Physics Exam  >  Physics Notes  >  Physics for IIT JAM, UGC - NET, CSIR NET  >  Operators and Commutators - General Formalism of Wave Mechanics, Quantum Mechanics, CSIR-NET

Operators and Commutators - General Formalism of Wave Mechanics, Quantum Mechanics, CSIR-NET | Physics for IIT JAM, UGC - NET, CSIR NET PDF Download

Why Operators? 

When we work with the Schrödinger Equation, or in any other formulation of Quantum Mechanics, exact values of properties can not be found. Instead we use operators.

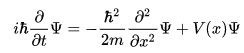
The simplest way of expressing Schrödinger's Equation is

Operators and Commutators - General Formalism of Wave Mechanics, Quantum Mechanics, CSIR-NET | Physics for IIT JAM, UGC - NET, CSIR NET

Showing that energy = kinetic + potential.

Now this could look deceptively simple if we didn't use operators for energy and momentum. We could simply divide by the wave function Ψ. But like most things, it's never simple. The energy operator acts on the wave function, as does the momentum operator. So we need to find the wave function in order to make any sense of this equation.

 

A Look at a Few Common Operators 

Although we could theoretically come up with an infinite number of operators, in practice there are a few which are much more important than any others.


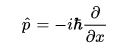
Momentum 

The Momentum operator is

Operators and Commutators - General Formalism of Wave Mechanics, Quantum Mechanics, CSIR-NET | Physics for IIT JAM, UGC - NET, CSIR NET

So the relative part of the Schrödinger Equation will become

Operators and Commutators - General Formalism of Wave Mechanics, Quantum Mechanics, CSIR-NET | Physics for IIT JAM, UGC - NET, CSIR NET


Energy 

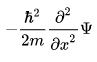
Energy Operator is

Operators and Commutators - General Formalism of Wave Mechanics, Quantum Mechanics, CSIR-NET | Physics for IIT JAM, UGC - NET, CSIR NET

So Schrödinger's now looks like

Operators and Commutators - General Formalism of Wave Mechanics, Quantum Mechanics, CSIR-NET | Physics for IIT JAM, UGC - NET, CSIR NET

As you can see this is now a differential equation, which may or may not be easily solved depending on the potential V(x).
Note that this is the one dimensional form of Schrödinger's Equation, it does become more complex for higher dimensions.

 

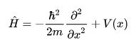
Hamiltonian 

We often call the Right Hand Side of this equation the Hamiltonian Operator.

Operators and Commutators - General Formalism of Wave Mechanics, Quantum Mechanics, CSIR-NET | Physics for IIT JAM, UGC - NET, CSIR NET

and it represents the total energy of the particle of mass m in the Potential Field V.


Expectation Values 

In Quantum Mechanics, everything is probabilistic (e.g., the probability of finding a particle is the square of the amplitude of the wave function). So we often want to know the expected value of position, momentum, or anything else, and there is quite a nice method of doing this.

Operators and Commutators - General Formalism of Wave Mechanics, Quantum Mechanics, CSIR-NET | Physics for IIT JAM, UGC - NET, CSIR NET

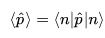
So, for instance, if you knew the wave function and wanted to find the expectation value of momentum you'd use the equation

Operators and Commutators - General Formalism of Wave Mechanics, Quantum Mechanics, CSIR-NET | Physics for IIT JAM, UGC - NET, CSIR NET


Dirac Notation (Bra-Ket Notation) 

To simplify notation Paul Dirac came up with a new way of writing states:

Operators and Commutators - General Formalism of Wave Mechanics, Quantum Mechanics, CSIR-NET | Physics for IIT JAM, UGC - NET, CSIR NET

i.e a ket

Operators and Commutators - General Formalism of Wave Mechanics, Quantum Mechanics, CSIR-NET | Physics for IIT JAM, UGC - NET, CSIR NET

i.e. a bra

So the expression for the expectation value of momentum can now be written as

Operators and Commutators - General Formalism of Wave Mechanics, Quantum Mechanics, CSIR-NET | Physics for IIT JAM, UGC - NET, CSIR NET

This notation is very widely used. It is extremely useful in finite dimensional problems, represented by matrices and state vectors. In 2D, qubits are used (most used in Quantum Information Theory), where:

Operators and Commutators - General Formalism of Wave Mechanics, Quantum Mechanics, CSIR-NET | Physics for IIT JAM, UGC - NET, CSIR NET

and

Operators and Commutators - General Formalism of Wave Mechanics, Quantum Mechanics, CSIR-NET | Physics for IIT JAM, UGC - NET, CSIR NET

are the state vectors.

 

Commutators 

"And you know why four minus one plus ten is fourteen minus one? 'Cause addition is commutative, right." --Tom Lehrer

Commutators are very important in Quantum Mechanics. As well as being how Heisenberg discovered the Uncertainty Principle, they are often used in particle physics. It is known that you cannot know the value of two physical values at the same time if they do not commute.

