution of electric charges. The second equation, Gauss's law for magnetic fields, states that there are no magnetic monopoles and that magnetic field lines form closed loops. The third equation, Faraday's law of electromagnetic induction, describes how a changing magnetic field induces an electric field. The fourth equation, Ampere's law with Maxwell's addition, relates the magnetic field to the electric current and the changing electric field.
3. How are Maxwell's equations derived?
Ans. Maxwell's equations are derived from experimental observations and mathematical formulations. James Clerk Maxwell combined the laws of electricity and magnetism proposed by others, such as Coulomb's law, Ampere's law, and Faraday's law, into a set of four equations. He also added an additional term, known as the displacement current, to Ampere's law to ensure consistency with experimental data. Through careful mathematical analysis and experimental verification, Maxwell arrived at the final form of the equations, now known as Maxwell's equations.
4. What are the implications of Maxwell's equations in the study of light?
Ans. Maxwell's equations have significant implications in the study of light. By solving these equations, Maxwell was able to show that light is an electromagnetic wave. The equations describe how electric and magnetic fields oscillate and propagate through space, creating electromagnetic waves. This discovery revolutionized our understanding of light and provided a unified explanation for various phenomena, such as reflection, refraction, diffraction, and interference. Maxwell's equations also paved the way for the development of optics and the understanding of the electromagnetic spectrum.
5. How do Maxwell's equations relate to modern technologies?
Ans. Maxwell's equations form the foundation of modern technologies that rely on the principles of electromagnetism. These equations are used in the design and operation of various devices, including antennas, electric motors, generators, transformers, and communication systems. Technologies such as radio, television, mobile phones, and wireless networks are all based on the principles described by Maxwell's equations. By understanding and applying these equations, engineers and scientists can develop innovative solutions for communication, power generation, and other technological advancements.
Related Searches

Summary

,

Exam

,

pdf

,

Objective type Questions

,

study material

,

Extra Questions

,

Sample Paper

,

shortcuts and tricks

,

ppt

,

Semester Notes

,

MCQs

,

Maxwell's Equations | Electricity & Magnetism - Physics

,

Maxwell's Equations | Electricity & Magnetism - Physics

,

Previous Year Questions with Solutions

,

Free

,

mock tests for examination

,

Viva Questions

,

Important questions

,

practice quizzes

,

Maxwell's Equations | Electricity & Magnetism - Physics

,

past year papers

,

video lectures

;