Q2: Write the various matters that need adjustments at the time of retirement of partner/partners.
Ans: The following matters need adjustment at the time of retirement of a partner or partners:
1. Calculation of the new profit-sharing ratio of the remaining partners.
2. Determination of the gaining ratio of those partners who acquire the retiring partner's share.
3. Valuation of goodwill of the firm and its accounting treatment for the retiring partner's share.
4. Revaluation (or re-assessment) of assets and liabilities of the firm to ascertain true values.
5. Distribution or settlement of accumulated profits, losses and reserves among partners (including the retiring partner where applicable).
6. Treatment of Joint Life Policy and its proceeds, if any.
7. Settlement of the amount due to the retiring partner (by cash, loan, or instalments).
8. Adjustment of capital accounts of the continuing partners to reflect their new profit shares.
Q3: Distinguish between sacrificing ratio and gaining ratio.
Ans:

Explanation:
Sacrificing Ratio is the ratio in which existing partners give up a portion of their share in favour of a new or continuing partner. It shows how much each old partner sacrifices of his/her old share.
Gaining Ratio is the ratio in which the remaining partners gain from the retiring partner's share. It shows how much each continuing partner's share increases after reconstitution.
Key points:
- Sacrificing ratio = Old share - New share (for existing partners when a new partner is admitted).
- Gaining ratio = New share - Old share (for remaining partners when a partner retires or dies).
- Both ratios are used to adjust goodwill and capital accounts on reconstitution.
Q4: Why do firms revalue assets and reassess their liabilities on retirement or on the event of death of a partner?
Ans: At the time of retirement or on the death of a partner, revaluation of assets and reassessment of liabilities is required to determine the true financial position of the firm. Values of assets and liabilities may have changed since they were last recorded. Some assets or liabilities may have been omitted earlier. Revaluation ensures:
- That the retiring/deceased partner receives his/her fair share of the accumulated profits or losses up to the date of retirement/death.
- That any gains or losses due to change in valuation are fairly borne by all partners in their old profit-sharing ratio.
Q5: Why is a retiring/deceased partner entitled to a share of goodwill of the firm?
Ans: Goodwill is an intangible asset created by the firm's reputation, customer base and past efforts of partners. After a partner retires or dies, the continuing partners will enjoy future benefits arising from past reputation and business connections. Therefore, the retiring or deceased partner is entitled to a share of the firm's goodwill as compensation for the portion of value created while he/she was a partner. This share is settled through capital or cash as per agreement.
Q1: Explain the modes of payment to a retiring partner.
Ans: The common modes of payment to a retiring partner are as follows:
(1) Lump-sum payment on retirement date:
If the retiring partner is paid the whole amount due immediately, the retiring partner's capital is cleared and cash (or bank) is paid. Journal entries:
Retiring Partner's Capital A/c Dr.
To Cash/Bank A/c
(Being retiring partner paid in cash)
Or, if his capital is converted into a loan (not paid immediately):
Retiring Partner's Capital A/c Dr.
To Retiring Partner's Loan A/c
(Being retiring partner's capital transferred to loan account at agreed rate of interest)
(2) Payment in instalments:
If the amount due is payable in equal instalments, the retiring partner's capital is transferred to a loan account and the firm pays instalments along with interest on the outstanding balance.
Journal entry on transfer:
Retiring Partner's Capital A/c Dr.
To Retiring Partner's Loan A/c
(Being balance in capital transferred to loan account at agreed interest rate)
Later entries record each instalment paid and interest charged to profit and loss as appropriate.
(3) Part cash and part instalment:
If part of the amount is paid immediately and the balance is converted into a loan, the journal entry is:
Retiring Partner's Capital A/c (with the total amount due to the retiring partner) Dr.
To Retiring Partner's Loan A/c (with the amount transferred to the partner's loan account)
To Cash A/c (with the amount paid in cash immediately on the date of retirement)
(Being retiring partner partly paid in cash and balance transferred to loan account)
Notes:
- Interest on the retiring partner's loan is charged at the agreed rate.
- If sufficient cash is not available, payment by instalments is common and the remaining balance appears as a liability (loan) in the firm's books.
Q2: How will you compute the amount payable to a deceased partner?
Ans: The amount payable to the legal executor of a deceased partner is the balance standing to the partner's capital account after posting all relevant items. The computation is carried out in two steps by preparing the deceased partner's capital account.
Step 1: Items to be placed on the debit side of deceased partner's capital account (i.e. amounts due to the deceased/executors)
(a) Credit balance of deceased partner's capital/current account (if shown).
(b) Deceased partner's share of profit up to the date of death.
(c) Deceased partner's share of goodwill (if payable by the firm).
(d) Deceased partner's share of accumulated reserves and profits.
(e) Deceased partner's share in any gain on revaluation of assets and liabilities.
(f) Deceased partner's share of Joint Life Policy proceeds, if applicable.
(g) Interest on capital up to the date of death, if entitled.
(h) Salary or commission due up to the date of death, if any.
Step 2: Items to be placed on the credit side of deceased partner's capital account (i.e. amounts to be deducted)
(a) Debit balance of deceased partner's capital/current account (if any).
(b) Drawings made by the deceased partner up to date of death.
(c) Interest on drawings up to the date of death, if chargeable.
(d) Deceased partner's share of loss on revaluation of assets and liabilities.
(e) Deceased partner's share of loss for the period up to death.
(f) Deceased partner's share in accumulated losses, if any.
The legal executor is entitled to the balancing figure - i.e. the excess of debit items (amounts due to the deceased) over credit items (amounts due from the deceased). This balance is then settled as per terms (cash/instalments/loan).