 

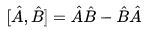
Mathematical Definition of Commutator

Operators and Commutators - General Formalism of Wave Mechanics, Quantum Mechanics, CSIR-NET | Physics for IIT JAM, UGC - NET, CSIR NET

This is equal to 0 if they commute and something else if they don't.

As you can probably see all natural numbers will commute. For instance

Operators and Commutators - General Formalism of Wave Mechanics, Quantum Mechanics, CSIR-NET | Physics for IIT JAM, UGC - NET, CSIR NET

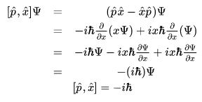
But, if we look at Momentum and Position, things start to get interesting

Operators and Commutators - General Formalism of Wave Mechanics, Quantum Mechanics, CSIR-NET | Physics for IIT JAM, UGC - NET, CSIR NET

Essentially, this implies that you cannot simultaneously know position and momentum precisely for a given moment in time.

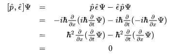
However, if we look at the commutator between momentum and energy,

Operators and Commutators - General Formalism of Wave Mechanics, Quantum Mechanics, CSIR-NET | Physics for IIT JAM, UGC - NET, CSIR NET

From this, we know that momentum and energy commute. Thus, we can find simultaneous eigenfunctions of energy and momentum with definite values of the two observables.

The document Operators and Commutators - General Formalism of Wave Mechanics, Quantum Mechanics, CSIR-NET | Physics for IIT JAM, UGC - NET, CSIR NET is a part of the Physics Course Physics for IIT JAM, UGC - NET, CSIR NET.
All you need of Physics at this link: Physics
158 docs

FAQs on Operators and Commutators - General Formalism of Wave Mechanics, Quantum Mechanics, CSIR-NET - Physics for IIT JAM, UGC - NET, CSIR NET

1. What is the general formalism of wave mechanics in quantum mechanics?
Ans. The general formalism of wave mechanics in quantum mechanics is a mathematical framework that describes the behavior and properties of quantum systems. It involves the use of wave functions, operators, and commutators to represent the physical quantities and their interactions. This formalism allows for the calculation of probabilities for different outcomes of measurements and the evolution of quantum states over time.
2. What are operators in quantum mechanics?
Ans. In quantum mechanics, operators are mathematical entities that represent physical observables, such as position, momentum, energy, and angular momentum. They act on wave functions to produce new wave functions or eigenstates. The measurement of an observable corresponds to finding the eigenvalues of the associated operator. Operators in quantum mechanics are represented by matrices or differential operators.
3. What are commutators in quantum mechanics?
Ans. Commutators in quantum mechanics are mathematical quantities that measure the non-commutativity of operators. The commutator of two operators A and B is defined as [A, B] = AB - BA. If the commutator is zero, the operators commute, which means that they can be measured simultaneously with precise values. If the commutator is non-zero, the operators do not commute, and their measurements are subject to the uncertainty principle.
4. How are operators and commutators used in quantum mechanics?
Ans. Operators and commutators are used in quantum mechanics to describe the evolution of quantum systems, calculate probabilities, and determine the uncertainties of physical observables. Operators represent observables, and their eigenstates represent the possible outcomes of measurements. The commutator of two operators determines whether they can be simultaneously measured or not. The commutation relations between operators play a crucial role in the formulation of quantum mechanics.
5. How does the general formalism of wave mechanics relate to the CSIR-NET Physics exam?
Ans. The general formalism of wave mechanics is an essential topic in the CSIR-NET Physics exam. Questions related to wave functions, operators, and commutators are frequently asked in the quantum mechanics section of the exam. Understanding the mathematical framework and its applications in quantum mechanics is crucial for solving problems and answering theoretical questions related to quantum systems and their behavior.
Related Searches

UGC - NET

,

MCQs

,

study material

,

Quantum Mechanics

,

mock tests for examination

,

Semester Notes

,

CSIR-NET | Physics for IIT JAM

,

Objective type Questions

,

Operators and Commutators - General Formalism of Wave Mechanics

,

CSIR-NET | Physics for IIT JAM

,

Extra Questions

,

pdf

,

practice quizzes

,

UGC - NET

,

Previous Year Questions with Solutions

,

Quantum Mechanics

,

CSIR NET

,

Important questions

,

shortcuts and tricks

,

Summary

,

Viva Questions

,

UGC - NET

,

Quantum Mechanics

,

ppt

,

video lectures

,

past year papers

,

CSIR NET

,

CSIR NET

,

Sample Paper

,

CSIR-NET | Physics for IIT JAM

,

Operators and Commutators - General Formalism of Wave Mechanics

,

Free

,

Exam

,

Operators and Commutators - General Formalism of Wave Mechanics

;