Class 9 Exam  >  Class 9 Notes  >  Mathematics (Maths) Class 9  >  NCERT Exemplar Solutions: Polynomials

NCERT Exemplar Solutions: Polynomials | Mathematics (Maths) Class 9 PDF Download

Exercise 2.1

Write the correct answer in each of the following:
Q.1. Which one of the following is a polynomial?
(a) NCERT Exemplar Solutions: Polynomials | Mathematics (Maths) Class 9
(b) NCERT Exemplar Solutions: Polynomials | Mathematics (Maths) Class 9
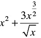
(c) NCERT Exemplar Solutions: Polynomials | Mathematics (Maths) Class 9
(d) NCERT Exemplar Solutions: Polynomials | Mathematics (Maths) Class 9

Correct Answer is option (c)

The power of x must be a non-negative integer in a polynomial.
Hence, option C is correct.
As we can write option c as

NCERT Exemplar Solutions: Polynomials | Mathematics (Maths) Class 9


Q.2. √2 is a polynomial of degree
(a)  2
(b) 0
(c) 1
(d) 1/2

Correct Answer is option (b)

We can write it as 2  = 2  × x0
Thus, degree is 0.


Q.3. Degree of the polynomial 4x+ 0x3 + 0x5 + 5x + 7 is
(a) 4
(b) 5
(c) 3
(d) 7

Correct Answer is option (a)
Degree of the polynomial 4x+ 0x3 + 0x5 + 5x + 7 is 4
We know that, the degree of given polynomial 4x+ 0 x x3 + 0 x x5 + 5x + 7 will be the highest power of variable that is 4.


Q.4. Degree of the zero polynomial is
(a) 0
(b) 1
(c) Any natural number
(d) Not defined

Correct Answer is option (d)
The degree of a polynomial is the highest degree of its monomials (individual terms) with non-zero coefficients. The degree of a term is the sum of the exponents of the variables that appear in it, and thus is a non-negative integer.

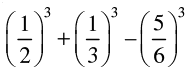
Degree of zero polynomial is thus not-defined.


Q.5. If p (x ) = x2 –2√2 x+ 1 , then p(2√2) is equal to
(a) 0
(b) 1
(c) 4
2
(d) NCERT Exemplar Solutions: Polynomials | Mathematics (Maths) Class 9

Correct Answer is option (b)
p(x) = x2 −2√2 x + 1
p(2√2 ) = (2√2)2 − 2√2 × 2√2 +1
p(2√2) = 8 − 8 + 1
p(2√2) = 1
Hence, option B.


Q.6. The value of the polynomial 5x – 4x2 + 3, when x = –1 is
(a) - 6
(b) 6
(c) 2
(d) - 2

Correct Answer is option (a)
Given that: a polynomial as
P(x) = 5x − 4x2 + 3
To find value of polynomial at x = −1 or P(−1)
So we put x = −1 in polynomial,
P(−1) = 5 × (−1) − 4 × (−1)2 + 3
P(−1) = − 5 − 4 + 3
P(−1) = − 6
So value of polynomial at x = − 1 is − 6.


Q.7. If p(x) = x + 3, then p(x) + p(–x) is equal to
(a) 3
(b) 2x
(c) 0
(d) 6

Correct Answer is option (d)
Given, p(x) = x + 3
Therefore, p(−x) = −x + 3
Now, p(x) + p(−x) = (x+3) + (−x+3) = 6
Option D is correct.


Q.8. Zero of the zero polynomial is
(a) 0
(b) 1
(c) Any real number
(d) Not defined

Correct Answer is option (c)
Zero of the polynomial is any real number .

e.g., Let us consider zero polynomial be 0(x-k), where k is a real number for determining the zero 

Put x − k = 0 ⇒ x = k

Hence, zero of the zero polynomial be any real number.


Q.9. Zero of the polynomial p(x) = 2x + 5 is
(a) -(2/5)
(b) -(5/2)
(c) 2/5
(d) 5/2

Correct Answer is option (b)
Zero of a polynomial is the value of the variable for which the polynomial becomes 0.
Now, p(x) = 2x + 5.
For, p(x) = 0,
2x + 5 = 0.
or,  x = −5/2.
Therefore, option B is correct.


Q.10. One of the zeroes of the polynomial 2x2 + 7x –4 is
(a) 2
(b) 1/2

(c) -(1/2)
(d) –2

Correct Answer is option (b)
To find the zero of 2x 2 +7x−4 is same as solving the equation 2x2 + 7x − 4 = 0
⇒ 2x2 + 8x − x − 4 = 0
⇒ 2x(x+4) − 1(x+4) = 0
⇒ (2x−1)(x+4) = 0
⇒ (2x−1) = 0, (x + 4) = 0
⇒ x = 1/2 , −4
Therefore, option B is correct.


Q.11. If x51 + 51 is divided by x + 1, the remainder is
(a) 0
(b) 1
(c) 49
(d) 50

Correct Answer is option (d)
By remainder theorem,

Remainder =p(−1), since the divisor is x+1 

p(x) = x 51 + 51
p(−1) = (−1)51 + 51 = −1 + 51
Hence, the remainder is 50


Q.12. If x + 1 is a factor of the polynomial 2x2 + kx, then the value of k is
(a) –3
(b) 4
(c) 2
(d) –2

Correct Answer is option (c)
(x + 1) is a factor of p (x)
x + 1 = 0
⇒ x = − 1
Therefore, p (− 1) = 0
∴ 2 (− 1)2 + k(− 1) = 0
⇒ 2 − k = 0 ⇒ k = 2
Hence, the value of k is 2.


Q.13. x + 1 is a factor of the polynomial
(a) x3 + x– x + 1
(b) x3 + x2 + x + 1
(c) x4 + x3 + x2 + 1
(d) x4 + 3 x3 + 3x2 + x + 1

Correct Answer is option (b)

We know that if x + a is a factor of f(x) then, f(-a) = 0.
Let f(x) = x3 + x2 + x + 1
Now, f(-1) = (-1)3 + (-1)2 + (-1) + 1
= -1 + 1 - 1 + 1
= 0 = 0
So, f(x) is a factor of x + 1.


Q.14. One of the factors of (25x2 – 1) + (1 + 5x)2 is
(a) 5 + x
(b) 5 – x
(c) 5x – 1
(d) 10x

Correct Answer is option (d)
(25x2 – 1) + (1 + 5x)2
= 25x2 − 1 + 1 + 25x2 + 10 x [Using identity, (a + b)2 = a2 + b2 + 2ab]
= 50x2 + 10 x = 10 x (5x + 1)
Hence, one of the factor of given polynomial is 10x.


Q.15. The value of 2492 – 2482 is
(a) 12
(b) 477
(c) 487
(d) 497

Correct Answer is option (d)

We know, a2 −b2 = (a + b) (a − b)
So, 2492 −2482 = (249 + 248) (249 − 248) = 497(1) = 497


Q.16. The factorisation of 4x2 + 8x + 3 is
(a) (x + 1) (x + 3)
(b) (2x + 1) (2x + 3)
(c) (2x + 2) (2x + 5)
(d) (2x –1) (2x –3)

Correct Answer is option (b)

4x2 + 8x + 3
⇒ 4x2 + 6x + 2x + 3
⇒ 2x(2x+3) + 1(2x+3)
⇒ (2x+3) (2x+1)


Q.17. Which of the following is a factor of (x + y)3 – (x3 + y3)?
(a)  x2 + y2 + 2 xy
(b) x2 + y2 – xy
(c) xy2

(d) 3xy

Correct Answer is option (d)

(x + y)3 −(x+ y3)
= x+ y3 + 3xy(x+y) − x3 − y3
= 3xy(x+y)
Hence, 3xy and (x+y) are the factors of the equation


Q.18. The coefficient of x in the expansion of (x + 3)3 is
(a) 1
(b) 9
(c) 18
(d) 27

Correct Answer is option (d)
Now, (x + 3)3 = x3 + 33 + 3x (3)(x + 3)
[using identity, (a + b)3 = a+ b3+ 3ab (a + b)]
= x3 + 27 + 9x (x + 3)
= x3 + 27 + 9x2 + 27x
Hence, the coefficient of x in (x + 3)3 is 27.


