JEE Exam  >  JEE Notes  >  Mathematics (Maths) for JEE Main & Advanced  >  NCERT Exemplar: Trigonometric Functions

NCERT Exemplar: Trigonometric Functions | Mathematics (Maths) for JEE Main & Advanced PDF Download

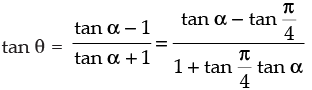
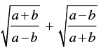
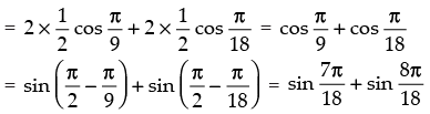
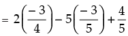
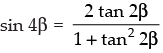
Q.1. Prove that 
NCERT Exemplar: Trigonometric Functions | Mathematics (Maths) for JEE Main & Advanced
Ans.
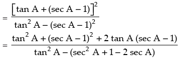
 NCERT Exemplar: Trigonometric Functions | Mathematics (Maths) for JEE Main & Advanced
NCERT Exemplar: Trigonometric Functions | Mathematics (Maths) for JEE Main & Advanced
[Rationalizing the denominator]
NCERT Exemplar: Trigonometric Functions | Mathematics (Maths) for JEE Main & Advanced
NCERT Exemplar: Trigonometric Functions | Mathematics (Maths) for JEE Main & Advanced
NCERT Exemplar: Trigonometric Functions | Mathematics (Maths) for JEE Main & Advanced
NCERT Exemplar: Trigonometric Functions | Mathematics (Maths) for JEE Main & Advanced
NCERT Exemplar: Trigonometric Functions | Mathematics (Maths) for JEE Main & Advanced R.H.S. Hence proved.

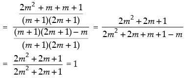
Q.2. If NCERT Exemplar: Trigonometric Functions | Mathematics (Maths) for JEE Main & Advanced then prove that

NCERT Exemplar: Trigonometric Functions | Mathematics (Maths) for JEE Main & Advanced is also equal to y.
NCERT Exemplar: Trigonometric Functions | Mathematics (Maths) for JEE Main & Advanced
Ans.
Given that:
NCERT Exemplar: Trigonometric Functions | Mathematics (Maths) for JEE Main & Advanced
NCERT Exemplar: Trigonometric Functions | Mathematics (Maths) for JEE Main & Advanced
NCERT Exemplar: Trigonometric Functions | Mathematics (Maths) for JEE Main & Advanced
NCERT Exemplar: Trigonometric Functions | Mathematics (Maths) for JEE Main & Advanced
Hence proved.

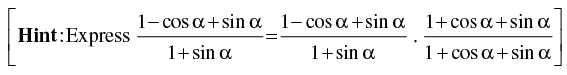
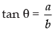
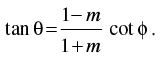
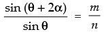
Q.3. If m sin θ = n sin (θ + 2α), then prove that tan (θ + α) cot α = NCERT Exemplar: Trigonometric Functions | Mathematics (Maths) for JEE Main & Advanced 
[Hint: Express NCERT Exemplar: Trigonometric Functions | Mathematics (Maths) for JEE Main & Advanced and apply componendo and dividendo]
Ans.
Given that: m sin θ = n sin (θ + 2α)
    NCERT Exemplar: Trigonometric Functions | Mathematics (Maths) for JEE Main & Advanced
Using componendo and dividendo theorem we get
NCERT Exemplar: Trigonometric Functions | Mathematics (Maths) for JEE Main & Advanced
NCERT Exemplar: Trigonometric Functions | Mathematics (Maths) for JEE Main & Advanced
NCERT Exemplar: Trigonometric Functions | Mathematics (Maths) for JEE Main & Advanced
NCERT Exemplar: Trigonometric Functions | Mathematics (Maths) for JEE Main & Advanced
⇒ NCERT Exemplar: Trigonometric Functions | Mathematics (Maths) for JEE Main & Advanced
Hence proved.

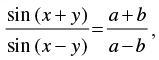
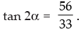
Q.4. If cos (α + β) = NCERT Exemplar: Trigonometric Functions | Mathematics (Maths) for JEE Main & Advanced and sin (α – β) =NCERT Exemplar: Trigonometric Functions | Mathematics (Maths) for JEE Main & Advanced where α lie between 0 and NCERT Exemplar: Trigonometric Functions | Mathematics (Maths) for JEE Main & Advanced find the value of tan2α.
[Hint: Express tan 2 α as tan (α + β + α – β]
Ans.
Given that:
NCERT Exemplar: Trigonometric Functions | Mathematics (Maths) for JEE Main & Advanced     

NCERT Exemplar: Trigonometric Functions | Mathematics (Maths) for JEE Main & Advanced
NCERT Exemplar: Trigonometric Functions | Mathematics (Maths) for JEE Main & Advanced
Now    tan 2α = tan [α + β + α – β]
= tan [(α  + β) + (α – β)]
NCERT Exemplar: Trigonometric Functions | Mathematics (Maths) for JEE Main & Advanced
NCERT Exemplar: Trigonometric Functions | Mathematics (Maths) for JEE Main & Advanced
NCERT Exemplar: Trigonometric Functions | Mathematics (Maths) for JEE Main & Advanced
Hence,  NCERT Exemplar: Trigonometric Functions | Mathematics (Maths) for JEE Main & Advanced

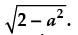
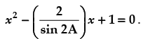
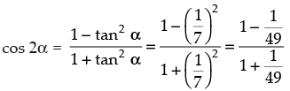
Q.5. If tan x = NCERT Exemplar: Trigonometric Functions | Mathematics (Maths) for JEE Main & Advanced  then find the value of  NCERT Exemplar: Trigonometric Functions | Mathematics (Maths) for JEE Main & Advanced
Ans.
Given that: tan x = NCERT Exemplar: Trigonometric Functions | Mathematics (Maths) for JEE Main & Advanced
NCERT Exemplar: Trigonometric Functions | Mathematics (Maths) for JEE Main & Advanced
NCERT Exemplar: Trigonometric Functions | Mathematics (Maths) for JEE Main & Advanced
NCERT Exemplar: Trigonometric Functions | Mathematics (Maths) for JEE Main & Advanced
Hence, NCERT Exemplar: Trigonometric Functions | Mathematics (Maths) for JEE Main & Advanced

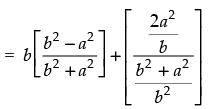
Q.6. Prove that cosθ cos NCERT Exemplar: Trigonometric Functions | Mathematics (Maths) for JEE Main & Advanced sin 7θ sin 8θ.
[Hint: Express L.H.S. =  NCERT Exemplar: Trigonometric Functions | Mathematics (Maths) for JEE Main & Advanced
Ans.
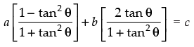
L.H.S. NCERT Exemplar: Trigonometric Functions | Mathematics (Maths) for JEE Main & Advanced
NCERT Exemplar: Trigonometric Functions | Mathematics (Maths) for JEE Main & Advanced
NCERT Exemplar: Trigonometric Functions | Mathematics (Maths) for JEE Main & Advanced
= – sin 8θ sin (– 7θ) = sin 7θ sin 8θ     [∵ sin (-θ) = -sin θ]
L.H.S. = R.H.S. Hence proved.

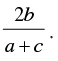
Q.7. If  a cos θ + b sin θ = m and a sin θ – b cos θ = n, then show that a2 + b2 = m2 + n2
Ans.
Given that: a cos θ + b sin θ
= m and a sin θ  b cos θ = n
R.H.S. = m2 + n2 = (a cos θ + b sin θ)2 + (a sin θ – b cos θ)2
= a2 cos2 θ + b2 sin2 θ + 2ab sin θ cos θ + a2 sin2 θ + b2 cos2 θ  2ab sin θ cos θ
= a2 cos2 θ + b2  sin2 θ + a2  sin2 θ + b2  cos2 θ
= a2(cos2 θ + sin2 θ) + b2(sin2 θ + cos2 θ)
= a2.1 + b2.1 = a2 + b2  L.H.S.
L.H.S = R.H.S.
Hence    proved.

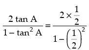
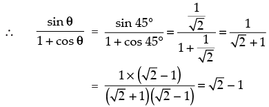
Q.8. Find the value of tan 22°30 ′ .
[Hint: Let θ = 45°, use NCERT Exemplar: Trigonometric Functions | Mathematics (Maths) for JEE Main & Advanced
Ans. 
Let 22°30’ NCERT Exemplar: Trigonometric Functions | Mathematics (Maths) for JEE Main & Advanced θ =45°
tan 22°30’ NCERT Exemplar: Trigonometric Functions | Mathematics (Maths) for JEE Main & Advanced
Put θ = 45°
NCERT Exemplar: Trigonometric Functions | Mathematics (Maths) for JEE Main & Advanced
Hence, tan 22°30’ = √2 - 1   

Q.9. Prove that sin 4A = 4sinA cos3A – 4 cosA sin3A.
Ans.
L.H.S. sin 4A = sin (A + 3A)
= sin A cos 3A + cos A sin 3A
= sin A(4 cosA – 3 cos A) + cos A(3 sin A – 4 sin3 A)
= 4 sin A cos3 A – 3 sin A cos A + 3 sin A cos A – 4 cos A sin3 A
= 4 sin A cos3 A – 4 cos A sin3 A. R.H.S.
L.H.S. = R.H.S.
Hence proved.

