Class 8 Exam  >  Class 8 Notes  >  NCERT Solutions (Ex - 9.1,9.2,9.3) - Algebraic Expressions, Class 9, Maths

NCERT Solutions (Ex - 9.1,9.2,9.3) - Algebraic Expressions, Class 9, Maths - Class 8 PDF Download

Exercise 9.1 

Question 1: Identify the terms, their coefficients for each of the following expressions: 

[i] 5xyz2 - 3zy

[ii] 1 +x+ x2

(iii) 4x2y2 - 4x2y2z2 + z2 

[iv] 3 - pq + qr — rp

(v) x/2 + y/2 - xy

[vi] 0.3a - 0.6ab + 0 5b

Answer 1:

(i)

Terms: 5xyz2 - 3zy

Coefficient in x is 5 and in -3zy is -3

(ii)

Terms:  1 +x+ x2

Coefficient of x and coefficient of x2 is 1.

(iii)

Terms: 4x2y2 - 4x2y2z2 + z2 

Coefficient in 4x2y2 is 4, coefficient of -4x2y2z2 is -4 and coefficient of zis 1.

[iv]

Terms: 3 - pq + qr — rp

Coefficient of -pq is -1, coefficient of qr is 1 and coefficient of -rp is -1.

[v]

Terms : x/2 , y/2 , -xy

Coefficient of x/2 is 1/2, coefficient of y/2 is 1/2 and coefficient of -xy is -1.

[vi]

Terms: 0.3a,-0.6ab and 0.56

Coefficient of 0.3a is 0.3, coefficient of -0.6ab is -0.6 and coefficient of 0.5b is 0.5

Question 2: 

Classify the following polynomials as monomials, binomials, trinomials. Which polynomials do not fit in any of these three categories: 

  1. x + y
  2. 1000, 
  3. x + x2 + x3 + x4
  4. 7 +y + 5x, 
  5. 2y-3y2
  6. 2y-3y2 + 4y3
  7. 5x-4y+3xy, 
  8. 4z-15z2
  9.  ab + bc + cd + da,
  10. pqr
  11. p2q + pq2
  12. 2p + 2q

Answer 2:

  1. Since x + y contains two terms. Therefore it is binomial.
  2. Since 1000 contains one terms. Therefore it is monomial.
  3. Since x + x2 + x2 +x4 contains four terms. Therefore it is a polynomial and it does not fit in above three categories.
  4. Since 7 y + 5x contains three terms. Therefore it is trinomial.
  5. Since 2y-3y2 contains two terms. Therefore it is binomial.
  6. Since 2y-3y2 + 4y3  contains three terms. Therefore it is trinomial.
  7. Since 5x-4y 3xy contains three terms. Therefore it is trinomial.
  8. Since 4x -15y2 contains two terms. Therefore it is binomial.
  9. Since ab+hc+cd da contains four terms. Therefore it is a polynomial and it does not fit in above three categories.
  10. Since pqr contains one terms. Therefore it is monomial.
  11. Since p2q + pq2 contains two terms. Therefore it is binomial.
  12. Since 2p + 2q contains two terms. Therefore it is binomial

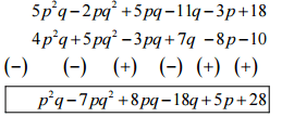
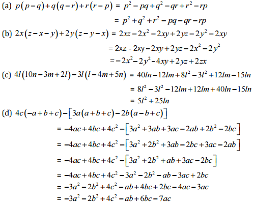
Question 3:

Add the following: 

NCERT Solutions (Ex - 9.1,9.2,9.3) - Algebraic Expressions, Class 9, Maths - Class 8

Answer 3:

NCERT Solutions (Ex - 9.1,9.2,9.3) - Algebraic Expressions, Class 9, Maths - Class 8

NCERT Solutions (Ex - 9.1,9.2,9.3) - Algebraic Expressions, Class 9, Maths - Class 8

NCERT Solutions (Ex - 9.1,9.2,9.3) - Algebraic Expressions, Class 9, Maths - Class 8

NCERT Solutions (Ex - 9.1,9.2,9.3) - Algebraic Expressions, Class 9, Maths - Class 8

Question 4: 

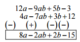
(a) Subtract 4a-7zb + 3b + 12 from 12a-9ab+5b-3

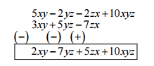
(b) Subtract 3xy + 5yz - 7zx from 5xy - 2yz - 2zx + 10 xyz

(c) Subtract 4p2q - 3pq + 5pq2 - 8p + 7q - 10 from 18- 3p-11q+5pq-2qp2 + 5 p2q

Answer 4:

(a) 

NCERT Solutions (Ex - 9.1,9.2,9.3) - Algebraic Expressions, Class 9, Maths - Class 8

(b)

NCERT Solutions (Ex - 9.1,9.2,9.3) - Algebraic Expressions, Class 9, Maths - Class 8

(c)

NCERT Solutions (Ex - 9.1,9.2,9.3) - Algebraic Expressions, Class 9, Maths - Class 8