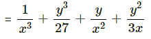
Q.19. If NCERT Exemplar Solutions: Polynomials | Mathematics (Maths) Class 9(x, y ≠ 0) , the value of x3 – y3 is
(a) 1
(b) –1
(c) 0
(d) 1/2

Correct Answer is option (c)

Consider the equation: NCERT Exemplar Solutions: Polynomials | Mathematics (Maths) Class 9 
Simplify the above expression as follows: NCERT Exemplar Solutions: Polynomials | Mathematics (Maths) Class 9
x2 + y2 = -xy
Now, x3 - y3 = (x-y) (x2+y+ xy)
= (x-y)(-xy + xy) ...... [Substitute: x2 + y2 = –xy]
= (x-y) × 0
= 0

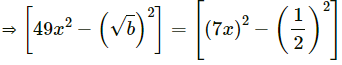
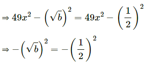
Q.20. If 49x2 – b = NCERT Exemplar Solutions: Polynomials | Mathematics (Maths) Class 9then the value of b is
(a) 0
(b) 1/√2
(c) 1/4
(d) 1/2

Correct Answer is option (c)

Given (49x2 – b) = NCERT Exemplar Solutions: Polynomials | Mathematics (Maths) Class 9
NCERT Exemplar Solutions: Polynomials | Mathematics (Maths) Class 9......[Using identity, (a + b)(a – b) = a2 – b2]
NCERT Exemplar Solutions: Polynomials | Mathematics (Maths) Class 9

⇒ (√b)2 = (1/2)2 ...... [Multiplying both sides by –1]
∴ b = 1/4

Q.21. If α + b + c = 0, then α3 + b3 + c3 is equal to
(a) 0
(b) αbc
(c) 3αbc
(d) 2αbc

Correct Answer is option (c)

Since, α3 + b3 + c3 −3αbc = (a + b + c)(a2 + b2 + c2 −bc − ca − ab)
Given, a + b + c = 0
∴ a3 + b3 + c3 − 3abc = 0
∴ a3 + b3 + c3 = 3abc
Option b is correct.

Exercise 2.2

Q.1. Which of the following expressions are polynomials? Justify your answer: 
(i) 8

Polynomial. Because, the exponent of the variable of 8 or 8x0 is 0 which is a whole number.

(ii) NCERT Exemplar Solutions: Polynomials | Mathematics (Maths) Class 9

Polynomial. Because, the exponent of the variable of NCERT Exemplar Solutions: Polynomials | Mathematics (Maths) Class 9 is a whole number.

(iii) 1 - √5x

Not a polynomial. Because, the exponent of the variable of 1 − √5x or 1 − √5x1/2  is 1/2 which is not a whole number.

(iv) NCERT Exemplar Solutions: Polynomials | Mathematics (Maths) Class 9

Polynomial. Because, the exponents of the variable of NCERT Exemplar Solutions: Polynomials | Mathematics (Maths) Class 9= 1/5x2 + 5x + 7 are whole numbers.

(v) NCERT Exemplar Solutions: Polynomials | Mathematics (Maths) Class 9

Not a polynomial. Because, the exponent of the variable ofNCERT Exemplar Solutions: Polynomials | Mathematics (Maths) Class 9 = x − 6 + 8x−1 is -1, which is not a whole number.

(vi) 1/x+1

Not a polynomial as the polynomial is expressed as a0 + a1x + a2xn , where a0 , a1 , a2 ⋯ , an are constants. Now, the given function is in the form f(x) = p(x)/q(x) is a rational expression but not a polynomial.

(vii) NCERT Exemplar Solutions: Polynomials | Mathematics (Maths) Class 9

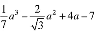
Polynomial. Because, the exponents of the variable of NCERT Exemplar Solutions: Polynomials | Mathematics (Maths) Class 9+ 4 a − 7 are whole numbers.

(viii) 1/2x

Not a polynomial. Because, the exponent of the variable of 1/2x or 1/2x-1 is -1, which is not a whole number.


Q.2. Write whether the following statements are True or False. Justify your answer. 
(i) A binomial can have at most two terms

False
because a binomial has exactly two terms. 

(ii) Every polynomial is a binomial

False
x3 + x + 1 is a polynomial but not a binomial.

(iii) A binomial may have degree 5

True
because a binomial is a polynomial whose degree is a whole number ≥ 1, so, degree can be 5 also.

(iv) Zero of a polynomial is always 0

False

because zero of a polynomial can be any real number.

(v) A polynomial cannot have more than one zero

False
A polynomial can have any number of zeroes. It depends upon the degree of the polynomial.

(vi) The degree of the sum of two polynomials each of degree 5 is always 5.

False
x5 + 1 and – x5 + 2 x + 3 are two polynomials of degree 5 but the degree of the sum of the two polynomials is 1.

Exercise 2.3

Q.1. Classify the following polynomials as polynomials in one variable, two variables etc. 
(i) x2 + x + 1 

Here, the polynomial contains only one variable, i.e., x. Hence, the given polynomial is a polynomial in one variable.

(ii) y3 – 5 y 

Here, the polynomial contains only one variable, i.e., y. Hence, the given polynomial is a polynomial in one variable.

(iii) xy + yz + zx 

Here, the polynomial contains three variables, i.e., x, y and z. Hence, the given polynomial is a polynomial in three variable.

(iv) x2 – 2 xy + y2 + 1

Here, the polynomial contains two variables, i.e., x and y. Hence, the given polynomial is a polynomial in two variable.


Q.2. Determine the degree of each of the following polynomials: 
(i) 2x – 1

Degree of a polynomial in one variable = highest power of the variable in algebraic expression
Highest power of the variable x in the given expression = 1 Hence, degree of the polynomial 2x – 1 = 1

(ii) –10

There is no variable in the given term.
Let us assume that the variable in the given expression is x.
– 10 = –10x0
Power of x = 0
Highest power of the variable x in the given expression = 0 Hence, degree of the polynomial – 10 = 0

(iii) x3 – 9 x + 3 x5

Powers of x = 3, 1 and 5 respectively.
Highest power of the variable x in the given expression = 5 Hence, degree of the polynomial x3 – 9x + 3x5 = 5

(iv) y3 (1 – y4)

The equation can be written as, y3(1 – y4) = y3 – y7
Powers of y = 3 and 7 respectively.
Highest power of the variable y in the given expression = 7 Hence, degree of the polynomial y3(1 – y4) = 7


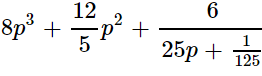
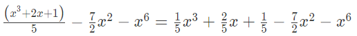
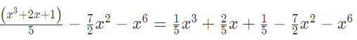
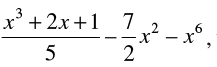
Q.3. For the polynomial
NCERT Exemplar Solutions: Polynomials | Mathematics (Maths) Class 9write
(i) the degree of the polynomial 

Powers of x = 3, 1, 2 and 6 respectively.

Highest power of the variable x in the given expression = 6 Hence, degree of the polynomial = 6

(ii) the coefficient of x3 

The given equation can be written as,
NCERT Exemplar Solutions: Polynomials | Mathematics (Maths) Class 9
Hence, the coefficient of x3 in the given polynomial is 1/5.