Q.10. If tanθ + sinθ = m and tanθ – sinθ = n, then prove that m2 – n2 = 4sinθ tanθ
[Hint: m + n = 2tanθ, m – n = 2 sinθ, then use m2 – n2 = (m + n) (m – n)]
Ans.
Given that: tan θ  + sin θ = m and tan θ – sin θ = n
L.H.S. m2 – n2 = (m + n)(m – n)
= [(tan θ + sin θ) + (tan θ – sin θ)]. [(tan θ + sin θ) – (tan θ – sin θ)]
= (tan θ + sin θ + tan θ – sin θ).(tan θ + sin θ – tan θ + sin θ)
= 2 tan θ.2 sin θ= 4 sin θ tan θ. R.H.S.
L.H.S. = R.H.S. Hence proved.

Q.11. If tan (A + B) = p, tan (A – B) = q, then show that tan 2 A = NCERT Exemplar: Trigonometric Functions | Mathematics (Maths) for JEE Main & Advanced
[Hint: Use 2A = (A + B) + (A – B)]
Ans.
Given that: tan (A + B) = p, tan (A – B) = q
tan 2A = tan (A + B + A – B) = tan [(A + B) + (A – B)]
NCERT Exemplar: Trigonometric Functions | Mathematics (Maths) for JEE Main & Advanced

Q.12. If cosα + cosβ = 0 = sinα + sinβ, then prove that cos 2α + cos 2β = – 2cos (α + β).
[Hint: (cosα + cosβ)2 – (sinα + sinβ)2 = 0]
Ans.
Given that: cos α + cos β = 0 ................(i)
and sin α + sin α = 0 ...............(ii)
From  (i) and (ii) we have
(cos α + cos β)2  (sinα + sin β)2 = 0
⇒(cos2 α + cos2 β  + 2 cos α cos  β) – (sin2 α + sin2  β + 2 sin α sin  β) = 0
⇒cos2 α + cos2  β + 2 cos α cos  β – sin2 α – sin2  β – 2 sin α sin  β = 0
⇒(cos2 α – sin2 α) + (cos2  β  – sin2  β) + 2(cos α cos  β – sin α sin  β) = 0
⇒cos2 α + cos2 β + 2 cos (α +  β) = 0
Hence, cos 2α + cos 2 β = – 2 cos (α +  β).
Hence proved.

Q.13. If  NCERT Exemplar: Trigonometric Functions | Mathematics (Maths) for JEE Main & Advanced then show that

NCERT Exemplar: Trigonometric Functions | Mathematics (Maths) for JEE Main & Advanced
 [Hint: Use Componendo and Dividendo].
Ans.
Given that:NCERT Exemplar: Trigonometric Functions | Mathematics (Maths) for JEE Main & Advanced
NCERT Exemplar: Trigonometric Functions | Mathematics (Maths) for JEE Main & Advanced
(Using componendo and dividendo theorem)
NCERT Exemplar: Trigonometric Functions | Mathematics (Maths) for JEE Main & Advanced

Q.14. If tanθ = NCERT Exemplar: Trigonometric Functions | Mathematics (Maths) for JEE Main & Advanced  then show that sinα + cosα = √2 cosθ.
[Hint: Express tanθ = tan NCERT Exemplar: Trigonometric Functions | Mathematics (Maths) for JEE Main & Advanced
Ans.
Given that: NCERT Exemplar: Trigonometric Functions | Mathematics (Maths) for JEE Main & Advanced
NCERT Exemplar: Trigonometric Functions | Mathematics (Maths) for JEE Main & Advanced
NCERT Exemplar: Trigonometric Functions | Mathematics (Maths) for JEE Main & Advanced
NCERT Exemplar: Trigonometric Functions | Mathematics (Maths) for JEE Main & Advanced
⇒   √2 cos θ = cos α + sin α
⇒ sin α + cos α = √2 cos θ.
Hence proved.

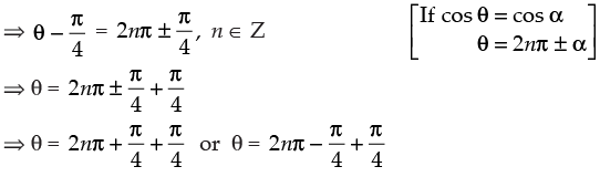
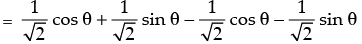
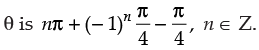
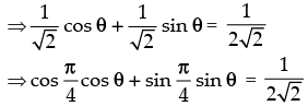
Q.15. If sinθ + cosθ = 1, then find the general value of θ.
Ans.
Given that: sin θ + cos θ  = 1
Dividing both sides by NCERT Exemplar: Trigonometric Functions | Mathematics (Maths) for JEE Main & Advanced we get
NCERT Exemplar: Trigonometric Functions | Mathematics (Maths) for JEE Main & Advanced ...(1)
NCERT Exemplar: Trigonometric Functions | Mathematics (Maths) for JEE Main & Advanced
NCERT Exemplar: Trigonometric Functions | Mathematics (Maths) for JEE Main & Advanced
Hence, the general values of θ are 2nπ,n∈Z
Alternate method:
From eqn. (i) we get
NCERT Exemplar: Trigonometric Functions | Mathematics (Maths) for JEE Main & Advanced
Hence, the general value of NCERT Exemplar: Trigonometric Functions | Mathematics (Maths) for JEE Main & Advanced

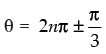
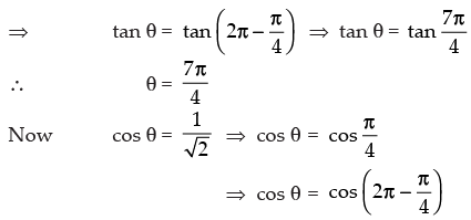
Q.16. Find the most general value of θ satisfying the equation tanθ = –1 and
NCERT Exemplar: Trigonometric Functions | Mathematics (Maths) for JEE Main & Advanced
Ans.
Given that: tan θ = – 1 and cos θ = NCERT Exemplar: Trigonometric Functions | Mathematics (Maths) for JEE Main & Advanced
tan θ = – 1
NCERT Exemplar: Trigonometric Functions | Mathematics (Maths) for JEE Main & Advanced
NCERT Exemplar: Trigonometric Functions | Mathematics (Maths) for JEE Main & Advanced
NCERT Exemplar: Trigonometric Functions | Mathematics (Maths) for JEE Main & Advanced
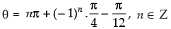
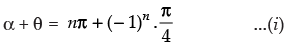
Hence, the general solution is NCERT Exemplar: Trigonometric Functions | Mathematics (Maths) for JEE Main & Advanced

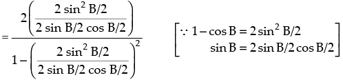
Q.17. If cotθ + tanθ = 2 cosecθ, then find the general value of θ.
Ans.
Given that: cot θ + tan θ = 2 cosec θ
NCERT Exemplar: Trigonometric Functions | Mathematics (Maths) for JEE Main & Advanced
 ⇒  2sin θ cos θ = sin θ
⇒ 2 sin θ cos θ  sin θ = 0
⇒ sin θ (2 cos θ  1) = 0
⇒ sin θ = 0 or 2 cos θ  1 = 0 or NCERT Exemplar: Trigonometric Functions | Mathematics (Maths) for JEE Main & Advanced
NCERT Exemplar: Trigonometric Functions | Mathematics (Maths) for JEE Main & Advanced
NCERT Exemplar: Trigonometric Functions | Mathematics (Maths) for JEE Main & Advanced
Hence, the general values of θ is NCERT Exemplar: Trigonometric Functions | Mathematics (Maths) for JEE Main & Advanced

Q.18. If 2sin2θ = 3cosθ, where 0 ≤ θ ≤ 2π, then find the value of θ.
Ans.
Given that: 2 sin2 θ = 3 cos θ
⇒ 2(1 – cos2 θ) = 3 cos θ
⇒ 2 – 2 cos2 θ – 3 cos θ = 0
⇒ 2 cos2 θ + 3 cos θ – 2 = 0
⇒ 2 cos2 θ+ 4 cos θ – cos θ – 2 = 0
⇒2 cos θ (cos θ + 2) – 1(cos θ + 2) = 0
⇒ (cos θ + 2) (2 cos θ – 1) = 0   
⇒ cos θ + 2 = 0 or 2 cos θ – 1 = 0  
⇒ cos θ  - 2 [- 1  cos θ  1]
 2 cos θ  1 = 0
NCERT Exemplar: Trigonometric Functions | Mathematics (Maths) for JEE Main & Advanced
NCERT Exemplar: Trigonometric Functions | Mathematics (Maths) for JEE Main & Advanced
NCERT Exemplar: Trigonometric Functions | Mathematics (Maths) for JEE Main & Advanced
NCERT Exemplar: Trigonometric Functions | Mathematics (Maths) for JEE Main & Advanced
and NCERT Exemplar: Trigonometric Functions | Mathematics (Maths) for JEE Main & Advanced
Hence, the value of θ are NCERT Exemplar: Trigonometric Functions | Mathematics (Maths) for JEE Main & Advanced

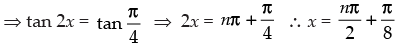
Q.19. If secx cos5x + 1 = 0, where 0 < x ≤NCERT Exemplar: Trigonometric Functions | Mathematics (Maths) for JEE Main & Advanced then find the value of x.
Ans.
Given that: sec x cos 5x + 1 = 0
NCERT Exemplar: Trigonometric Functions | Mathematics (Maths) for JEE Main & Advanced
⇒ cos 5x + cos x = 0
NCERT Exemplar: Trigonometric Functions | Mathematics (Maths) for JEE Main & Advanced
⇒ cos 3x . cos 2x = 0
⇒ cos 3x = 0 or cos 2x = 0
NCERT Exemplar: Trigonometric Functions | Mathematics (Maths) for JEE Main & Advanced
NCERT Exemplar: Trigonometric Functions | Mathematics (Maths) for JEE Main & Advanced
Hence, the values of x are NCERT Exemplar: Trigonometric Functions | Mathematics (Maths) for JEE Main & Advanced

Long Answer Type
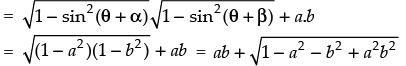
Q.20. If sin (θ + α) = a and sin (θ + β) = b, then prove that cos 2(α – β) – 4ab cos (α – β) = 1 – 2a2 – 2b2  
[Hint: Express cos (α – β) = cos ((θ + α) – (θ + β))]
Ans.
Given that:
sin (θ + α) = a and sin  + β) = b .... (i)
cos  - β) = cos  + α - θ  β) = cos [(θ + α)   + β)] 
∴ cos  - β)= cos  + α) cos  + β) + sin  + α) sin  + β)   
NCERT Exemplar: Trigonometric Functions | Mathematics (Maths) for JEE Main & Advanced
Now cos 2(α – β) – 4ab cos (α – β)
= 2 cos2 (α – β) – 1 – 4ab cos (α – β) [ cos 2θ = 2 cos2 θ – 1]
NCERT Exemplar: Trigonometric Functions | Mathematics (Maths) for JEE Main & Advanced
= 2a2 b2 + 2 - 2a2 - 2b2 + 2a2 b2 + NCERT Exemplar: Trigonometric Functions | Mathematics (Maths) for JEE Main & Advanced
NCERT Exemplar: Trigonometric Functions | Mathematics (Maths) for JEE Main & Advanced
= 1  2a2  2b2
Hence, cos  2  - β)  4ab cos  - β) = 1  2a2  2b2.
Hence proved.