Q3: Explain the treatment of goodwill at the time of retirement or on the event of death of a partner?
Ans: On retirement or death of a partner, goodwill is adjusted so that the retiring or deceased partner receives his/her share of past earnings. As per Accounting Standard 10, goodwill is recorded in the books only when consideration in money or money's worth has been paid for it. In practice, treatment depends on whether goodwill already appears in the books or not.
Two situations arise:
Situation 1: Goodwill already appears in the books
Step 1: Write off existing goodwill
If goodwill is shown in the balance sheet, write it off by debiting all partners' capital accounts in their old profit-sharing ratio and crediting Goodwill A/c:
All Partners' Capital A/c Dr.
To Goodwill A/c
(Being existing goodwill written off among partners in old ratio.)
Step 2: Adjust retiring/deceased partner's share of goodwill among remaining partners
After writing off, the gaining partners compensate the retiring/deceased partner by transferring their gaining share to the retiring/deceased partner's capital account:
Remaining Partner's Capital A/c Dr.
To Retiring/Deceased Partner's Capital A/c
(Being the share of goodwill borne by gaining partners and credited to retiring/deceased partner.)
Situation 2: No goodwill appears in the books
When goodwill is not recorded, the gaining partners directly compensate the retiring/deceased partner by debiting their capital accounts in the gaining ratio and crediting the retiring/deceased partner's capital account:
Remaining Partner's Capital A/c Dr.
To Retiring/Deceased Partner's Capital A/c
(Being retiring/deceased partner's share of goodwill adjusted through partners' capital accounts.)
In both situations, the net effect is that the retiring/deceased partner receives his/her share of goodwill from those partners who gain in the new profit-sharing arrangement.
Q4: Discuss the various methods of computing the share in profits in the event of death of a partner.
Ans: If a partner dies during the year, his/her executor is entitled to the partner's share of profit up to the date of death. Two common methods to compute this share are:
1) On time basis:
Under this method, profit for the period up to the date of death is calculated on the basis of last year's profit or the average profit of a number of previous years. It assumes profit accrues uniformly through the year. The deceased partner's share is then: proportion of the year elapsed × last year's (or average) profit × deceased partner's profit share.
Example given in the text shows calculation for four months using average profit of last three years.