Exercise 9.2 

Question 1: 

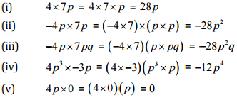
Find the product of the following pairs of monomials: 

(i) 4, 7p

(ii) -4p, 7p

(iii) - 4p, 7pq

(iv) 4p3, - 3p

(v) 4p, 0

Answer 1:

NCERT Solutions (Ex - 9.1,9.2,9.3) - Algebraic Expressions, Class 9, Maths - Class 8

 

Question 2: 

Find the areas of rectangles with the following pairs of monomials as their lengths and breadths respectively:
 (p,q); (10m,5n); (20x2,5y2); (4x,3x2); (3mn,4np)

Answer 2:

[i] Area of rectangle = length x breadth

= pxq = pq sq. units

[ii] Area of rectangle = length x breadth

= 10m  x 5n = (10x5)(mxn) = 50 mn sq. units

[iii] Area of rectangle = length x breadth

= 20x2 x 5y2 = (20 x 5 ) (x2 x y2) = 100x2y2 sq. units

(iv) Area of rectangle = length x breadth

= 4x x 3x2 = (4x3)(x x x2 ) sq. units

(v) Area of rectangle = length x breadth

= 3mn x 4np = (3x4)(mn x np) = 12mn2p sq. units

Question 3: 

Complete the table of products:

First monomial  →

Second monomial 

2x

—5y

3x2

-4 xy

7x2y

-9 x2y2

2x

4x2

.....

.....

.....

.....

.....

-5y

.....

.....

-15x2y

.....

.....

.....

3x2

.....

.....

.....

.....

.....

.....

-4 xy

.....

.....

.....

.....

.....

.....

7x2y

.....

.....

.....

.....

.....

.....

-9x2y2

.....

.....

.....

.....

.....

.....

 

Answer 3: 

 

First monomial  →

Second monomial 

2x

—5y

3x2

-4 xy

7x2y

-9 x2y2

2x

4x2

-10xy

6x3

-8x2y

14x3y

-18x3y2

-5y

-10xy

25 y2

-15x2y

20 xy2

-35x2y2

-45 x2y3

3x2

6x3

-15x2y

9x4

-12x3y

21 x4y

-27 x4y2

-4 xy

8x2y

20 xy2

-12x3y

16x2y2

-28 x3y2

36 x3y3

7x2y

14x3y

-35 x2y2

21 x4y

-28x3y2

49 x4y2

-63 x4y3

-9x2y2

-18x3y2

45x2y3

-27 x4y2

36 x3y3

-63x4y3

81 x4y4

 

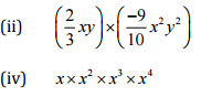
Question 4: 

Obtain the volume of rectangular boxes with the following length, breadth and height respectively: 

(i) 5a, 3a27a4

(ii) 2p,4q18r

(iii) xy, 2x2y, 2xy2

(iv) a, 2b, 3c

Answer 4: 

(i) Volume of rectangular box = length x breadth x height

= 5a x 3 a2 x 7a4 = ( 5x3x7)(a x a2 x a4)

= I05a7 cubic units

(ii) Volume of rectangular box = length x breadth x height

= 2p x 4 q x 8r = ( 2x4x8)(pxqxr)

= 64 pqr cubic units

(iii) Volume of rectangular box = length x breadth x height

= xy, 2x2y, 2xy2  = (1 x 2 x 2 )(x x x2 x yx yx y2)

= 4x4 y2 cubic units

(iv)

Volume of rectangular box = length x breadth x height

= a x 2b x 3c = (1x2x3) (axbxc) 6abc cubic units

Question 5: 

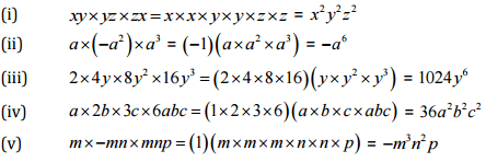
Obtain the product of:

(i) xy,yz,zx

(ii) a, -a2, a3

(iii) 2, 4y, 8y2, 16y3

(iv) a,2b,3c,6abc

(v) m, -mn,mnp 

Answer 5: 

NCERT Solutions (Ex - 9.1,9.2,9.3) - Algebraic Expressions, Class 9, Maths - Class 8

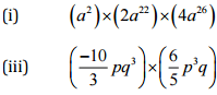
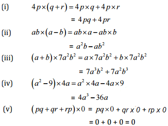
Exercise 9.3 

Question 1: 

Carry out the multiplication of the expressions in each of the following pairs: 

(i) 4p,q+r

(ii) ab, a-b

(iii) a+ b, 7a2b2

(iv) a2- 9, 4a

(v) pq+qr+rp,0

Answer 1: 

NCERT Solutions (Ex - 9.1,9.2,9.3) - Algebraic Expressions, Class 9, Maths - Class 8

 

Question 2: 

Complete the table: 

NCERT Solutions (Ex - 9.1,9.2,9.3) - Algebraic Expressions, Class 9, Maths - Class 8