(iii) the coefficient of x

The coefficient of x6 in the given a polynomial is – 1

(iv) the constant term

Since the given equation can be written as,
NCERT Exemplar Solutions: Polynomials | Mathematics (Maths) Class 9
The constant term in the given polynomial is 1/5 as it has no variable x associated with it.


Q.4. Write the coefficient of x2 in each of the following :

(i) (π/6)x + x2 – 1

(π/6) x + x2−1 = (π/6) x + (1) x2−1
The coefficient of x2 in the polynomial (π/6) x + x2−1 = 1.

(ii) 3x – 5

3x – 5 = 0x2 + 3x – 5
The coefficient of x2 in the polynomial 3x – 5 = 0, zero.

(iii) (x –1) (3x – 4)

(x – 1)(3x – 4) = 3x2 – 4x – 3x + 4
= 3x2 – 7x + 4
The coefficient of x2 in the polynomial 3x2 – 7x + 4 = 3.

(iv) (2x – 5) (2x2 – 3x + 1)

(2x – 5) (2x– 3x + 1)
= 4x3 – 6x2 + 2x – 10x2 + 15x– 5
= 4x3 – 16x2 + 17x – 5
The coefficient of x2 in the polynomial (2x – 5) (2x2 – 3x + 1) = – 16


Q.5. Classify the following as a constant, linear, quadratic and cubic polynomials:
(i) 2 – x2 + x3

Powers of x = 2, and 3 respectively.
Highest power of the variable x in the given expression = 3 Hence, degree of the polynomial = 3
Since it is a polynomial of the degree 3, it is a cubic polynomial.

(ii) 3x3

Power of x = 3.
Highest power of the variable x in the given expression = 3
Hence, the degree of the polynomial = 3
Since it is a polynomial of the degree 3, it is a cubic polynomial.

(iii) 5t – √7

Power of t = 1.
Highest power of the variable t in the given expression = 1 Hence, degree of the polynomial = 1
Since it is a polynomial of the degree 1, it is a linear polynomial.

(iv) 4 – 5y2

Power of y = 2.
Highest power of the variable y in the given expression = 2 Hence, degree of the polynomial = 2
Since it is a polynomial of the degree 2, it is a quadratic polynomial.

(v) 3

There is no variable in the given expression.
Let us assume that x is the variable in the given expression. 3 can be written as 3x0.
i.e., 3 = x0 Power of x = 0.
Highest power of the variable x in the given expression = 0 Hence, degree of the polynomial = 0
Since it is a polynomial of the degree 0, it is a constant polynomial.

(vi) 2 + x

Power of x = 1.
Highest power of the variable x in the given expression = 1 Hence, degree of the polynomial = 1
Since it is a polynomial of the degree 1, it is a linear polynomial.

(vii) y3 – y

Powers of y = 3 and 1, respectively.
Highest power of the variable x in the given expression = 3 Hence, degree of the polynomial = 3
Since it is a polynomial of the degree 3, it is a cubic polynomial.

(viii) 1 + x + x2

Powers of x = 1 and 2, respectively.
Highest power of the variable x in the given expression = 2 Hence, degree of the polynomial = 2
Since it is a polynomial of the degree 2, it is a quadratic polynomial.

(ix) t2

Power of t = 2.
Highest power of the variable t in the given expression = 2
Hence, the degree of the polynomial = 2
Since it is a polynomial of the degree 2, it is a quadratic polynomial.

(x) √2x – 1

Power of x = 1.
Highest power of the variable x in the given expression = 1 Hence, degree of the polynomial = 1
Since it is a polynomial of the degree 1, it is a linear polynomial.


Q.6. Give an example of a polynomial, which is:
(i) monomial of degree 1

Monomial = an algebraic expression that contains one term
An example of a polynomial, which is a monomial of degree 1 = 2t

(ii) binomial of degree 20

Binomial = an algebraic expression that contains two terms
An example of a polynomial, which is a binomial of degree 20 = x20 + 5

(iii) trinomial of degree 2

Trinomial = an algebraic expression that contains three terms
An example of a polynomial, which is a trinomial of degree 2 = y2 + 3y + 11


Q.7. Find the value of the polynomial 3x3 – 4x2 + 7 x – 5, when x = 3 and also when x = –3.

Given that,

p(x) = 3𝑥3 – 4𝑥2 + 7𝑥 – 5 According to the question, When x = 3,
p(x) = p(3)
p(x) = 3𝑥3 – 4𝑥2 + 7𝑥 – 5 Substituting x = 3,
p(3)= 3(3)3 – 4(3)2 + 7(3) – 5
p(3) = 3(3)3 – 4(3)2 + 7(3) – 5
= 3(27) – 4(9) + 21 – 5
= 81 – 36 + 21 – 5
= 102 – 41
= 61
When x = – 3, p(x) = p(– 3)
p(x) = 3𝑥3 – 4𝑥2 + 7𝑥 – 5 Substituting x = – 3,
p(– 3)= 3(– 3)3 – 4(– 3)2 + 7(– 3) – 5
p(– 3) = 3(–3)3 – 4(–3)2 + 7(–3) – 5
= 3(–27) – 4(9) – 21 – 5
= –81 – 36 – 21 – 5 = –143


Q.8. If p(x) = x– 4 x + 3, evaluate : p(2) – p(–1) + p(1/2)

Given that,
p(𝑥) = 𝑥2 – 4𝑥 + 3
According to the question, When x = 2,
p(x) = p(2)
p(𝑥) = 𝑥2 – 4𝑥 + 3
Substituting x = 2,
p(2) = (2)2 – 4(2) + 3
= 4 – 8 + 3
= – 4 + 3
= – 1
When x = – 1, p(x) = p(– 1) p(𝑥) = 𝑥2 – 4𝑥 + 3
Substituting x = – 1,
p(– 1) = (– 1)2 – 4(– 1) + 3
= 1 + 4 + 3
= 8
When x = 1/2 , p(x) = p(1/2)
p(𝑥) = 𝑥2 – 4𝑥 + 3
Substituting x = 1/2,
p(1/2) = (1/2)2 – 4(1/2) + 3
= 1/4 – 2 + 3
= 1/4 + 1
= 5/4
Now,
p(2)− p(−1) + p(1/2) = – 1 – 8 + (5/4)
= – 9 + (5/4)
= ( – 36 + 5)/4
= – 31/4


Q.9. Find p(0), p(1), p(–2) for the following polynomials:
(i) p(x) = 10x – 4 x2 – 3

According to the question, p(x) = 10𝑥−4𝑥2 –3
When x = 0, p(x) = p(0)
Substituting x = 0,
p(0) = 10(0)−4(0)2 –3
= 0 – 0 – 3
= – 3
When x = 1, p(x) = p(1)
Substituting x = 1,
p(1) = 10(1) − 4(1)2 –3
= 10 – 4 – 3
= 6 – 3
= 3
When x = – 2, p(x) = p(– 2)
Substituting x = – 2,
p(– 2) = 10(– 2) − 4(– 2)2 –3
= – 20 – 16 – 3
= – 36 – 3
= – 39

(ii) p(y) = (y + 2) (y – 2)

According to the question, p(𝑦) = (y + 2) (y – 2)
When y = 0, p(y) = p(0)
Substituting y = 0, p(0) = (0 + 2) (0 – 2)
= (2)(– 2)
= – 4
When y = 1, p(y) = p(1)
Substituting y = 1, p(1)=(1 + 2) (1 – 2)
=(3) (– 1)
= – 3
When y = – 2, p(y) = p(– 2)
Substituting y = – 2,
p(– 2) =(– 2 + 2) (– 2 – 2)
= (0) (– 4)
= 0