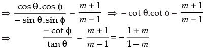
Q.21. If cos (θ + φ) = m cos (θ – φ), then prove that NCERT Exemplar: Trigonometric Functions | Mathematics (Maths) for JEE Main & Advanced
[Hint: Express NCERT Exemplar: Trigonometric Functions | Mathematics (Maths) for JEE Main & Advanced and apply Componendo and Dividendo]
Ans.
Given that:
cos (θ + φ) = m cos (θ – φ)
NCERT Exemplar: Trigonometric Functions | Mathematics (Maths) for JEE Main & Advanced
Using componendo and dividendo theorem, we get
NCERT Exemplar: Trigonometric Functions | Mathematics (Maths) for JEE Main & Advanced
NCERT Exemplar: Trigonometric Functions | Mathematics (Maths) for JEE Main & Advanced
NCERT Exemplar: Trigonometric Functions | Mathematics (Maths) for JEE Main & Advanced
⇒ NCERT Exemplar: Trigonometric Functions | Mathematics (Maths) for JEE Main & Advanced
Hence proved.

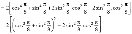
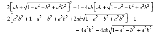
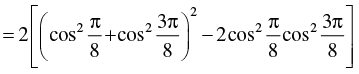
Q.22. Find the value of the expression
NCERT Exemplar: Trigonometric Functions | Mathematics (Maths) for JEE Main & Advanced
Ans.
Given that:
NCERT Exemplar: Trigonometric Functions | Mathematics (Maths) for JEE Main & Advanced
= 3[ cos4 α + sin4  + α)]  2[cos6 α + sin6  - α)] = 3[cos4 α + sin4 α]  2[cos6 α + sin6 α]   
= 3[cos4 α + sin4 α + 2 sin2 α cos2 α - 2 sin2 α cos2 α]  2[(cos2 α + sin2 α)3  3 cos2 α sin2 α (cos2 α + sin2 α)]                                
=  3[(cos2 α + sin2 α)2  2 sin2 α cos2 α]  2[1  3 cos2 α sin2 α]
= 3[1  2 sin2 α cos2 α]  2[1  3 cos2 α sin2 α]
= 3 – 6  sin2 α cos2 α - 2 + 6 cos2 α sin2 α
= 3  2 = 1
Hence, the value of the given expression is 1.

Q.23. If a cos 2θ + b sin 2θ = c has α and β as its roots, then prove that tanα + tan β = NCERT Exemplar: Trigonometric Functions | Mathematics (Maths) for JEE Main & Advanced
[Hint: Use the identities cos 2θ = NCERT Exemplar: Trigonometric Functions | Mathematics (Maths) for JEE Main & Advanced
Ans.
Given that: a cos  + b sin  = c..... (i)
NCERT Exemplar: Trigonometric Functions | Mathematics (Maths) for JEE Main & Advanced     
NCERT Exemplar: Trigonometric Functions | Mathematics (Maths) for JEE Main & Advanced   
 a – a tan2θ + 2b tanθ = c(1 +  tan2 θ)
⇒ a  a tan2θ + 2b tan θ = c + c tan2 θ
⇒ a  a tan2θ + 2b tan θ  c tan2 θ  c = 0
⇒ - (a + c) tan2 θ + 2b tan θ + (a  c) = 0
 (a + c) tan2 θ  2b tan θ + (c  a) = 0..... (ii)
Since α and β are the roots of this equation
NCERT Exemplar: Trigonometric Functions | Mathematics (Maths) for JEE Main & Advanced
NCERT Exemplar: Trigonometric Functions | Mathematics (Maths) for JEE Main & Advanced Hence proved.

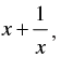
Q.24.  If x = sec φ – tan φ and y = cosec φ + cot φ then show that xy + x – y + 1 = 0
[Hint: Find xy + 1 and then show that x – y = – (xy + 1)]
Ans.
Given that: x = sec φ – tan φ
and y = cosec φ + cot φ
xy + x – y + 1 = 0
L.H.S.   xy + x – y + 1 = (sec φ – tan φ)
(cosec φ  + cot φ) + (sec φ – tan φ) – (cosec  φ + cot φ) + 1
NCERT Exemplar: Trigonometric Functions | Mathematics (Maths) for JEE Main & Advanced
NCERT Exemplar: Trigonometric Functions | Mathematics (Maths) for JEE Main & Advanced
NCERT Exemplar: Trigonometric Functions | Mathematics (Maths) for JEE Main & Advanced R.H.S.
L.H.S. = R.H.S.
Hence proved.

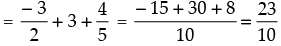
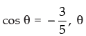
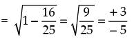
Q.25. If θ lies in the first quadrant and cosθ = NCERT Exemplar: Trigonometric Functions | Mathematics (Maths) for JEE Main & Advanced then find the value of
cos (30° + θ) + cos (45° – θ) + cos (120° – θ).
Ans.
Given that: NCERT Exemplar: Trigonometric Functions | Mathematics (Maths) for JEE Main & Advanced
NCERT Exemplar: Trigonometric Functions | Mathematics (Maths) for JEE Main & Advanced
But θ lies in I quadrant.
∴  NCERT Exemplar: Trigonometric Functions | Mathematics (Maths) for JEE Main & Advanced
Now cos (30° + θ) + cos (45° – θ) + cos (120° – θ)
= cos 30° cos θ – sin 30° sin θ + cos 45° cos θ + sin 45° sin θ + cos 120° cos θ + sin 120° sin θ
NCERT Exemplar: Trigonometric Functions | Mathematics (Maths) for JEE Main & Advanced
NCERT Exemplar: Trigonometric Functions | Mathematics (Maths) for JEE Main & Advanced
NCERT Exemplar: Trigonometric Functions | Mathematics (Maths) for JEE Main & Advanced
Hence, the required solution = NCERT Exemplar: Trigonometric Functions | Mathematics (Maths) for JEE Main & Advanced

Q.26. Find the value of the expression NCERT Exemplar: Trigonometric Functions | Mathematics (Maths) for JEE Main & Advanced
[Hint: Simplify the expression to NCERT Exemplar: Trigonometric Functions | Mathematics (Maths) for JEE Main & Advanced
NCERT Exemplar: Trigonometric Functions | Mathematics (Maths) for JEE Main & Advanced
Ans.
 NCERT Exemplar: Trigonometric Functions | Mathematics (Maths) for JEE Main & Advanced
NCERT Exemplar: Trigonometric Functions | Mathematics (Maths) for JEE Main & Advanced
NCERT Exemplar: Trigonometric Functions | Mathematics (Maths) for JEE Main & Advanced
NCERT Exemplar: Trigonometric Functions | Mathematics (Maths) for JEE Main & Advanced
NCERT Exemplar: Trigonometric Functions | Mathematics (Maths) for JEE Main & Advanced
Hence, the required value of the expression = NCERT Exemplar: Trigonometric Functions | Mathematics (Maths) for JEE Main & Advanced

Q.27.Find the general solution of the equation
5cos2θ + 7sin2θ – 6 = 0
Ans.
5 cos2 θ + 7 sin2 θ  6 = 0
⇒ 5 cos2 θ + 7(1  cos2 θ)  6 = 0
⇒ 5 cos2 θ + 7– 7 cos2 θ  6 = 0
 - 2 cos2 θ + 1 = 0
⇒ 2 cos2 θ = 1
NCERT Exemplar: Trigonometric Functions | Mathematics (Maths) for JEE Main & Advanced
NCERT Exemplar: Trigonometric Functions | Mathematics (Maths) for JEE Main & Advanced
NCERT Exemplar: Trigonometric Functions | Mathematics (Maths) for JEE Main & Advanced
Hence, the general solution of NCERT Exemplar: Trigonometric Functions | Mathematics (Maths) for JEE Main & Advanced