2) On sale basis:
Under this method, profit is estimated in proportion to sales made up to the date of death, using the previous year's net profit margin. The deceased partner's share = (Last year's profit ÷ Last year's sales) × Sales up to date of death × deceased partner's share.
This method is preferred when sales vary significantly during the year and profit is closely linked to sales.

Example in the text illustrates calculation using last year's profit margin and current period sales.

Ans:

Working Notes:
1. Manisha's share in goodwill:
Total goodwill of the firm × Retiring Partner's Share

2. Gaining Ratio = New Ratio - Old Ratio

Gaining Ratio between Aparna and Sonia = 3 : 7
3. Aparna's share in goodwill

Sonia's share in goodwill

Q2: Sangeeta, Saroj and Shanti are partners sharing profits in the ratio of 2 : 3 : 5. Goodwill is appearing in the books at a value of Rs. 60,000. Sangeeta retires and goodwill is valued at Rs. 90,000. Saroj and Shanti decided to share future profits equally. Record necessary journal entries.
Ans:

Working Notes:
1. Sangeeta's share of goodwill.
Total goodwill of the firm x Retiring Partner's share =
2. Gaining Ratio = New Ratio - Old Ratio

Q3: Himanshu, Gagan and Naman are partners sharing profits and losses in the ratio of 3 : 2 : 1. On March 31, 2019, Naman retires. The various assets and liabilities of the firm on the date were as follows: Cash Rs. 10,000, Building Rs. 1,00,000, Plant and Machinery Rs. 40,000, Stock Rs. 20,000, Debtors Rs. 20,000 and Investments Rs. 30,000.
The following was agreed upon between the partners on Naman's retirement:
(i) Building to be appreciated by 20%.
(ii) Plant and Machinery to be depreciated by 10%.
(iii) A provision of 5% on debtors to be created for bad and doubtful debts.
(iv) Stock was to be valued at Rs. 18,000 and Investment at Rs. 35,000.
Record the necessary journal entries to the above effect and prepare the revaluation account.
Ans:


Q4: Naresh, Raj Kumar and Bishwajeet are equal partners. Raj Kumar decides to retire. On the date of his retirement, the Balance Sheet of the firm showed the following: General Reserves Rs 36,000 and Profit and Loss Account (Dr.) Rs 15,000.
Pass the necessary journal entries to the above effect.
Ans:

Q5 : Digvijay, Brijesh and Parakaram were partners in a firm sharing profits in the ratio of 2 : 2 : 1. Their Balance Sheet as on March 31, 2020 was as follows:

Brijesh retired on March 31, 2020 on the following terms:
(i) Goodwill of the firm was valued at Rs 70,000 and was not to appear in the books.
(ii) Bad debts amounting to Rs 2,000 were to be written off.
(iii) Patents were considered as valueless.
Prepare Revaluation Account, Partners' Capital Accounts and the Balance Sheet of Digvijay and Parakaram after Brijesh's retirement.
Ans:



Note: As sufficient balance is not available to pay the amount due to Brijesh, the balance of his Capital Account transferred to his Loan Account.
Working Note:
1. Brijesh's Share of Goodwill
Total goodwill of the firm ' Retiring Partner's Share 
2. Gaining Ratio = New Ratio - Old Ratio

Gaining ratio between Digvijay and Parakaram = 4 : 2 or 2 : 1
Q6: Radha, Sheela and Meena were in partnership sharing profits and losses in the proportion of 3:2:1. On April 1, 2019, Sheela retires from the firm. On that date, their Balance Sheet was as follows:

The terms were:
(a) Goodwill of the firm was valued at Rs 13,000.
(b) Expenses owing to be brought down to Rs 3,750.
(c) Machinery and Loose Tools are to be valued at 10% less than their book
value.
(d) Factory premises are to be revalued at Rs 24,300.
Prepare:
1. Revaluation account
2. Partner's capital accounts and
3. Balance sheet of the firm after retirement of Sheela.
Ans:



Working Notes:
(1) Sheela's share of goodwill
Total goodwill of the firm × Retiring Partner's share
(2) Gaining Ratio = New Ratio - Old Ratio
Q7: Pankaj, Naresh and Saurabh are partners sharing profits in the ratio of 3 : 2 : 1. Naresh retired from the firm due to his illness on Septmber 30, 2017. On that date the Balance Sheet of the firm was as follows:

Additional Information
(i) Premises have appreciated by 20%, stock depreciated by 10% and provision for doubtful debts was to be made 5% on debtors. Further, provision for legal damages is to be made for Rs 1,200 and furniture to be brought up to Rs 45,000.
(The amount of Rs 450 that is being given in the book for furniture is a mistake, as it should be Rs 45,000)
(ii) Goodwill of the firm be valued at Rs 42,000.
(iii) Rs 26,000 from Naresh's Capital account be transferred to his loan account and balance be paid through bank; if required, necessary loan may be obtained from Bank.
(iv) New profit sharing ratio of Pankaj and Saurabh is decided to be 5:1.
Give the necessary ledger accounts and balance sheet of the firm after Naresh's retirement.
Ans:



Q8: Puneet, Pankaj and Pammy are partners in a business sharing profits and losses in the ratio of 2 : 2 : 1 respectively. Their balance sheet as on March 31, 2019 was as follows:

Mr. Pammy died on September 30, 2017. The partnership deed provided the following:
(i) The deceased partner will be entitled to his share of profit up to the date of death calculated on the basis of previous year's profit.
(ii) He will be entitled to his share of goodwill of the firm calculated on the basis of 3 years' purchase of average of last 4 years' profit. The profits for the last four financial years are given below: for 2015-16; Rs. 80,000; for 2016-17, Rs. 50,000; for 2017-18, Rs. 40,000; for 2018-19, Rs. 30,000.
The drawings of the deceased partner up to the date of death amounted to Rs 10,000. Interest on capital is to be allowed at 12% per annum.
Surviving partners agreed that Rs 15,400 should be paid to the executors immediately and the balance in four equal yearly instalments with interest at 12% p.a. on outstanding balance.
Show Mr. Pammy's Capital account, his Executor's account till the settlement of the amount due.
Ans:



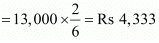
Working Notes:
(1) Pammy's Share of Profit
Previous Year's Profit x Proportionate Period x Share of Deceased Partner
(2) Pammy's Share of Goodwill
Goodwill of the firm = Average Profit x Numbers of Year's Purchase
Average Profit
Goodwill of the firm = 50,000 x 3 = Rs 1,50,000
(3) Gaining Ratio = New Ratio - Old Ratio
Gaining Ratio between Puneet and Pankaj = 2 : 2 or 1 : 1
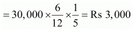
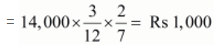
(4) Interest on Capital for 6 months, i.e. from April 1, 2007 to September 30, 2007
Amount of Capital x Rate of Interest x Period
(5) Interest AmountThe firm closes its books every year on March 31, while installments to Pammy's Executor are paid on September 30 every year.
Amount outstanding on 30 September = 75,400 - 15,400 = Rs 60,000

Q9 : Following is the Balance Sheet of Prateek, Rockey and Kushal as on March 31, 2020.

Rockey died on June 30, 2020. Under the terms of the partnership deed, the executors of a deceased partner were entitled to:
(a) Amount standing to the credit of the Partner's Capital account.
(b) Interest on capital at 5% per annum.
(c) Share of goodwill on the basis of twice the average of the past three years' profit and d) Share of profit from the closing date of the last financial year to the date of death on the basis of last year's profit.
Profits for the year ending on March 31, 2018, March 31, 2019 and March 31, 2020 were Rs. 12,000, Rs. 16,000 and Rs. 14,000 respectively.
Profits were shared in the ratio of capitals.
Pass the necessary journal entries and draw up Rockey's capital account to be rendered to his executor.
Ans:



Working Notes:
1. Rockey's Share of Profit = Previous year's profit × Proportionate Period × Share of Deceased Partner
2. Rockey's Share of Goodwill
Goodwill of a firm = Average profit × Numbers of year's Purchase
Goodwill of a firm = 14,000 × 2 = Rs 28,000
3. Gaining Ratio = New Ratio - Old Ratio
Gaining Ratio between Prateek and Kushal = 9:4 or 3:2
4. Interest on Capital for 3 months i.e. from April 1, 2007 to June 30, 2007
Amount of × Rate of Interest × Period
Q10: Narang, Suri and Bajaj are partners in a firm sharing profits and losses in proportion of 1/ 2 , 1 /6 and 1/ 3 respectively. The Balance Sheet on April 1, 2020 was as follows:

Bajaj retires from the business and the partners agree to the following:
(a) Freehold premises and stock are to be appreciated by 20% and 15% respectively.
(b) Machinery and furniture are to be reduced by 10% and 7% respectively.
(c) Bad Debts reserve is to be increased to Rs. 1,500.
(d) Goodwill is valued at Rs. 21,000 on Bajaj's retirement.
(e) The continuing partners have decided to adjust their capitals in their new profit sharing ratio after retirement of Bajaj. Surplus/deficit, if any, in their capital accounts will be adjusted through current accounts.
Prepare necessary ledger accounts and draw the Balance Sheet of the reconstituted firm.
Ans:



Working Notes:
1. Bajaj Share in Goodwill = Total Goodwill of the firm ' Retiring Partner's Share =
2. Gaining Ratio = New Ratio - Old Ratio
Gaining Ratio between Narang and Suri = 3:1
3. Calculation of New Capitals of the existing partners.

Based on new profit sharing ratio of 3:1
Note:
i. In the given QSuri's Capital is Rs 30,000 instead of Rs 20,000.
ii. Due to insufficient balance in Bajaj's Capital Account, the amount due to Bajaj is transferred to his Loan Account.
Q11: The Balance Sheet of Rajesh, Pramod and Nishant who were sharing profits in proportion to their capitals stood as on March 31, 2015:

Pramod retired on the date of Balance Sheet and the following adjustments were made:
(a) Stock is to be reduced by 10%.
(b) Factory buildings were appreciated by 12%.
(c) Provision for doubtful debts be created up to 5%.
(d) Provision for legal charges to be made at Rs. 265.
(e) The goodwill of the firm be fixed at Rs. 10,000.
(f) The capital of the new firm be fixed at Rs. 30,000.
The continuing partners decide to keep their capitals in the new profit sharing ratio of 3 : 2.
Record journal entries and prepare the balance sheet of the reconstituted firm after transferring the balance in Pramod's Capital account to his loan account.
Ans:




Working Notes:
(1) Pramod's share of goodwill = Total goodwill of the firm × Retiring Partner's Share =
(2) Gaining Ratio = New Ratio - Old Ratio
Gaining Ratio between Rajesh and Nishant = 2:1
Note: In the above solution, in order to adjust the capital of remaining partners in the new firm according to their new profit sharing ratio, the surplus or the deficit of Capital Account is transferred to their Current Account. But, in order to match the answer with that of given in the book, the surplus or the deficit amount of the Partners' Capital Account, will either be withdrawn or brought in by the old partners. This treatment will be shown in the Partners' Capital itself and no need to transfer the surplus or deficit capital balance to their Current Accounts. The following Journal entry is passed to record the withdrawal of surplus capital by the partners.
If existing partners withdraw their excess capital
Journal entry


Q12: Following is the Balance Sheet of Jain, Gupta and Malik as on March 31, 2020.