Q.10. Verify whether the following are true or false:
(i) –3 is a zero of x – 3

False
Zero of x – 3 is given by, x – 3 = 0
⇒ x=3

(ii) – 1/3 is a zero of 3x + 1

True
Zero of 3x + 1 is given by, 3x + 1 = 0
⇒ 3x = – 1
⇒ x = – 1/3

(iii) – 4/5 is a zero of 4 –5y

False
Zero of 4 – 5y is given by, 4 – 5y =0
⇒ – 5y = – 4
⇒ y = 4/5

(iv) 0 and 2 are the zeroes of t2 – 2t

True
Zeros of t2 – 2t is given by, t2 – 2t = t(t – 2) = 0
⇒ t = 0 or 2

(v) –3 is a zero of y2 + y – 6

Zero of y2 + y – 6 is given by, y2 + y – 6 = 0
⇒ y2 + 3x – 2x – 6 = 0
⇒ y(y + 3) – 2(x + 3) = 0
⇒ (y – 2) (y + 3) = 0
⇒ y = 2 or – 3

Q.11. Find the zeroes of the polynomial in each of the following :
(i) p(x) = x – 4 

Zero of the polynomial p(x) ⇒ p(x) = 0
P(x) = 0
⇒ x – 4 = 0
⇒ x = 4
Therefore, the zero of the polynomial is 4.

(ii) g(x) = 3 – 6x 

Zero of the polynomial g(x) ⇒ g(x) = 0 g(x) = 0
⇒3 – 6x = 0
⇒ x = 3/6 =1/2
Therefore, the zero of the polynomial is 1/2

(iii) q(x) = 2x –7

Zero of the polynomial q(x) ⇒ q(x) = 0 q(x) = 0
⇒2x – 7 = 0
⇒ x = 7/2
Therefore, the zero of the polynomial is 7/2

(iv) h(y) = 2y

Zero of the polynomial h(y) ⇒ h(y) = 0 h(y) = 0
⇒ 2y = 0
⇒ y = 0
Therefore, the zero of the polynomial is 0


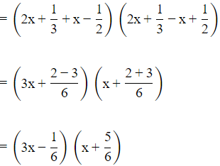
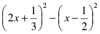
Q.12. Find the zeroes of the polynomial : p(x) = (x – 2)2 – ( x + 2)2

We know that,
Zero of the polynomial p(x) = 0
Hence, we get,
⇒ (x–2)− (x + 2)2 = 0
Expanding using the identity, a2 – b2 = (a – b) (a + b)
⇒ (x – 2 + x + 2) (x – 2 –x – 2) = 0
⇒ 2x ( – 4) = 0
⇒ – 8 x = 0
Therefore, the zero of the polynomial = 0


Q.13. By actual division, find the quotient and the remainder when the first polynomial is divided by the second polynomial : x4 + 1; x –1

Performing the long division method, we get,
Hence, from the above long division method, we get, Quotient = x3 + x2 + x + 1
Remainder = 2.


Q.14. By Remainder Theorem find the remainder, when p(x) is divided by g(x), where
(i) p(x) = x3 – 2x2 – 4 x – 1, g(x) = x + 1

Let g(x) = x + 1
x + 1 = 0
x = –1
p(x) = x3 – 2x2 – 4x – 1
p(–1) = (–1)3 – 2(– 1)2 – 4(–1) – 1
= –1 – 2 × 1 + 4 – 1
= – 4 – 4 = 0
∴ Remainder = 0.

(ii) p(x) = x3 – 3x2 + 4 x + 50, g(x) = x – 3

p(x) = x3 – 3x2 + 4x + 50, g(x) = x – 3
Let g(x) = x – 3
x – 3 = 0
x = 3
p(3) = 33 – 3(32) + 4(3) + 50
= 27 – 27 + 12 + 50
= 62
∴ Remainder = 62.

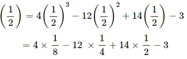
(iii) p(x) = 4x3 – 12x2 + 14x – 3, g (x) = 2x – 1

Let us denote the given polynomials as
p(x) = 4x- 12x3 - 12x2 + 14x - 3,
g(x) = 2x - 1
⇒ g(x) = NCERT Exemplar Solutions: Polynomials | Mathematics (Maths) Class 9
We have to find the remainder when f(x) is divided by g(x).
By the remainder theorem, when f(x) is divided by g(x) the remainder is
NCERT Exemplar Solutions: Polynomials | Mathematics (Maths) Class 9
= 1/2 - 3 + 7 - 3
= 3/2
Now we will calculate the remainder by actual division
NCERT Exemplar Solutions: Polynomials | Mathematics (Maths) Class 9
So the remainder by actual division is 3/2 .

(iv) p(x) = x3 – 6x+ 2x – 4, g(x) = 1 – 3/2 x

Given, p(x) = x– 6x2 + 2x – 4 and g(x) = 1 - 3/2x
Here, zero of g(x) is 2/3.
When we divide p(x) by g(x) using remainder theorem, we get the remainder p (2/3).
NCERT Exemplar Solutions: Polynomials | Mathematics (Maths) Class 9
Hence, remainder is -136/27

Q.15. Check whether p(x) is a multiple of g(x) or not:
(i) p(x) = x3 – 5x2 + 4 x – 3, g(x) = x – 2

According to the question, g(x) = x – 2,
Then, zero of g(x), g(x) = 0
x – 2 = 0
x = 2
Therefore, zero of g(x) = 2
So, substituting the value of x in p(x), we get, p(2) =(2)3 – 5(2)2 + 4(2) – 3
= 8 – 20 + 8 – 3
= – 7 ≠ 0
Hence, p(x) is not the multiple of g(x) since the remainder ≠ 0.

(ii) p(x) = 2x3 – 11x2 – 4 x + 5,    g (x) = 2x + 1

According to the question, g(x)= 2𝑥 + 1
Then, zero of g(x), g(x) = 0
2x + 1 = 0
2x = – 1
x = –1/2
Therefore, zero of g(x) = – 1/2
So, substituting the value of x in p(x), we get,
p(–1/2) = 2 × ( – 1/2 )3 – 11 × ( – 1/2 )2 – 4 × ( – 1/2) + 5
= – 1/4 - 11/4 + 7
= 16/4
= 4 ≠ 0
Hence, p(x) is not the multiple of g(x) since the remainder ≠ 0.


Q.16. Show that: (i) x + 3 is a factor of 69 + 11x – x2 + x3.

According to the question,
Let p(x) = 69 + 11x − x2 + x3 and
g(x) = x + 3 g(x) = x + 3
zero of g(x) ⇒ g(x) = 0 x + 3 = 0
x = – 3
Therefore, zero of g(x) = – 3
So, substituting the value of x in p(x),
we get, p( – 3) = 69 + 11(– 3) –(–3)2 + (– 3)3
= 69 – 69
= 0
Since, the remainder = zero, We can say that,
g(x) = x + 3 is factor of p(x) = 69 + 11x − x2 + x3

(ii) 2x – 3 is a factor of x + 2x– 9x2 + 12.

Let p(x) = 2x3 - 9x2 + x + 12
We have to show that, 2x - 3 is a factor of p(x).
NCERT Exemplar Solutions: Polynomials | Mathematics (Maths) Class 9
= (81 – 81)/4
= 0
Hence, (2x – 3) is a factor of p(x).