Q.28. Find the general solution of the equation
sinx – 3sin2x + sin3x = cosx – 3cos2x + cos3x
Ans.
Given that: sin x – 3 sin 2x + sin 3x = cos x – 3 cos 2x + cos 3x
⇒ (sin 3x + sin x) – 3 sin 2x = (cos 3x + cos x) – 3 cos 2x
NCERT Exemplar: Trigonometric Functions | Mathematics (Maths) for JEE Main & Advanced
NCERT Exemplar: Trigonometric Functions | Mathematics (Maths) for JEE Main & Advanced
⇒ 2 sin 2x.cos x – 3 sin 2x = 2 cos 2x .cos x – 3 cos 2x
⇒ 2 sin 2x cos x – 2 cos 2x.cos x = 3 sin 2x – 3 cos 2x
⇒ 2 cos x(sin 2x – cos 2x) = 3(sin 2x – cos 2x)
⇒ 2 cos x (sin 2x – cos 2x) – 3(sin 2x – cos 2x) = 0
⇒ (sin 2x – cos 2x) (2 cos x – 3) = 0
⇒ sin 2x – cos 2x = 0 and 2 cos x – 3 ≠0 [∵ -1 ≤ cos x ≤ 1]
NCERT Exemplar: Trigonometric Functions | Mathematics (Maths) for JEE Main & Advanced
NCERT Exemplar: Trigonometric Functions | Mathematics (Maths) for JEE Main & Advanced
Hence, the general solution of the equation is
NCERT Exemplar: Trigonometric Functions | Mathematics (Maths) for JEE Main & Advanced

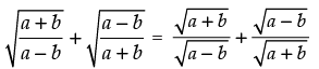
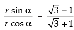
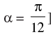
Q.29. Find the general solution of the equation ( √3 – 1) cosθ + ( √3 + 1) sinθ = 2
[Hint: Put √3 – 1=  r sinα, √3 + 1 = r cosα which gives tanα = tan NCERT Exemplar: Trigonometric Functions | Mathematics (Maths) for JEE Main & Advanced
NCERT Exemplar: Trigonometric Functions | Mathematics (Maths) for JEE Main & Advanced
Ans.
Given that: ( √3 - 1) cos θ + ( √3 + 1) sin θ = 2
Put √3 - 1 = r sin α, √3 + 1 = r cos α
Squaring and adding, we get
r2 = √3 + 1 - 2 √3 + √3 + 1 + 2 √3
r2 = 8 r = ± 2 √2
Now the given equation can be written as
r sin α cos θ + r cos α sin θ = 2
⇒ r (sin α cos θ + cos α sin θ = 2
⇒ r (sin α cos θ + cos α sin θ) = 2
⇒2 √2 sin ( α + θ) = 2
⇒ sin (α + θ) = NCERT Exemplar: Trigonometric Functions | Mathematics (Maths) for JEE Main & Advanced
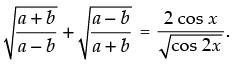
 sin (α+ θ) = NCERT Exemplar: Trigonometric Functions | Mathematics (Maths) for JEE Main & Advanced
NCERT Exemplar: Trigonometric Functions | Mathematics (Maths) for JEE Main & Advanced
Now NCERT Exemplar: Trigonometric Functions | Mathematics (Maths) for JEE Main & Advanced
NCERT Exemplar: Trigonometric Functions | Mathematics (Maths) for JEE Main & Advanced
NCERT Exemplar: Trigonometric Functions | Mathematics (Maths) for JEE Main & Advanced
NCERT Exemplar: Trigonometric Functions | Mathematics (Maths) for JEE Main & Advanced
Putting the value of α in equation (i) we get
NCERT Exemplar: Trigonometric Functions | Mathematics (Maths) for JEE Main & Advanced
NCERT Exemplar: Trigonometric Functions | Mathematics (Maths) for JEE Main & Advanced
Hence, the general solution of the given equation is
NCERT Exemplar: Trigonometric Functions | Mathematics (Maths) for JEE Main & Advanced

Objective Type Questions
Q.30. If sin θ + cosec θ = 2, then sin2 θ + cosec2 θ is equal to
(a) 1
(b) 4
(c) 2
(d) None of these
Ans. (c)
Solution.
Given that: sin θ + cosec θ = 2
Squaring both sides, we get
(sin θ +  cosec θ)2 = (2)2
⇒ sin2  θ +  cosec2 θ + 2 sin θ cosec θ = 4
⇒ sin2 θ + cosec2 θ + 2 NCERT Exemplar: Trigonometric Functions | Mathematics (Maths) for JEE Main & Advanced
⇒ sin2 θ + cosec2 θ + 2 = 4
⇒ sin2 θ + cosec2 θ = 2
Hence, the correct option is (c).

Q.31. If f (x) = cos2 x + sec2 x, then
(a) f (x) < 1
(b) f (x) = 1
(c) 2 < f (x) < 1
(d) f(x) ≥ 2
[Hint: A.M ≥ G.M.]
Ans. (d)
Solution.
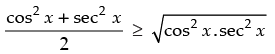
Given that: f(x) = cos2 x + sec2 x
We know that AM ≥ GM
NCERT Exemplar: Trigonometric Functions | Mathematics (Maths) for JEE Main & Advanced
NCERT Exemplar: Trigonometric Functions | Mathematics (Maths) for JEE Main & Advanced
⇒ f(x)  2
Hence, the correct option is (d)

Q.32. If tan θ = NCERT Exemplar: Trigonometric Functions | Mathematics (Maths) for JEE Main & Advanced and tan φ =NCERT Exemplar: Trigonometric Functions | Mathematics (Maths) for JEE Main & Advanced then the value of θ + φ is
(a) π/6
(b) π
(c) 0
(d) π/4
Ans. (d)
Solution.
We know that
NCERT Exemplar: Trigonometric Functions | Mathematics (Maths) for JEE Main & Advanced
NCERT Exemplar: Trigonometric Functions | Mathematics (Maths) for JEE Main & Advanced
∴ NCERT Exemplar: Trigonometric Functions | Mathematics (Maths) for JEE Main & Advanced
Hence the correct option is (d).

Q.33. Which of the following is not correct?
(a) NCERT Exemplar: Trigonometric Functions | Mathematics (Maths) for JEE Main & Advanced
(b) cos θ = 1
(c) NCERT Exemplar: Trigonometric Functions | Mathematics (Maths) for JEE Main & Advanced
(d) tan θ = 20
Ans. (c)
Solution.
sin θ =NCERT Exemplar: Trigonometric Functions | Mathematics (Maths) for JEE Main & Advanced is correct. ∵1  sin θ  1
So (a) is correct.
cos θ = 1 is correct. ∵ cos  = 1
So (b) is correct.
NCERT Exemplar: Trigonometric Functions | Mathematics (Maths) for JEE Main & Advanced
⇒ cos θ = 2 is not correct.
 - 1  cos θ  1
Hence, (c) is not correct.

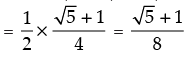
Q.34. The value of tan 1° tan 2° tan 3° ... tan 89° is
(a) 0
(b) 1
(c) 1/2
(d) Not defined
Ans. (b)
Solution.
Given that: tan 1° tan 2° tan 3° .... tan 89°
= tan 1° tan 2° tan 3° .... tan 45°.tan (90 – 44°).tan (90 – 43°) ...tan (90 – 1°)
= tan 1° cot 1°.tan 2°.cot 2°.tan 3°.cot 3° ... tan 89°.cot 89°
= 1.1.1.1 ... 1.1 = 1
Hence, the correct option is (b).

Q.35. The value of NCERT Exemplar: Trigonometric Functions | Mathematics (Maths) for JEE Main & Advanced
(a) 1
(b) √3
(c) √3/2
(d) 2
Ans. (c)
Solution.
Given that: NCERT Exemplar: Trigonometric Functions | Mathematics (Maths) for JEE Main & Advanced
Let θ = 15°   = 30°
NCERT Exemplar: Trigonometric Functions | Mathematics (Maths) for JEE Main & Advanced
NCERT Exemplar: Trigonometric Functions | Mathematics (Maths) for JEE Main & Advanced
Hence, the correct option is (c).

Q.36. The value of cos 1° cos 2° cos 3° ... cos 179° is
(a) 1/√2
(b) 0
(c) 1
(d) –1

Ans. (b)
Solution.
Given expression is cos 1°.cos 2°.cos 3° ... cos 179°
⇒cos 1°.cos 2°.cos 3° ... cos 90°.cos 91° ... cos 179°
⇒ 0 [∵ cos 90° = 0]
Hence, the correct option is (b).

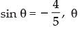
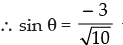
Q.37. If tan θ = 3 and θ lies in third quadrant, then the value of sin θ is
(a)NCERT Exemplar: Trigonometric Functions | Mathematics (Maths) for JEE Main & Advanced 
(b) NCERT Exemplar: Trigonometric Functions | Mathematics (Maths) for JEE Main & Advanced
(c) NCERT Exemplar: Trigonometric Functions | Mathematics (Maths) for JEE Main & Advanced
(d) NCERT Exemplar: Trigonometric Functions | Mathematics (Maths) for JEE Main & Advanced
Ans. (c)
Solution.
tan θ =  3,  θ lies in third quadrant, it is positive.
NCERT Exemplar: Trigonometric Functions | Mathematics (Maths) for JEE Main & Advancedwhere θ lies in third quadrant
Hence the correct option is (c).
NCERT Exemplar: Trigonometric Functions | Mathematics (Maths) for JEE Main & Advanced

Q.38. The value of tan 75° – cot 75° is equal to
(a) 2√3
(b) 2 + √3
(c) 2 − √3
(d) 1
Ans. (a)
Solution.
The given expression is tan 75° – cot 75°
tan 75° – cot 75° = tan 75° – cot (90 – 15°)
= tan 75° – tan 15° = NCERT Exemplar: Trigonometric Functions | Mathematics (Maths) for JEE Main & Advanced
NCERT Exemplar: Trigonometric Functions | Mathematics (Maths) for JEE Main & Advanced
NCERT Exemplar: Trigonometric Functions | Mathematics (Maths) for JEE Main & Advanced
Hence, the correct option is (a).