The partners have been sharing profits in the ratio of 5:3:2. Malik decides to retire from business on April 1, 2020 and his share in the business is to be calculated as per the following terms of revaluation of assets and liabilities : Stock, Rs.20,000; Office furniture, Rs.14,250; Plant and Machinery Rs.23,530; Land and Building Rs.20,000.
A provision of Rs.1,700 to be created for doubtful debts. The goodwill of the firm is valued at Rs.9,000.
The continuing partners agreed to pay Rs.16,500 as cash on retirement of Malik, to be contributed by continuing partners in the ratio of 3:2. The balance in the capital account of Malik will be treated as loan.
Prepare Revaluation account, capital accounts, and Balance Sheet of the reconstituted firm.
Ans:



Working Note:
(1) Malik's share of goodwill = Total Goodwill × Retiring Partner Share = 
(2) Gaining Ratio = New Ratio - Old Ratio
Gaining Ratio between Jain and Gupta = 10:6 or 5:3
Q13 : Arti, Bharti and Seema are partners sharing profits in the proportion of 3:2:1 and their Balance Sheet as on March 31, 2020 stood as follows :

Bharti died on June 12, 2020 and according to the deed of the said partnership, her executors are entitled to be paid as under :
(a) The capital to her credit at the time of her death and interest thereon @ 10% per annum.
(b) Her proportionate share of reserve fund.
(c) Her share of profits for the intervening period will be based on the sales during that period, which were calculated as Rs.1,00,000. The rate of profit during past three years had been 10% on sales.
(d) Goodwill according to her share of profit to be calculated by taking twice the amount of the average profit of the last three years less 20%. The profits of the previous years were :
2017 - Rs.8,200
2018 - Rs.9,000
2019 - Rs.9,800
The investments were sold for Rs.16,200 and her executors were paid out. Pass the necessary journal entries and write the account of the executors of Bharti.
Ans:




Working Notes:
1. Bharti's share of profit = Profit is 10% of sales
Sales during the last year for that period were Rs 1,00,000
If sales are Rs 1,00,000, then the profit is Rs 10,000
2. Bharti's Share of Goodwill
Goodwill of the firm = Average Profit × Number of Years Purchase
Or, 9,000 - 20% of 9,000 = 9,000 - 1,800 = Rs 7,200
Goodwill of the firm = 7,200 × 2 = Rs 14,400
3. Gaining Ratio = New Ratio - Old Ratio
Gaining ratio between Arti and Seema = 3:1
4. Interest on Capital for 73 days, i.e. from April 1, 2003 to June 12, 2003
Interest on capital = Amount of Capital × Ratio of Interest × Period = 
Q14: Nithya, Sathya and Mithya were partners sharing profits and losses in the ratio of 5:3:2. Their Balance Sheet as on March 31, 2020 was as follows :

Mithya dies on August 1, 2020. The agreement between the executors of Mithya and the partners stated that :
(a) Goodwill of the firm be valued at
times the average profits of last four years. The profits of four years were : in 2016-17, Rs.13,000; in 2017-18, Rs.12,000; in 2018-19, Rs.16,000; and in 2014-15, Rs.15,000.
(b) The patents are to be valued at Rs.8,000, Machinery at Rs.25,000 and Premises at Rs.25,000.
(c) The share of profit of Mithya should be calculated on the basis of the profit of 2019-20.
(d) Rs.4,200 should be paid immediately and the balance should be paid in 4 equal half-yearly instalments carrying interest @ 10%.
Record the necessary journal entries to give effect to the above and write the executor's account till the amount is fully paid. Also prepare the Balance Sheet of Nithya and Sathya as it would appear on August 1, 2020 after giving effect to the adjustments.
Ans:




Working Notes:
1.
2. Mithya's Share of Profit:
Previous year's profit × Proportionate Period × Share of Profit =

3. Mithya's share of Goodwill
Goodwill of a firm = Average Profit × Number of Year's Purchase
4. Gaining Ratio = New Ratio - Old Ratio
Gaining Ratio between Nithya and Sathya = 5:3
|
42 videos|211 docs|43 tests
|
| 1. What is the process of reconstitution of a partnership after the retirement of a partner? | ![]() |
| 2. How is the goodwill of a partnership calculated at the time of a partner's retirement? | ![]() |
| 3. What are the accounting entries required for the retirement of a partner? | ![]() |
| 4. What happens to the partnership's liabilities when a partner retires? | ![]() |
| 5. How does the death of a partner affect the partnership? | ![]() |