Q.17. Determine which of the following polynomials has x – 2 a factor:
(i) 3x2 + 6x – 24

According to the question,
Let p(x) = 3𝑥2 + 6𝑥 − 24 and g(x) = x – 2 g(x) = x – 2
zero of g(x) ⇒ g(x) = 0 x – 2 = 0
x = 2
Therefore, zero of g(x) = 2
So, substituting the value of x in p(x), we get, p(2) = 3(2)2 + 6 (2) – 24
= 12 + 12 – 24
= 0
Since, the remainder = zero, We can say that,
g(x) = x – 2 is factor of p(x) = 3𝑥2 + 6𝑥 − 24

(ii) 4x2 + x – 2

According to the question,
Let p(x) = 4𝑥2 + 𝑥 − 2 and g(x) = x – 2 g(x) = x – 2
zero of g(x) ⇒ g(x) = 0 x – 2 = 0
x = 2
Therefore, zero of g(x) = 2
So, substituting the value of x in p(x), we get, p(2) = 4(2)+ 2−2
= 16 ≠ 0
Since, the remainder = zero, We can say that,
g(x) = x – 2 is factor of p(x) = 4𝑥2 + 𝑥 − 2


Q.18. Show that p – 1 is a factor of p10 – 1 and also of p11 – 1.

Let f(p) = p10 – 1 and g(p) = p11 – 1
Putting p = 1 in f(p), we get
f(1) = 110 − 1 = 1 − 1 = 0
Therefore, by factor theorem, (p – 1) is a factor of (p10 – 1)
Now, putting p = 1 in g(p), we get
g(1) = 111 − 1 = 1 − 1 = 0
Therefore, by factor theorem, (p – 1) is a factor of (p11 – 1)


Q.19. For what value of m is x3 – 2mx2 + 16 divisible by x + 2 ?

According to the question,
Let p(x) = x3 – 2mx2 + 16, and g(x) = x + 2 g(x) = 0
⟹ x + 2 = 0
⟹ x = – 2
Therefore, zero of g(x) = – 2 We know that,
According to factor theorem,
if p(x) is divisible by g(x), then the remainder p(−2) should be zero. So, substituting the value of x in p(x), we get,
p( – 2) = 0
⟹ ( – 2)3 – 2m( – 2)2 + 16 = 0
⟹ 0 – 8 – 8m + 16 = 0
⟹ 8m = 8
⟹ m = 1


Q.20. If x + 2α is a factor of x5 – 4 α2x3 + 2 x + 2α + 3, find α.

According to the question,
Let p(x) = x5 – 4a2x3 + 2x + 2a + 3 and g(x) = x + 2a g(x) = 0
⟹ x + 2a = 0
⟹ x = – 2a
Therefore, zero of g(x) = – 2a We know that,
According to the factor theorem,
If g(x) is a factor of p(x), then p( – 2a) = 0 So, substituting the value of x in p(x), we get,
p ( – 2a) = (– 2a)5 – 4a2(– 2a)3 + 2(– 2a) + 2a + 3 = 0
⟹ – 32a5 + 32a5 – 2a + 3 = 0
⟹ – 2a = – 3
⟹ a = 3/2


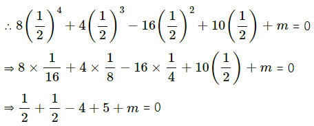
Q.21. Find the value of m so that 2x – 1 be a factor of 8x4 + 4x3 – 16x2 + 10x + m.

Let p(x) = 8x4 + 4x3 – 16x2 + 10x + m
Since, 2x - 1 is a factor of p(x), then put p(1/2) = 0
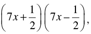
NCERT Exemplar Solutions: Polynomials | Mathematics (Maths) Class 9
⇒ 1 + 1 + m = 0
∴ m = – 2
Hence, the value of m is – 2.


Q.22. If x + 1 is a factor of ax3 + x2 – 2 x + 4 a – 9, find the value of a.

Let p(x) = ax3 + x2 – 2x + 4a – 9
Since, x + 1 is a factor of p(x), then put p(– 1) = 0
∴ a(-1)3 + (-1)2 - 2(-1) + 4a - 9 = 0
⇒ -a + 1 + 2 + 4a - 9 = 0
⇒ 3a - 6 = 0
⇒ 3a = 6
⇒ a = 6/3 = 2
Hence, the value of a is 2.


Q.23. Factorise:

(i) x2 + 9 x + 18

x2 + 9x + 18 = x2 + 3x + 6x + 18
= x(x + 3) + 6(x + 3)
= (x + 3)(x + 6)

(ii) 6x2 + 7 x – 3

6x2 + 7x − 3 = 6x2 + 9x − 2x − 3
= 3x(2x + 3) − 1(2x+3)
= (3x − 1)(2x + 3)

(iii) 2x2 – 7 x – 15

2x− 7x − 15 = 2x− 10x + 3x − 15
= 2x(x − 5) + 3(x − 5)
= (x − 5)(2x + 3)

(iv) 84 – 2r – 2 r2

84 − 2r − 2r= −(2r2 + 2r − 84)
= −(2r2 + 14r + 12r − 84)
= −(2r(r + 7) − 12(r + 7))
= −(r + 7)(2r − 12)


Q.24. Factorise: 

(i) 2x3 – 3x2 – 17x + 30

2x3 − 3x2 − 17x + 30
= 2x3 + 2x2 − 12x − 5x2 − 5x + 30
= 2x(x2 + x − 6) − 5(x2 + x - 6)
= (x2 + x−6)(2x − 5)
= (x2 + 3x − 2x − 6)(2x − 5)
= [x(x + 3) − 2(x + 3)](2x − 5)
= (x + 3)(x − 2)(2x − 5)

(ii) x3 – 6x2 + 11x – 6

Let p(x) = x3 - 6x2 + 11x - 6
By trial, we find that
p(1) = (1)3 - 6(1)+ 11(1) - 6 = 0
∴ By converse of factor theorem, (x - 1) is a factor of p(x).
Now, x3 - 6x2 + 11x - 6
= x2 (x - 1)- 5x (x - 1) + 6 (x - 1)
= (x - 1) (x2 - 5x + 6)
= (x - 1) {x2 - 2x - 3x + 6}
= (x - 1) {x(x - 2)-3 (x - 2)}
= (x - 1)(x - 2)(x - 3)

(iii) x3 + x2 – 4x – 4

Let x + 1 = 0
∴ x = -1
On substituting value of x in the expression
∴ f(-1) = (-1)3 + (-1)2 - 4(-1) -4 = 0
Clearly x + 1 is a factor of
f(x) = x3 + x2 - 4x - 4
∴ f(x) = (x + 1) (x2 - 4) ...(By actual division)
= (x + 1) (x - 2) (x + 2)

(iv) 3x3 – x2 – 3x + 1

Let f(x) = 3x3 - x- 3x + 1 be the given polynomial.
Now, putting  x = 1, we get
f(1) = 3(1)3 - (1)2 - 3(1) + 1
= 3 - 1 - 3 + 1 = 0
Therefore, (x-1) is a factor of polynomial f(x).
Now,
f(x) = 3x2(x-1) + 2x(x-1) - 1(x - 1)
= (x - 1){3x2 + 2x - 1}
= (x - 1){3x+ 2x - 1}
= (x - 1)(x + 1)(3x - 1)
Hence (x - 1), (x + 1) and (3x - 1 )are the factors of polynomial f(x).