Q.39. Which of the following is correct?
(a) sin1° > sin 1
(b) sin 1° < sin 1
(c) sin 1° = sin 1
(d) NCERT Exemplar: Trigonometric Functions | Mathematics (Maths) for JEE Main & Advanced
Ans. (b)
Solution.
We know that if  θ  increases  then the value of  sin θ  also increases
So, sin  < sin 1 NCERT Exemplar: Trigonometric Functions | Mathematics (Maths) for JEE Main & Advanced
Hence the correct option is (b).

Q.40. If tan α = NCERT Exemplar: Trigonometric Functions | Mathematics (Maths) for JEE Main & Advanced then α + β is equal to
(a) NCERT Exemplar: Trigonometric Functions | Mathematics (Maths) for JEE Main & Advanced
(b) NCERT Exemplar: Trigonometric Functions | Mathematics (Maths) for JEE Main & Advanced
(c) NCERT Exemplar: Trigonometric Functions | Mathematics (Maths) for JEE Main & Advanced
(d) NCERT Exemplar: Trigonometric Functions | Mathematics (Maths) for JEE Main & Advanced
Ans. (d)
Solution.
Given that NCERT Exemplar: Trigonometric Functions | Mathematics (Maths) for JEE Main & Advanced
NCERT Exemplar: Trigonometric Functions | Mathematics (Maths) for JEE Main & Advanced
NCERT Exemplar: Trigonometric Functions | Mathematics (Maths) for JEE Main & Advanced
⇒ tan  + β) NCERT Exemplar: Trigonometric Functions | Mathematics (Maths) for JEE Main & Advanced
Hence, the correct option is (d).

Q.41. The minimum value of 3 cosx + 4 sinx + 8 is

(a) 5
(b) 9
(c) 7
(d) 3
Ans. (d)
Solution.
The given expression is 3 cos x + 4 sin x + 8
Let y = 3 cos x + 4 sin x + 8
⇒ y  8 = 3 cos x  + 4 sin x
Minimum value of y  8 NCERT Exemplar: Trigonometric Functions | Mathematics (Maths) for JEE Main & Advanced 
 ⇒ y – 8 = NCERT Exemplar: Trigonometric Functions | Mathematics (Maths) for JEE Main & Advanced
⇒ y = 8 – 5 = 3
So, the minimum value of the given expression is 3.
Hence, the correct option is (d).

Q.42. The value of tan 3A – tan 2A – tan A is equal to
(a) tan 3A tan 2A tan A
(b) – tan 3A tan 2A tan A
(c) tan A tan 2A – tan 2A tan 3A – tan 3A tan A
(d) None of these
Ans. (a)
Solution.
The given expression is tan 3A – tan 2A – tan A
tan 3A = tan (2A + A)
NCERT Exemplar: Trigonometric Functions | Mathematics (Maths) for JEE Main & Advanced
⇒ tan 3A(1 – tan 2A tan A) = tan 2A + tan A
⇒ tan 3A – tan 3A tan 2A tan A = tan 2A + tan A
⇒ tan 3A – tan 2A – tan A = tan 3A tan 2A tan A
Hence, the correct option is (a).

Q.43.  The value of sin (45° + θ) – cos (45° – θ) is
(a) 2 cosθ
(b) 2 sinθ
(c) 1
(d) 0
Ans. (d)
Solution.
Given expression is (sin 45° + θ)  cos  (45°- θ)
Sin (45° + θ) = sin 45° cos θ + cos 45° sin θ
NCERT Exemplar: Trigonometric Functions | Mathematics (Maths) for JEE Main & Advanced
Cos (45° - θ) = cos 45° cos θ + sin 45° sin θ
NCERT Exemplar: Trigonometric Functions | Mathematics (Maths) for JEE Main & Advanced
Sin (45°+ θ - cos (45°- θ)
NCERT Exemplar: Trigonometric Functions | Mathematics (Maths) for JEE Main & Advanced
= 0. 
Hence, the correct option is (d).

Q.44. The value of NCERT Exemplar: Trigonometric Functions | Mathematics (Maths) for JEE Main & Advanced
(a) 2 cosθ
(b) 2 sinθ
(c) 1
(d) 0
Ans. (c)
Solution.
NCERT Exemplar: Trigonometric Functions | Mathematics (Maths) for JEE Main & Advanced
NCERT Exemplar: Trigonometric Functions | Mathematics (Maths) for JEE Main & Advanced
Hence, the correct option is (c).

Q.45. cos 2θ cos 2φ + sin2 (θ – φ) – sin2 (θ + φ) is equal to
(a) sin 2(θ + φ)
(b) cos 2(θ + φ)
(c) sin 2(θ – φ)
(d) cos 2(θ – φ)
[Hint: Use sin2 A – sin2 B = sin (A + B) sin (A – B)]
Ans. (b)
Solution.
Given that: cos 2θ.cos 2 φ + sin2  - φ)  sin2 + φ)
Cos  cos 2φ + sin2  - φ)  sin2  + φ)
= cos  cos 2φ + sin  - φ + θ + φ).sin  - φ - θ - φ)
[∵ sin2 A   sin2 B =  sin (A +  B).sin  (A  B)]
= cos  cos 2φ + sin 2θ.sin ( - 2φ)
= cos  cos 2φ - sin  sin 2φ   [  sin(φ - θ) = - sin θ]
=    cos 2(θ + φ)  
Hence, the correct option is (b).    

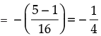
Q.46. The value of cos 12° + cos 84° + cos 156° + cos 132° is  
(a) NCERT Exemplar: Trigonometric Functions | Mathematics (Maths) for JEE Main & Advanced
(b) 1
(c) NCERT Exemplar: Trigonometric Functions | Mathematics (Maths) for JEE Main & Advanced
(d) NCERT Exemplar: Trigonometric Functions | Mathematics (Maths) for JEE Main & Advanced
Ans. (c)
Solution.
The given expression is cos 12° + cos 84° + cos 156° + cos 132° (cos 132° + cos 12°) + (cos 156° + cos 84°)
NCERT Exemplar: Trigonometric Functions | Mathematics (Maths) for JEE Main & Advanced
= 2 cos 72°.cos 60° + 2 cos 120°.cos 36°
NCERT Exemplar: Trigonometric Functions | Mathematics (Maths) for JEE Main & Advanced
= cos 72° – cos 36°
= cos (90° – 18°) – cos 36° = sin 18° – cos 36°
NCERT Exemplar: Trigonometric Functions | Mathematics (Maths) for JEE Main & Advanced
NCERT Exemplar: Trigonometric Functions | Mathematics (Maths) for JEE Main & Advanced
NCERT Exemplar: Trigonometric Functions | Mathematics (Maths) for JEE Main & Advanced
Hence, the correct option is (c).

Q.47. If tan A = NCERT Exemplar: Trigonometric Functions | Mathematics (Maths) for JEE Main & Advanced tan B =NCERT Exemplar: Trigonometric Functions | Mathematics (Maths) for JEE Main & Advanced then tan (2A + B) is equal to
(a) 1
(b) 2
(c) 3
(d) 4
Ans. (c)
Solution.
Given that: tan A = NCERT Exemplar: Trigonometric Functions | Mathematics (Maths) for JEE Main & Advanced and tan B =NCERT Exemplar: Trigonometric Functions | Mathematics (Maths) for JEE Main & Advanced 
tan 2A = NCERT Exemplar: Trigonometric Functions | Mathematics (Maths) for JEE Main & Advanced
NCERT Exemplar: Trigonometric Functions | Mathematics (Maths) for JEE Main & Advanced
So, tan 2A = NCERT Exemplar: Trigonometric Functions | Mathematics (Maths) for JEE Main & Advanced and tan B =NCERT Exemplar: Trigonometric Functions | Mathematics (Maths) for JEE Main & Advanced 
tan (2A + B) =NCERT Exemplar: Trigonometric Functions | Mathematics (Maths) for JEE Main & Advanced
NCERT Exemplar: Trigonometric Functions | Mathematics (Maths) for JEE Main & Advanced
Hence, the correct option is (c).

Q.48. The value of NCERT Exemplar: Trigonometric Functions | Mathematics (Maths) for JEE Main & Advanced is
(a) NCERT Exemplar: Trigonometric Functions | Mathematics (Maths) for JEE Main & Advanced
(b) NCERT Exemplar: Trigonometric Functions | Mathematics (Maths) for JEE Main & Advanced
(c) NCERT Exemplar: Trigonometric Functions | Mathematics (Maths) for JEE Main & Advanced
(d) 1
Ans. (c)
Solution.
NCERT Exemplar: Trigonometric Functions | Mathematics (Maths) for JEE Main & Advanced
NCERT Exemplar: Trigonometric Functions | Mathematics (Maths) for JEE Main & Advanced
= – sin 18°.sin 54°
= – sin 18°.sin (90° – 36°) = – sin 18°.cos 36°
NCERT Exemplar: Trigonometric Functions | Mathematics (Maths) for JEE Main & Advanced
NCERT Exemplar: Trigonometric Functions | Mathematics (Maths) for JEE Main & Advanced
NCERT Exemplar: Trigonometric Functions | Mathematics (Maths) for JEE Main & Advanced
Hence, the correct option is (c).

Q.49. The value of sin 50° – sin 70° + sin 10° is equal to
(a) 1
(b) 0
(c) 1/2
(d) 2
Ans. (b)
Solution.
Given expression is sin 50° – sin 70° + sin 10°
(sin 50° – sin 70°) + sin 10°= NCERT Exemplar: Trigonometric Functions | Mathematics (Maths) for JEE Main & Advanced
= 2 cos 60°.(– sin 10°) + sin 10°
NCERT Exemplar: Trigonometric Functions | Mathematics (Maths) for JEE Main & Advanced
= – sin 10° + sin 10°
= 0
Hence, the correct option is (b).