Answer 2: 

NCERT Solutions (Ex - 9.1,9.2,9.3) - Algebraic Expressions, Class 9, Maths - Class 8

 

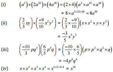
Question 3: 

Find the product: 

NCERT Solutions (Ex - 9.1,9.2,9.3) - Algebraic Expressions, Class 9, Maths - Class 8

NCERT Solutions (Ex - 9.1,9.2,9.3) - Algebraic Expressions, Class 9, Maths - Class 8

Answer 3: 

NCERT Solutions (Ex - 9.1,9.2,9.3) - Algebraic Expressions, Class 9, Maths - Class 8

 

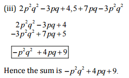
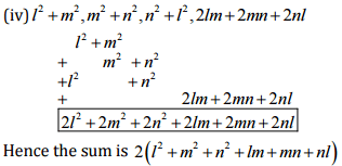
Question 4: 

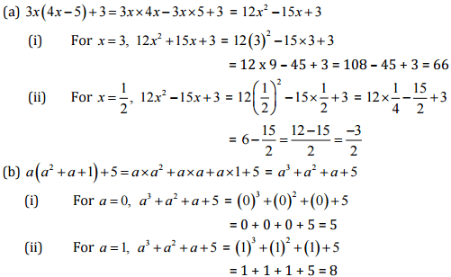
(a) Simplify: 

NCERT Solutions (Ex - 9.1,9.2,9.3) - Algebraic Expressions, Class 9, Maths - Class 8

Answer 4: 

NCERT Solutions (Ex - 9.1,9.2,9.3) - Algebraic Expressions, Class 9, Maths - Class 8

NCERT Solutions (Ex - 9.1,9.2,9.3) - Algebraic Expressions, Class 9, Maths - Class 8

 

Question 5: 

NCERT Solutions (Ex - 9.1,9.2,9.3) - Algebraic Expressions, Class 9, Maths - Class 8

Answer 5: 

NCERT Solutions (Ex - 9.1,9.2,9.3) - Algebraic Expressions, Class 9, Maths - Class 8

The document NCERT Solutions (Ex - 9.1,9.2,9.3) - Algebraic Expressions, Class 9, Maths - Class 8 is a part of Class 8 category.
All you need of Class 8 at this link: Class 8

FAQs on NCERT Solutions (Ex - 9.1,9.2,9.3) - Algebraic Expressions, Class 9, Maths - Class 8

1. What are algebraic expressions?
Ans. Algebraic expressions are mathematical expressions that consist of variables, constants, and mathematical operations such as addition, subtraction, multiplication, and division. These expressions represent a general form of mathematical relationships and are used to simplify and solve mathematical problems.
2. How do you simplify algebraic expressions?
Ans. To simplify algebraic expressions, you need to combine like terms. Like terms are terms that have the same variables raised to the same powers. You can combine like terms by adding or subtracting their coefficients. Additionally, you can use the distributive property to simplify expressions by multiplying the coefficients with the common factor outside the parentheses.
3. What is the difference between an equation and an expression?
Ans. An equation is a mathematical statement that shows the equality of two expressions, whereas an expression is a combination of variables, constants, and mathematical operations. In an equation, you have an equal sign (=) separating the two expressions, and the goal is to find the value of the variable that satisfies the equation. On the other hand, an expression does not have an equal sign and is used to represent a mathematical relationship or perform calculations.
4. How do you evaluate algebraic expressions?
Ans. To evaluate algebraic expressions, substitute the given values for the variables and simplify the expression using the order of operations. Start by performing any calculations inside parentheses or brackets, then evaluate any exponents or powers, followed by multiplication and division from left to right, and finally addition and subtraction from left to right.
5. What are the applications of algebraic expressions in real life?
Ans. Algebraic expressions have various applications in real life. They are used in financial calculations such as calculating interest rates, loan payments, and investments. They are also used in physics to represent mathematical relationships between different physical quantities. In engineering, algebraic expressions are used to model and solve problems related to circuits, structures, and fluid dynamics. Additionally, algebraic expressions are used in computer programming to perform calculations and solve complex problems.
Download as PDF

Top Courses for Class 8

Related Searches

NCERT Solutions (Ex - 9.1

,

video lectures

,

Exam

,

Previous Year Questions with Solutions

,

Viva Questions

,

past year papers

,

study material

,

Summary

,

ppt

,

Class 9

,

Maths - Class 8

,

practice quizzes

,

Extra Questions

,

9.3) - Algebraic Expressions

,

mock tests for examination

,

9.3) - Algebraic Expressions

,

Sample Paper

,

9.2

,

shortcuts and tricks

,

Maths - Class 8

,

Objective type Questions

,

NCERT Solutions (Ex - 9.1

,

Important questions

,

NCERT Solutions (Ex - 9.1

,

Class 9

,

Class 9

,

MCQs

,

9.3) - Algebraic Expressions

,

pdf

,

9.2

,

Maths - Class 8

,

Free

,

Semester Notes

,

9.2

;