Q.25. Using suitable identity, evaluate the following:
(i) 1033

= (100 + 3)3
= (100)3 + (3)3 + 3 x 100 x 3 x (100 + 3)
= 1000000 + 27 + 900 (103)
= 1000027 + 92700
= 1092727

(ii) 101 × 102

= (100 + 1) (100 + 2)
= (100) + 100(1 + 2) + 1 x 2
= 10000 + 300 + 2
= 10302

(iii) 9992

= (1000 - 1)2
= (1000)2 + (1)2 - 2 x 1000 x 1
= 1000000 + 1 - 2000
= 998001


Q.26. Factorise the following: 

(i) 4x2 + 20x + 25

4x2 + 20x + 25 = (2x)2 + 2 × 2x × 5 + (5)2
= (2x+5)2  ........[Using identity, a2 + 2ab + b2 = (a + b)2]

(ii) 9y2 – 66yz + 121z2

Using (a−b)2 = a2 + b2 −2ab
= (3y)2 + (11z)2 −2 × 3y × 11
= (3y−11z)2

(iii) NCERT Exemplar Solutions: Polynomials | Mathematics (Maths) Class 9

Using a2 − b2 = (a+b) (a−b)
NCERT Exemplar Solutions: Polynomials | Mathematics (Maths) Class 9


Q.27. Factorise the following:
(i) 9x2 – 12x + 3

⇒ 9x− 3x − 9x + 3
⇒ 3x(3x − 1) − 3(3x −1)
⇒ (3x − 3)(3x − 1)
⇒ 3(x − 1)(3x − 1)

(ii) 9x2 – 12x + 4

9x2 – 12x + 4 = (3x)2 - 2 × 3x × 2 + (2)2
= (3x-2)2   .....[Using identity, (a – b)2 = a2 – 2ab + b2]
= (3x-2) (3x-2)


Q.28. Expand the following : 
(i) (4a – b + 2 c)2 

We have,
(4a − b + 2c)2
=(4a)2 +(−b)2 +(2c)2 + 2(4a)(−b) + 2(−b)(2c) + 2(2c)(4a)
[∵ a2 + b2 + c2 + 2ab + 2bc + 2ca = (a + b + c)2]
=16a2 + b2 + 4c2 −8ab − 4ac + 16ca

(ii) (3a – 5b – c)2

(3a − 5b − c)2
= (3a)+ (−5b)+ (−c)2 + 2(3a)2 − 5b+2(−5b)(−c) + 2(−c)(3a)
[∵ a2 + b2 + c2 + 2ab + 2bc + 2ca = (a + b + c)2]
= 9a2 + 25b2 + c− 30ab + 10bc − 6ca. 

(iii) (– x + 2y – 3z)2

We know that,
(a + b + c)2 = a2 + b2 + c2 + 2ab + 2bc + 2ca
Substituting, a = x, b = 2y and c = 3z
(x + 2y + 3z)2 = x2 + (2y)2 + (3z)2 + 2(x)(2y) + 2(2y)(3z) + 2(3z)(x)
= x2 + 4y2 + 9z2 + 4xy + 12y2 + 6zx

Q.29.  Factorise the following : 

(i) 9x2 + 4 y2 + 16z2 + 12xy – 16yz – 24xz

= (3x)2 + (2y)2 + (−4z)2 + 2(3x)(2y) + 2(2y)(−4z) + 2(−4z)(3x)
= (3x + 2y−4z)2

= (3x + 2y − 4z)(3x + 2y − 4z) 

(ii) 25x2 + 16y2 + 4z2 – 40xy + 16yz – 20xz

25x2 +16y2 +4z2 −40xy + 16yz − 20xz
= (−5x)2 +(4y)2 +(2z)2 + 2(−5x)(4y) + 2(4y)(2z) + 2(−5x)(2z)
Suitable identities is (x + y + z)3 = x3 + y3 + z3 + 2xy + 2yz + 2xz
Therefore, (−5x)2 +(4y)2 +(2z)2 + 2(−5x)(4y) + 2(4y)(2z) + 2(−5x)(2z)
= (−5x + 4y + 2z)2

(iii) 16x2 + 4y2 + 9z2 – 16xy – 12yz + 24 xz

16x2 + 4y2 + 9z2 −16xy −12yz + 24xz
Using identity,(a + b + c)2 = a2 + b2 + c2 + 2ab + 2bc + 2ca
16x2 + 4y2 + 9z− 16xy − 12yz + 24xz
=(4x)2 + (−2y)2 + (3z)2 + 2(4x)(−2y) + 2(−2y)(3z) + 2(3z)(4x)
=(4x − 2y + 3z)2


Q.30. If a + b + c = 9 and ab + bc + ca = 26, find a2 + b2 + c2.

Given, a + b + c = 9 and ab + bc + ca = 26.
We know, (a + b + c)2 = a2 + b2 + c2 + 2ab + 2bc + 2ca
⇒(a + b + c)2 = a2 + b2 + c2 + 2(ab + bc + ca).
Putting the values here, we get,
(9)2 = a2 + b2 + c2 + 2(26)
⇒ 81 = a2 + b2 + c2 + 52
⇒ a2 + b2 + c2 = 81 − 52 = 29.
 Hence, option D is correct.


Q.31. Expand the following :

(i) (3a – 2b)3

= (3a)3 – (2b)3 – 3(3a)(2b) [3a – 2b]
= 27a3 – 8b3 – 18ab (3a – 2b)
= 27a3 – 8b3 – 54a2b + 36ab2
= 27a– 54a2b + 36ab2 – 8b3

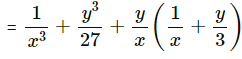
(ii) (1/x + y/3)3

NCERT Exemplar Solutions: Polynomials | Mathematics (Maths) Class 9

NCERT Exemplar Solutions: Polynomials | Mathematics (Maths) Class 9......[Using identity, (a + b)3 = a3 + b3 + 3ab(a + b)]
NCERT Exemplar Solutions: Polynomials | Mathematics (Maths) Class 9


Q.32. Factorise the following 

(i) 1 – 64a– 12a + 48a2

= (1)3 −(4a)3 − 3(1)2 (4a) + 3(1)(4a)2
Suitable identities is x3 − y- 3x2 y + 3xy2 = (x−y) 3
∴(1)3 −(4a)3 −3(1)2 (4a) + 3(1)(4a)2
= (1−4a)3

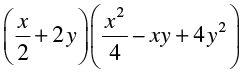
(ii) NCERT Exemplar Solutions: Polynomials | Mathematics (Maths) Class 9

NCERT Exemplar Solutions: Polynomials | Mathematics (Maths) Class 9

NCERT Exemplar Solutions: Polynomials | Mathematics (Maths) Class 9

Q.33. Find the following products :
(i) NCERT Exemplar Solutions: Polynomials | Mathematics (Maths) Class 9

NCERT Exemplar Solutions: Polynomials | Mathematics (Maths) Class 9
NCERT Exemplar Solutions: Polynomials | Mathematics (Maths) Class 9
= (x/2)3 + (2y)3 [(a + b)(a2 − ab + b2) = a3 + b3]
= x3/8 + 8y3

(ii) (x2 – 1) (x4 + x2 + 1)

Given (x2 - 1) (x+ x2 + 1)
We shall use the identity (a - b) (a2 + ab + b2) = a3 - b3
We can rearrange the (x2 - 1) (x4 + x2 + 1) as
(x2 − 1) [(x2)+ (x2) (1) + (1)2]
=(x2)3 - (1)3
=(x2) × (x2) × (x2) - (1) × (1) × (1)
= x6 - 13
= x6 - 1
Hence the Product value of (x2 - 1)(x4 + x2 + 1) is  x6 - 1.