Q.50. If sin θ + cos θ = 1, then the value of sin 2θ is equal to

(a) 1
(b) 1/2
(c) 0
(d) –1
Ans. (c)
Solution.
Given that:
sin θ + cos θ = 1
Squaring both sides, we get,
⇒ (sin θ + cos θ)2 = (1)2
⇒ sin2 θ + cos2 θ + 2 sin θ cos θ = 1
⇒ 1 + sinθ = 1
⇒ sinθ = 1  1 = 0
Hence, the correct option is (c).

Q.51. If α + β =NCERT Exemplar: Trigonometric Functions | Mathematics (Maths) for JEE Main & Advanced then the value of (1 + tan α) (1 + tan β) is
(a) 1
(b) 2
(c) – 2
(d) Not defined
Ans. (b)
Solution.
Given that: NCERT Exemplar: Trigonometric Functions | Mathematics (Maths) for JEE Main & Advanced
NCERT Exemplar: Trigonometric Functions | Mathematics (Maths) for JEE Main & Advanced
⇒ tan α + tan β = 1– tan α tan β
⇒ tan α + tan β + tan α tan β = 1
On adding 1 both sides, we get,
⇒ 1 + tan α + tan β + tan α tan β = 1 + 1
⇒ 1(1 + tan α) + tan β (1 + tan α) = 2
⇒ (1 + tan α )(1 + tan β) = 2
Hence, the correct option is (b)

Q.52. If sin θ = NCERT Exemplar: Trigonometric Functions | Mathematics (Maths) for JEE Main & Advanced and θ lies in third quadrant then the value of

NCERT Exemplar: Trigonometric Functions | Mathematics (Maths) for JEE Main & Advanced is
(a) NCERT Exemplar: Trigonometric Functions | Mathematics (Maths) for JEE Main & Advanced
(b) NCERT Exemplar: Trigonometric Functions | Mathematics (Maths) for JEE Main & Advanced
(c) NCERT Exemplar: Trigonometric Functions | Mathematics (Maths) for JEE Main & Advanced
(d) NCERT Exemplar: Trigonometric Functions | Mathematics (Maths) for JEE Main & Advanced
Ans. (c)
Solution.
Given that: NCERT Exemplar: Trigonometric Functions | Mathematics (Maths) for JEE Main & Advanced lies in third quadrant
NCERT Exemplar: Trigonometric Functions | Mathematics (Maths) for JEE Main & Advanced
NCERT Exemplar: Trigonometric Functions | Mathematics (Maths) for JEE Main & Advanced
∴ NCERT Exemplar: Trigonometric Functions | Mathematics (Maths) for JEE Main & Advanced lies in third quadrant
NCERT Exemplar: Trigonometric Functions | Mathematics (Maths) for JEE Main & Advanced
NCERT Exemplar: Trigonometric Functions | Mathematics (Maths) for JEE Main & Advanced
NCERT Exemplar: Trigonometric Functions | Mathematics (Maths) for JEE Main & Advanced
NCERT Exemplar: Trigonometric Functions | Mathematics (Maths) for JEE Main & Advanced
NCERT Exemplar: Trigonometric Functions | Mathematics (Maths) for JEE Main & Advanced
NCERT Exemplar: Trigonometric Functions | Mathematics (Maths) for JEE Main & Advanced
NCERT Exemplar: Trigonometric Functions | Mathematics (Maths) for JEE Main & Advanced
Hence, the correct option is (c).

Q.53. Number of solutions of the equation tan x + sec x = 2 cosx lying in the interval [0, 2π] is
(a) 0
(b) 1
(c) 2
(d) 3

Ans. (c)
Solution.
Given equation is tan x + sec x = 2 cos x
NCERT Exemplar: Trigonometric Functions | Mathematics (Maths) for JEE Main & Advanced
⇒ 1 + sin x = 2 cos2 x
⇒ 2 cos2 x – sin x – 1 = 0
    2(1 – sin2 x) – sin x – 1 = 0
⇒ 2 – 2 sin2 x – sin x – 1 = 0
⇒ – 2 sin2 x – sin x + 1 = 0
⇒ sin2 x + sin x – 1 = 0
Since, the equation is a quadratic equation in sin x.
So it will have 2 solutions.
Hence, the correct option is (c).

Q.54. The value of NCERT Exemplar: Trigonometric Functions | Mathematics (Maths) for JEE Main & Advancedis given by
(a) NCERT Exemplar: Trigonometric Functions | Mathematics (Maths) for JEE Main & Advanced
(b) 1
(c) NCERT Exemplar: Trigonometric Functions | Mathematics (Maths) for JEE Main & Advanced
(d) NCERT Exemplar: Trigonometric Functions | Mathematics (Maths) for JEE Main & Advanced
Ans. (a) 
Solution.
The given expression is NCERT Exemplar: Trigonometric Functions | Mathematics (Maths) for JEE Main & Advanced
NCERT Exemplar: Trigonometric Functions | Mathematics (Maths) for JEE Main & Advanced
NCERT Exemplar: Trigonometric Functions | Mathematics (Maths) for JEE Main & Advanced
NCERT Exemplar: Trigonometric Functions | Mathematics (Maths) for JEE Main & Advanced
NCERT Exemplar: Trigonometric Functions | Mathematics (Maths) for JEE Main & Advanced
Hence, the correct option is (a).

Q.55. If A lies in the second quadrant and 3 tan A + 4 = 0, then the value of 2 cot A  –  5 cos A + sin A is equal to
(a) NCERT Exemplar: Trigonometric Functions | Mathematics (Maths) for JEE Main & Advanced
(b) NCERT Exemplar: Trigonometric Functions | Mathematics (Maths) for JEE Main & Advanced
(c) NCERT Exemplar: Trigonometric Functions | Mathematics (Maths) for JEE Main & Advanced
(d) NCERT Exemplar: Trigonometric Functions | Mathematics (Maths) for JEE Main & Advanced
Ans. (b)
Solution.
 Given that: 3 tan A + 4 = 0, A lies in second quadrant
NCERT Exemplar: Trigonometric Functions | Mathematics (Maths) for JEE Main & Advanced
NCERT Exemplar: Trigonometric Functions | Mathematics (Maths) for JEE Main & Advanced
[A lies in second quadrant]
NCERT Exemplar: Trigonometric Functions | Mathematics (Maths) for JEE Main & Advanced
and NCERT Exemplar: Trigonometric Functions | Mathematics (Maths) for JEE Main & Advanced
∴ 2 cot A – 5 cos A + sin A
NCERT Exemplar: Trigonometric Functions | Mathematics (Maths) for JEE Main & Advanced
NCERT Exemplar: Trigonometric Functions | Mathematics (Maths) for JEE Main & Advanced
Hence, the correct option is (b).

Q.56. The value of cos2 48° – sin2 12° is
(a) NCERT Exemplar: Trigonometric Functions | Mathematics (Maths) for JEE Main & Advanced
(b) NCERT Exemplar: Trigonometric Functions | Mathematics (Maths) for JEE Main & Advanced
(c) NCERT Exemplar: Trigonometric Functions | Mathematics (Maths) for JEE Main & Advanced
(d) NCERT Exemplar: Trigonometric Functions | Mathematics (Maths) for JEE Main & Advanced
[Hint:  Use cos2 A – sin2 B = cos (A + B) cos (A – B)]
Ans. (a)
Solution.
Given expression is cos48° – sin2 12°
cos2 48° – sin2 12° = cos (48° + 12°).cos (48° – 12°)
[∵ cos2 A – sin2 B = cos (A + B).cos (A – B)]
= cos 60°.cos 36°
NCERT Exemplar: Trigonometric Functions | Mathematics (Maths) for JEE Main & Advanced
Hence, the correct option is (a).

Q.57. If tan α =NCERT Exemplar: Trigonometric Functions | Mathematics (Maths) for JEE Main & Advanced  tan β =NCERT Exemplar: Trigonometric Functions | Mathematics (Maths) for JEE Main & Advanced then cos 2α is equal to
(a) sin 2β
(b) sin 4β
(c) sin 3β
(d) cos 2β
Ans. (b)
Solution.
Given that: NCERT Exemplar: Trigonometric Functions | Mathematics (Maths) for JEE Main & Advanced
NCERT Exemplar: Trigonometric Functions | Mathematics (Maths) for JEE Main & Advanced
NCERT Exemplar: Trigonometric Functions | Mathematics (Maths) for JEE Main & Advanced
Now NCERT Exemplar: Trigonometric Functions | Mathematics (Maths) for JEE Main & Advanced
NCERT Exemplar: Trigonometric Functions | Mathematics (Maths) for JEE Main & Advanced
NCERT Exemplar: Trigonometric Functions | Mathematics (Maths) for JEE Main & Advanced
NCERT Exemplar: Trigonometric Functions | Mathematics (Maths) for JEE Main & Advanced
cos 2α = sin 4β =NCERT Exemplar: Trigonometric Functions | Mathematics (Maths) for JEE Main & Advanced
Hence, the correct option is (b).

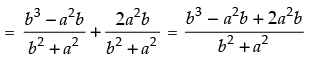
Q.58. If tan θ = NCERT Exemplar: Trigonometric Functions | Mathematics (Maths) for JEE Main & Advanced  then b cos 2θ  + a sin 2θ  is equal to
(a) a
(b) b
(c) a/b

(d) None
Ans. (b)
Solution.
Given that: NCERT Exemplar: Trigonometric Functions | Mathematics (Maths) for JEE Main & Advanced
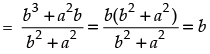
b cos  +  a sin NCERT Exemplar: Trigonometric Functions | Mathematics (Maths) for JEE Main & Advanced
NCERT Exemplar: Trigonometric Functions | Mathematics (Maths) for JEE Main & Advanced
NCERT Exemplar: Trigonometric Functions | Mathematics (Maths) for JEE Main & Advanced
NCERT Exemplar: Trigonometric Functions | Mathematics (Maths) for JEE Main & Advanced
NCERT Exemplar: Trigonometric Functions | Mathematics (Maths) for JEE Main & Advanced
Hence, the correct option is (b).