Q.34. Factorise :
(i) 1 + 64x
3

We know, (a3 + b3) = a3 + a2b − a2b − ab2 + ab2 + b3
= (a3 + a2b) − (a2b + ab2) + (ab2 + b3)
= a2(a + b) − ab(a + b) + b2(a + b)
= (a + b)(a2 − ab + b2)
Now, given, 1 + 64x3
=13 + (4x)3
= (1 + 4x)(1 − 4x(1) + (4x2))
= (1 + 4x)(1 − 4x + 16x2)

(ii) a3 –2√2b3

 (a3 - b3) = a3 - a2b + a2b − ab2 + ab2 - b3 

= (a3 - a2b) + (a2b - ab2) + (ab2 - b3)
= a2(a - b) + ab(a - b) + b2(a - b)
= (a - b)(a2 + ab + b2)
Now, given a3 − 2√2b3
=(a − √2b)(a2 + a(√2b) + (√2b)2)
= (a − √2b)(a2 + √2ab + 2b2)


Q.35. Find the following product: (2x – y + 3z) (4x2 + y2 + 9z2 + 2xy + 3yz – 6xz)

= (2x − y + 3z)(4x2 + y2 + 9z2 + 2xy + 3yz − 6xz)
= (a + b + c)(a2 + b2 + c2 - ab − bc − ac)
= a3 + b3 + c3−3abc
= (2x)3 + (−y)3 + (3z)3 − 3.(2x)(−y)(3z)
= 8x3 − y3 + 27z3 + 18xyz

Q.36. Factorise :

(i) a3 – 8b3 – 64c3 – 24abc

Here the given expression can be written as,
a3 − 8b3 − 64c3 −24abc = (a)3 + (−2b)3 + (−4c)3 −3(a)(−2b)(−4c)
Comparing with the given identity,
x3 + y3 + z3 −3xyz ≡ (x + y + z)(x2 + y2 + z2 − xy − yz − xz)
We get factor as
= (a − 2b − 4c)[(a)2 − (−2b)2 + (−4c)2 − (a)(−2b) − (−2b)(−4c) − (−4c)(a)]
= (a − 2b − 4c)(a2 + 4b2 + 16c2 + 2ab − 8bc + 4ca)

(ii) 2√2a3 + 8b3 – 27c3 + 18√2 abc.

We know that,
a3  + b3 + c3 −3abc = (a + b + c)(a2 + b2 + c2 − ab − bc − ca)
Thus, 2√2a3 + 8b3 − 27c3 + 18√2 abc
Here, a = √2 a, b = 2b and c = −3c
= (√2a + 2b − 3c)[(√2a)2 + (2b)2 + (−3c)2 − √2a(2b) − (2b)(−3c)−(−3c)(√2a)]
= (√2a + 2b − 3c)(2a2 + 4b2 + 9c2 − 2√2ab + 6bc + 3√2ac)

Q.37. Without actually calculating the cubes, find the value of :

(i) NCERT Exemplar Solutions: Polynomials | Mathematics (Maths) Class 9

Let
NCERT Exemplar Solutions: Polynomials | Mathematics (Maths) Class 9
We know that a3 + b3 + c3 = 3abc when a + b + c = 0
NCERT Exemplar Solutions: Polynomials | Mathematics (Maths) Class 9
= - 5/12

(ii) (0.2)3 – (0.3)3 + (0.1)3

Given,
0.23 − 0.33 + 0.13

= (0.1 × 2)3 − (0.1 × 3)3 + (0.1 × 1)3
= 0.13(2− 33 + 13)
= 0.13(−18) = −0.018


Q.38. Without finding the cubes, factorise
(x – 2y)3 + (2y – 3z)3 + (3z – x)
3

We know that, a3 + b3 + c3 − 3abc = (a + b + c) (a+ b+ c2 − ab − bc − ca)
Also, if a + b + c = 0,
then a3 + b3 + c3 = 3abc .....condition(1)
Here, we see that a + b + c = (x − 2y) + (2y − 3z) + (3z − x) = 0 

∴ Using condition (1), we get
⇒ (x − 2y)3 + (2y − 3z)3 + (3 z − x)3
= 3(x − 2y) (2y − 3z) (3z − x)


Q.39. Find the value of
(i) x3 + y– 12xy + 64, when x + y = – 4

We know that, a3 + b3 + c= (a + b + c) (a+ b+ c2 − ab − bc − ca) + 3abc
If a + b + c = 0, then a3 + b3 + c3 = 3abc
Now, given x3  + y3 −12xy + 64 and
x + y = −4
=> x + y + 4 = 0
Here, a = x, b = y,  c = 4 and a + b + c = x + y + 4 = 0
Therefore x3 + y3 + 64 = 3xy(4)
= 12xyz
Now, x3 + y3 + 64 − 12xyz = 12xyz − 12xyz = 0

(ii) x3 – 8y3 – 36xy – 216, when x = 2y + 6

x− 8y− 36xy − 216
= x3 + (−2y)3 + (−6)3 − 3(x)(−2y)(−6)
= (x−2y−6)(x2 + 4y+ 36 + 2xy − 12y + 6x)
= 0 × (x+ 4y2 + 36 + 2xy − 12y + 6x) = 0

Q.40. Give possible expressions for the length and breadth of the rectangle whose area is given by 4a2 + 4a –3.

Given

Area = 4a+ 4a − 3.

We know that

Area of rectangle = length × breadth 

So, to find the possible expressions for the length and breadth we have to factorise the given expression.
Using the method of splitting the middle term, 

4a + 4a−3

= 4a2 + 6a − 2a − 3

= 2a(2a+3)−1(2a+3)

= (2a−1)(2a+3)
∴ length × breadth =(2a−1)(2a+3)
Hence, the possible expressions for the length and breadth of the rectangle are :
length = (2a−1) and breadth =(2a+3) or, length = (2a + 3) and breadth = (2a − 1).

Exercise 2.4

Q1. If the polynomials az3 + 4 z2 + 3 z – 4 and z3 – 4 z + a leave the same remainder when divided by z – 3, find the value of a.

Solution: Let p1(z) = az3 + 4z2 + 3z – 4 and p2(z) = z3 – 4z + 0
When we divide p1(z) by z – 3, then we get the remainder p,(3).
Now, p1(3) = a(3)3 + 4(3)2 + 3(3) – 4
= 27a + 36 + 9 – 4
= 27a + 41
When we divide p2(z) by z – 3 then
we get the remainder p2(3).
Now, p2(3) = (3)3 – 4(3) + a
= 27 – 12 + a
= 15 + a
Both the remainders are same.
p1(3) = p2(3)
27a + 41 = 15 + a
27a – a = 15 – 41 .
26a = 26a = – 1


Q2. The polynomial p(x) = x4 – 2x3 + 3x2 – ax + 3a – 7 when divided by x + 1 leaves the remainder 19. Find the values of a. Also find the remainder when p(x) is divided by x + 2.

Solution: Given, p(x) = x4 – 2x3 + 3x2 – ax + 3a – 7
When we divide p(x) by x + 1, then we get the remainder p(– 1).
Now, p(– 1) = (– 1)4 – 2(– 1)3 + 3(– 1)2 – a(– 1) + 3a – 7
= 1 + 2 + 3 + a + 3a – 7
= 4a – 1
p(– 1) = 19
⇒ 4a – 1 = 19
⇒ 4a = 20
∴ a = 5
∴ Required polynomial = x4 – 2x3 + 3x2 – 5x + 3(5) – 7 .....[Put a = 5 on p(x)]
= x4 – 2x3 + 3x2 – 5x + 15 – 7
= x4 – 2x+ 3x2 – 5x + 8
When we divide p(x) by x + 2, then we get the remainder p(– 2)
Now, p(– 2) = (– 2)4 – 2(– 2)3 + 3(– 2)2 – 5(– 2) + 8
= 16 + 16 + 12 + 10 + 8
= 62
Hence, the value of a 5 and remainder is 62.


Q3. If both x – 2 and x – 1/2 are factors of px2 + 5x + r, show that p = r.

Solution: As (x - 2)and  (x - 1/2)are the factors of the polynomial px2 + 5x + r
i.e., f(2) = 0 and f(1/2) = 0
Now,
f(2) = p(2)2 + 5(2) + r = 0
4p + r = -10  .....(1)
And

NCERT Exemplar Solutions: Polynomials | Mathematics (Maths) Class 9
p/4 + 5/2 + r = 0
p + 10 + 4x = 0

p + 4x = -10     ........(2)
From equation (1) and (2), we get
4p + r = p + 4r
3p = 3x
p = r


Q4. Without actual division, prove that 2x– 5x3 + 2x2 – x + 2 is divisible by x2 – 3x + 2.

Solution: Let p(x) = 2x– 5x3 + 2x2 – x + 2 firstly, factorise x2 - 3x + 2.
Now, x2 - 3x + 2 = x2 - 2x - x + 2 [by splitting middle term]
= x(x-2)-1 (x-2)
= (x-1)(x-2)
Hence, 0 of x- 3x + 2 are land 2.
We have to prove that, 2x– 5x3 + 2x2 – x + 2 is divisible by x2 - 3x + 2 i.e., to prove that p (1) =0 and p(2) =0
Now, p(1) = 2(1)4 – 5(1)3 + 2(1)2 -1 + 2
= 2 - 5 + 2 - 1 + 2
= 6 - 6
= 0
and p(2) = 2(2)4 – 5(2)3 + 2(2)2 – 2 + 2
= 2x16 - 5x8 + 2x4 + 0
= 32 – 40 + 8
= 40 – 40
= 0
Hence, p(x) is divisible by x2 - 3x + 2.


Q5. Simplify (2x – 5y)3 – (2x + 5y)3.

Solution: (2x -5y)3 – (2x + 5y)3
= [(2x)3 – (5y)– 3(2x)(5y)(2x – 5y)] -[(2x)3 + (5y)3 + 3(2x)(5y)(2x+5y)]
[using identity, (a – b)3 = a3 -b3 – 3ab  and (a + b)3 = a3 +b3 + 3ab]
= (2x)3 – (5y)3 – 30xy(2x – 5y) – (2x)3 – (5y)3 – 30xy (2x + 5y)
= -2 (5y)3 – 30xy(2x – 5y + 2x + 5y)
= -2 x 125y3 – 30xy(4x)
= -250y3 -120x2y


Q6. Multiply x2 + 4y2 + z2 + 2xy + xz – 2yz by (– z + x – 2 y).

Solution: (x–2y–z)(x2 + 4y2 + z2 + 2xy + xz − 2yz)
= (x − 2y − z)[(x)2 + (−2y)2 + (−z)2 − (x)(−2y) − (−2y)(−z) − (x)(−z)]
= (x)3 + (−2y)3  +(−z)3 – 3(x)(−2y)(−z)
[Using the identity, a3 + b3 + c3 − 3abc = (a + b + c)(a2 + b2 + c– ab – bc – ca)]
= x3 – 8y3 – z3 – 6xyz


Q7. If a, b, c are all non-zero and a + b + c = 0, prove that NCERT Exemplar Solutions: Polynomials | Mathematics (Maths) Class 9

Solution: To prove, NCERT Exemplar Solutions: Polynomials | Mathematics (Maths) Class 9
We know that, a3 + b3 + c3 – 3abc = (a + b + c) (a2 + b2 + c2 – ab – bc – ca)
= 0(a2 + b2 + c2 – ab – bc – ca) [∵ a + b + c = 0 , given]
= 0
→ a3 + b3 + c3 = 3 abc
On dividing both sides by abc; we get,
NCERT Exemplar Solutions: Polynomials | Mathematics (Maths) Class 9


Q8. If a + b + c = 5 and ab + bc + ca = 10, then prove that a3 + b3 + c3 –3abc = – 25.

Solution: Given: a + b + c = 5 and ab + bc + ca = 10
We know that: a3 + b3 + c3 – 3abc = (a + b + c)(a2 + b2 + c2 – ab – bc – ca)
= (a + b + c)[a2 + b+ c– (ab + bc + ca)]
= 5{a+ b2 + c2 – (ab + bc + ca)} = 5(a2 + b2 + c2 – 10)
Given: a + b + c = 5
Now, squaring both sides, get: (a + b + c)2 = 52
a+ b2 + c2 + 2(ab + bc + ca)
= 25 a2 + b+ c2 + 2 × 10
= 25 a2 + b2 + c2 = 25 – 20
= 5
Now, a+ b3 + c3 – 3abc = 5(a2 + b+ c2 – 10)
= 5 × (5 – 10)
= 5 × (– 5)
= – 25

Hence proved.


Q9. Prove that (a + b + c)3 – a3 – b3 – c3 = 3(a + b ) ( b + c) (c + a).

Solution: To prove: (a + b + c)3 – a3 – b3 – c3 = 3(a + b)(b + c)(c + a)
L.H.S = [(a + b + c)3 – a3] – (b3 + c3)
= (a + b + c – a)[(a + b + c)2 + a2 + a(a + b + c)] – [(b + c)(b2 + c2 – bc)]  .......[Using identity, a3 + b3 = (a + b)(a2 + b2 – ab) and a3 – b3 = (a – b)(a2 + b2 + ab)]
= (b + c)[a2 + b+ c2 + 2ab + 2bc + 2ca + a2 + a2 + ab + ac] – (b + c)(b2 + c2 – bc)
= (b + c)[b2 + c2 + 3a2 + 3ab + 3ac – b– c2 + 3bc]
= (b + c)[3(a2 + ab + ac + bc)]
= 3(b + c)[a(a + b) + c(a + b)]
= 3(b + c)[(a + c)(a + b)]
= 3(a + b)(b + c)(c + a) = R.H.S
Hence proved.

The document NCERT Exemplar Solutions: Polynomials | Mathematics (Maths) Class 9 is a part of the Class 9 Course Mathematics (Maths) Class 9.
All you need of Class 9 at this link: Class 9
40 videos|471 docs|57 tests

FAQs on NCERT Exemplar Solutions: Polynomials - Mathematics (Maths) Class 9

1. What are polynomials in mathematics?
Ans. Polynomials in mathematics are expressions consisting of variables and coefficients, combined using addition, subtraction, multiplication, and non-negative integer exponents.
2. How do you classify polynomials based on the number of terms they have?
Ans. Polynomials can be classified as monomials (1 term), binomials (2 terms), trinomials (3 terms), or polynomials with more than 3 terms (multinomials).
3. What is the degree of a polynomial and how is it determined?
Ans. The degree of a polynomial is the highest power of the variable in the polynomial. It is determined by looking at the exponent of the variable in each term and selecting the highest one.
4. How can you add or subtract polynomials?
Ans. To add or subtract polynomials, you need to combine like terms. This involves adding or subtracting the coefficients of the same variables raised to the same powers.
5. Can you factorize polynomials and if so, how?
Ans. Yes, polynomials can be factorized by finding common factors among the terms and using techniques like factoring by grouping, the difference of squares, or using special formulas for specific types of polynomials.
Related Searches

NCERT Exemplar Solutions: Polynomials | Mathematics (Maths) Class 9

,

Semester Notes

,

Sample Paper

,

past year papers

,

Free

,

pdf

,

mock tests for examination

,

shortcuts and tricks

,

Important questions

,

NCERT Exemplar Solutions: Polynomials | Mathematics (Maths) Class 9

,

MCQs

,

study material

,

ppt

,

Summary

,

Previous Year Questions with Solutions

,

Objective type Questions

,

Extra Questions

,

practice quizzes

,

Exam

,

NCERT Exemplar Solutions: Polynomials | Mathematics (Maths) Class 9

,

Viva Questions

,

video lectures

;