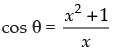
Q.59. If for real values of x, cos θ =NCERT Exemplar: Trigonometric Functions | Mathematics (Maths) for JEE Main & Advanced then
(a) θ is an acute angle
(b) θ is right angle
(c) θ is an obtuse angle
(d) No value of θ is possible
Ans. (d)
Solution.
Given that: NCERT Exemplar: Trigonometric Functions | Mathematics (Maths) for JEE Main & Advanced
NCERT Exemplar: Trigonometric Functions | Mathematics (Maths) for JEE Main & Advanced
⇒ x2 + 1 =  x cos θ
 x2  x cos θ + 1 = 0
For real value of x, b2  4ac  0
⇒ (- cos θ)2  4 × 1 × 1  0
⇒ cos2 θ  4  0
 cos2 θ  4
⇒ cos θ  2 [- 1  cos θ  1]
So, the value of θ is not possible.
Hence, the correct options (d).

Fill in the blanks

Q.60. The value of NCERT Exemplar: Trigonometric Functions | Mathematics (Maths) for JEE Main & Advancedis _______ .
Ans. 
NCERT Exemplar: Trigonometric Functions | Mathematics (Maths) for JEE Main & Advanced
Hence, the value of filler is 1.

Q.61. If k =NCERT Exemplar: Trigonometric Functions | Mathematics (Maths) for JEE Main & Advanced then the numerical value of k is _______.
Ans. 
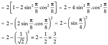
Given that: k = NCERT Exemplar: Trigonometric Functions | Mathematics (Maths) for JEE Main & Advanced
⇒ k = sin 10°. Sin 50°. Sin 70°
⇒ k = sin 10° sin (90° -  40°) sin (90° - 20°)
⇒ k = sin 10° cos 40° cos 20°
NCERT Exemplar: Trigonometric Functions | Mathematics (Maths) for JEE Main & Advanced
NCERT Exemplar: Trigonometric Functions | Mathematics (Maths) for JEE Main & Advanced
NCERT Exemplar: Trigonometric Functions | Mathematics (Maths) for JEE Main & Advanced
NCERT Exemplar: Trigonometric Functions | Mathematics (Maths) for JEE Main & Advanced
NCERT Exemplar: Trigonometric Functions | Mathematics (Maths) for JEE Main & Advanced
NCERT Exemplar: Trigonometric Functions | Mathematics (Maths) for JEE Main & Advanced
Hence, the value of the filler is NCERT Exemplar: Trigonometric Functions | Mathematics (Maths) for JEE Main & Advanced

Q.62. If tan A =NCERT Exemplar: Trigonometric Functions | Mathematics (Maths) for JEE Main & Advanced, then tan 2A = _______.
Ans.
Given that: tan A = NCERT Exemplar: Trigonometric Functions | Mathematics (Maths) for JEE Main & Advanced
NCERT Exemplar: Trigonometric Functions | Mathematics (Maths) for JEE Main & Advanced
NCERT Exemplar: Trigonometric Functions | Mathematics (Maths) for JEE Main & Advanced
NCERT Exemplar: Trigonometric Functions | Mathematics (Maths) for JEE Main & Advanced
So, tan 2A = tan B
Hence, the value of the filler is tan B.

Q.63. If sin x + cos x = a, then
(i) sinx + cos6x = _______
(ii) | sin x – cos x | = _______.
Ans. 
Given that: sin x + cos x = a
Squaring both sides, we get,
(sin x + cos x)2 = a2
⇒ sin2 x + cos2 x + 2 sin x cos x = a2
⇒ 1 + 2 sin x cos x = a2
⇒ sin x cos x = NCERT Exemplar: Trigonometric Functions | Mathematics (Maths) for JEE Main & Advanced ...(i)
(i) sin6 x + cos6 x = (sin2 x)3 + (cos2 x)3
= (sin2 x + cos2 x)3 – 3 sin2 x cos2 x(sin2 x + cos2 x)
NCERT Exemplar: Trigonometric Functions | Mathematics (Maths) for JEE Main & Advanced
NCERT Exemplar: Trigonometric Functions | Mathematics (Maths) for JEE Main & Advanced
Hence, the value of the filler is NCERT Exemplar: Trigonometric Functions | Mathematics (Maths) for JEE Main & Advanced
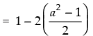
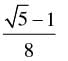
(ii) |sin x  cos x|2 = sin2 x + cos2 x   2 sin x cos x
NCERT Exemplar: Trigonometric Functions | Mathematics (Maths) for JEE Main & Advanced
= 1 – (a2 – 1)
= 1 – a2 + 1
= 2  a2
    |sin x  cos x| = NCERT Exemplar: Trigonometric Functions | Mathematics (Maths) for JEE Main & Advanced   
NCERT Exemplar: Trigonometric Functions | Mathematics (Maths) for JEE Main & Advanced
Hence, the value of the filler is NCERT Exemplar: Trigonometric Functions | Mathematics (Maths) for JEE Main & Advanced

Q.64. In a triangle ABC with ∠C = 90° the equation whose roots are tan A and tan B is _______.
[Hint: A + B = 90° ⇒ tan A tan B = 1 and tan A + tan B = NCERT Exemplar: Trigonometric Functions | Mathematics (Maths) for JEE Main & Advanced
Ans. 
Given a ΔABC with ∠C = 90°
x2    (tan A + tan B)x + tan A.tan B = 0
A + B = 90°  [∵  ∠C = 90°]
⇒ tan (A + B) = tan 90°
NCERT Exemplar: Trigonometric Functions | Mathematics (Maths) for JEE Main & Advanced
 1 – tan A tan B = 0
 tan A tan B = 1……(i)
Now tan A + tan B = NCERT Exemplar: Trigonometric Functions | Mathematics (Maths) for JEE Main & Advanced
NCERT Exemplar: Trigonometric Functions | Mathematics (Maths) for JEE Main & Advanced
∴ tan A + tan B =NCERT Exemplar: Trigonometric Functions | Mathematics (Maths) for JEE Main & Advanced……(ii)
From (i) and (ii) we get
NCERT Exemplar: Trigonometric Functions | Mathematics (Maths) for JEE Main & Advanced
Hence, the value of the filler is NCERT Exemplar: Trigonometric Functions | Mathematics (Maths) for JEE Main & Advanced

Q.65. 3 (sin x – cos x)4 + 6 (sin x + cos x)2 + 4 (sin6 x + cos6 x) = ______.
Ans. 
Given expression is 3(sin x – cos x)4 + 6(sin x + cos x)2 + 4(sin6 x + cos6 x)
= 3[sin2 x + cos2 x – 2 sin x cos x]2 + 6(sin2 x + cos2 x + 2 sin x cos x) + 4 [(sin2 x)3 + (cos2 x)3]
= 3[1 – 2 sin x cos x]2 + 6(1 + 2 sin x cos x) + 4[(sin2 x + cos2 x)3 – 3 sinx cos2 x (sin2 x + cos2 x)]
= 3[1 + 4 sinx cos2 x – 4 sin x cos x] + 6(1 + 2 sin x cos x) + 4[1 – 3 sin2 x cos2 x]
= 3 + 12 sin2 x cos2 x – 12 sin x cos x + 6 + 12 sin x cos x + 4 – 12 sin2 x cos2 x
= 3 + 6 + 4 = 13
Hence, the value of the filler is 13.

Q.66. Given x > 0, the values of f (x) = – 3 cos NCERT Exemplar: Trigonometric Functions | Mathematics (Maths) for JEE Main & Advanced lie in the interval _______.
Ans. 
Given that: f(x) =NCERT Exemplar: Trigonometric Functions | Mathematics (Maths) for JEE Main & Advanced
Put NCERT Exemplar: Trigonometric Functions | Mathematics (Maths) for JEE Main & Advanced
 f(x) = - 3 cos y
 - 1  cos y  1
3  - 3 cos y  -3
⇒ - 3  - 3 cos y  3
 - 3  - 3 cos ≤ NCERT Exemplar: Trigonometric Functions | Mathematics (Maths) for JEE Main & Advanced, x > 0
Hence, the value of the filler is [– 3, 3].

Q.67. The maximum distance of a point on the graph of the function y = √3 sin x + cos x from x-axis is _______.
Ans.
Given that y = √3 sin x + cos x ...(i)
∴ The maximum distance from a point on the graph of eqn. (i) from x-axis
NCERT Exemplar: Trigonometric Functions | Mathematics (Maths) for JEE Main & Advanced
Hence, the value of the filler is 2.

state whether the statements is True or False? Also give justification.
Q.68. If tan A =NCERT Exemplar: Trigonometric Functions | Mathematics (Maths) for JEE Main & Advanced then tan 2A = tan B
Ans. 
Given that: tan A NCERT Exemplar: Trigonometric Functions | Mathematics (Maths) for JEE Main & Advanced
tan 2A = NCERT Exemplar: Trigonometric Functions | Mathematics (Maths) for JEE Main & Advanced
∴ tan 2A = tan B
Hence, the statement is ‘True’.

Q.69. The equality sin A + sin 2A + sin 3A = 3 holds for some real value of A.
Ans. 
Given that: sin A + sin 2A + sin 3A = 3
Since the maximum value of sin A is 1 but for sin 2A
and sin 3A it is not equal to 1. So it is not possible.
Hence, the given statement is ‘False’.

Q.70. Sin 10° is greater than cos 10°.

Ans. 
If sin 10° > cos 10°
⇒ sin 10° > cos (90° – 80°)
⇒sin 10° > sin 80°
which is not possible.
Hence, the statement is ‘False’.

Q.71. NCERT Exemplar: Trigonometric Functions | Mathematics (Maths) for JEE Main & Advanced
Ans. 
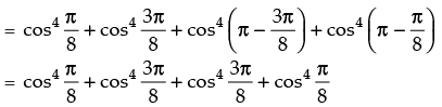
 L.H.S. NCERT Exemplar: Trigonometric Functions | Mathematics (Maths) for JEE Main & Advanced
= cos 24°.cos 48°.cos 96°.cos 192°
NCERT Exemplar: Trigonometric Functions | Mathematics (Maths) for JEE Main & Advanced[(2 sin 24 cos 24 )(2 cos 48 )(2 cos 96 )(2 cos 192 )]
NCERT Exemplar: Trigonometric Functions | Mathematics (Maths) for JEE Main & Advanced[sin 48 .2 cos 48 (2 cos 96 )(2 cos 192 )]
NCERT Exemplar: Trigonometric Functions | Mathematics (Maths) for JEE Main & Advanced[2 sin 48 cos 48 (2 cos 96 )(2 cos 192 )]
NCERT Exemplar: Trigonometric Functions | Mathematics (Maths) for JEE Main & Advanced[sin 96 (2 cos 96 )(2 cos 192 )]
NCERT Exemplar: Trigonometric Functions | Mathematics (Maths) for JEE Main & Advanced[2 sin 96 . cos 96 (2 cos 192 )]
NCERT Exemplar: Trigonometric Functions | Mathematics (Maths) for JEE Main & Advanced [sin 192 .(2 cos 192 )]
NCERT Exemplar: Trigonometric Functions | Mathematics (Maths) for JEE Main & Advanced2 sin 192 cos 192
NCERT Exemplar: Trigonometric Functions | Mathematics (Maths) for JEE Main & Advanced
NCERT Exemplar: Trigonometric Functions | Mathematics (Maths) for JEE Main & Advanced [∵ sin (360° + θ) = sin θ]
NCERT Exemplar: Trigonometric Functions | Mathematics (Maths) for JEE Main & Advanced R.H.S.
Hence, the given statement is ‘True’.

Q.72. One value of θ which satisfies the equation sin4 θ – 2sin2 θ – 1 lies between 0 and 2π.
Ans. Given equation is
sin4 θ – 2 sin2 θ – 1 = 0
NCERT Exemplar: Trigonometric Functions | Mathematics (Maths) for JEE Main & Advanced
NCERT Exemplar: Trigonometric Functions | Mathematics (Maths) for JEE Main & Advanced
= 1 ± √2
∴ sin2 θ = (1 + √2 ) or (1 - √2 )
⇒ - 1 ≤ sin q ≤ 1
⇒ sin2 θ ≤  1 but sin2 θ = (1 + √2 ) or (1 - √2 )
Which is not possible.
Hence, the given statement is ‘False’.

Q.73. If cosec x = 1 + cot x then x = 2nπ, 2nπ +NCERT Exemplar: Trigonometric Functions | Mathematics (Maths) for JEE Main & Advanced
Ans. 
Given that: cosec x = 1 + cot x
NCERT Exemplar: Trigonometric Functions | Mathematics (Maths) for JEE Main & Advanced
NCERT Exemplar: Trigonometric Functions | Mathematics (Maths) for JEE Main & Advanced
⇒ sin x + cos x = 1
NCERT Exemplar: Trigonometric Functions | Mathematics (Maths) for JEE Main & Advanced
NCERT Exemplar: Trigonometric Functions | Mathematics (Maths) for JEE Main & Advanced
NCERT Exemplar: Trigonometric Functions | Mathematics (Maths) for JEE Main & Advanced
NCERT Exemplar: Trigonometric Functions | Mathematics (Maths) for JEE Main & Advanced
NCERT Exemplar: Trigonometric Functions | Mathematics (Maths) for JEE Main & Advanced
or NCERT Exemplar: Trigonometric Functions | Mathematics (Maths) for JEE Main & Advanced
Hence, the given statement is ‘True’.

Q.74. If tan θ + tan 2θ + √3 tan θ tan 2θ = √3 , then NCERT Exemplar: Trigonometric Functions | Mathematics (Maths) for JEE Main & Advanced
Ans.
Given that:tan θ + tan 2θ + √3 tan θ tan 2θ = √3
⇒ tan θ + tan 2θ = √3 - √3 tan θ tan 2θ
⇒ tan θ + tan 2θ = √3 (1 - tan θ tan 2θ)
NCERT Exemplar: Trigonometric Functions | Mathematics (Maths) for JEE Main & Advanced
⇒ tan (θ + 2θ) = √3
NCERT Exemplar: Trigonometric Functions | Mathematics (Maths) for JEE Main & Advanced
So NCERT Exemplar: Trigonometric Functions | Mathematics (Maths) for JEE Main & Advanced
Hence, the given statement is ‘True’.

Q.75. If tan (π cosθ) = cot (π sinθ), thenNCERT Exemplar: Trigonometric Functions | Mathematics (Maths) for JEE Main & Advanced
Ans.
Given that: tan (π cos θ) = cot (π sin θ)
NCERT Exemplar: Trigonometric Functions | Mathematics (Maths) for JEE Main & Advanced
NCERT Exemplar: Trigonometric Functions | Mathematics (Maths) for JEE Main & Advanced
NCERT Exemplar: Trigonometric Functions | Mathematics (Maths) for JEE Main & Advanced
NCERT Exemplar: Trigonometric Functions | Mathematics (Maths) for JEE Main & Advanced
Hence, the given statement is ‘True’.

Q.76. In the following match each item given under the column C1 to its correct answer given under the column C2 :

(a) sin (x + y) sin (x – y)
(i) cos2 x – sin2 y
(b) cos (x + y) cos (x – y) 
NCERT Exemplar: Trigonometric Functions | Mathematics (Maths) for JEE Main & Advanced 
NCERT Exemplar: Trigonometric Functions | Mathematics (Maths) for JEE Main & Advanced 
NCERT Exemplar: Trigonometric Functions | Mathematics (Maths) for JEE Main & Advanced 
NCERT Exemplar: Trigonometric Functions | Mathematics (Maths) for JEE Main & Advanced 
 (iv) sin2 x – sin2 y

Ans. 
(a) sin (x + y) sin (x  y) = sin2 x  sin2 y
 (a)↔(iv)
(b) cos (x + y) cos (x  y) = cos2 x  cos2 y
 (b)  (i)
(c) NCERT Exemplar: Trigonometric Functions | Mathematics (Maths) for JEE Main & Advanced
NCERT Exemplar: Trigonometric Functions | Mathematics (Maths) for JEE Main & Advanced
 (c)  (ii)
(d) NCERT Exemplar: Trigonometric Functions | Mathematics (Maths) for JEE Main & Advanced
 (d)  (iii)
Hence,
(a)  (iv)
(b) ↔ (i)
(c) ↔ (ii)
(d) ↔ (iii).

The document NCERT Exemplar: Trigonometric Functions | Mathematics (Maths) for JEE Main & Advanced is a part of the JEE Course Mathematics (Maths) for JEE Main & Advanced.
All you need of JEE at this link: JEE
172 videos|503 docs|154 tests

FAQs on NCERT Exemplar: Trigonometric Functions - Mathematics (Maths) for JEE Main & Advanced

1. What are trigonometric functions and why are they important in mathematics?
Ans. Trigonometric functions are mathematical functions that relate the angles of a triangle to the lengths of its sides. The primary trigonometric functions are sine (sin), cosine (cos), and tangent (tan). They are important in mathematics because they are used in various fields such as physics, engineering, and computer graphics to analyze periodic phenomena, model waveforms, and solve problems involving angles and distances.
2. How can I find the values of trigonometric functions for common angles?
Ans. The values of trigonometric functions for common angles like 0°, 30°, 45°, 60°, and 90° can be found using a unit circle or by memorizing the standard values. For example, sin(30°) = 1/2, cos(60°) = 1/2, and tan(45°) = 1. These values are often presented in trigonometric tables or can be derived from the properties of special triangles.
3. What is the significance of the unit circle in trigonometry?
Ans. The unit circle is a circle with a radius of one centered at the origin of a coordinate system. It is significant in trigonometry because it provides a geometric representation of trigonometric functions. The coordinates of points on the unit circle correspond to the values of cosine and sine for the angles measured from the positive x-axis, helping to visualize the relationships between angles and side lengths.
4. How do the graphs of trigonometric functions look, and what are their key characteristics?
Ans. The graphs of trigonometric functions such as sine, cosine, and tangent are periodic and have distinct shapes. The sine and cosine graphs oscillate between -1 and 1, with a period of 2π. The tangent graph has a period of π and has vertical asymptotes where the function is undefined. Key characteristics include amplitude, frequency, and phase shift, which can be adjusted by modifying the function's equation.
5. What are some practical applications of trigonometric functions in real life?
Ans. Trigonometric functions have numerous practical applications in real life. They are used in architecture to calculate structural loads and angles, in navigation for determining positions and distances, in computer graphics for rendering curves and animations, and in physics for analyzing waves and oscillations. Their applications extend to fields like astronomy, engineering, and even music for sound wave analysis.
Related Searches

Extra Questions

,

ppt

,

study material

,

Objective type Questions

,

Important questions

,

NCERT Exemplar: Trigonometric Functions | Mathematics (Maths) for JEE Main & Advanced

,

Summary

,

pdf

,

video lectures

,

Free

,

shortcuts and tricks

,

practice quizzes

,

Semester Notes

,

MCQs

,

mock tests for examination

,

Sample Paper

,

NCERT Exemplar: Trigonometric Functions | Mathematics (Maths) for JEE Main & Advanced

,

Exam

,

Previous Year Questions with Solutions

,

Viva Questions

,

past year papers

,

NCERT Exemplar: Trigonometric Functions | Mathematics (Maths) for JEE Main & Advanced

;