Chemistry Exam  >  Chemistry Notes  >  Organic Chemistry  >  Organic Reactions With Mechanism and Applications (Part -1)

Organic Reactions With Mechanism and Applications (Part -1) | Organic Chemistry PDF Download

⇒ Wolff rearrangement:

α-Diazoketones on treatment with solid silver oxide split off nitrogen and rearrange to ketene. This is known as Wolff rearrangement.
Organic Reactions With Mechanism and Applications (Part -1) | Organic ChemistryThe rearrangement may also occur on irradiation or on heating. When the reaction is carried out in the presence of water, alcohol, ammonia or amine, the highly reactive ketene readily reacts with the nucleophiles present, e.g., H20, ROH. etc., to give respectively acids, esters, amides or substituted amides of the next higher homologue of the acid from which the a-diazoketone is prepared.
Organic Reactions With Mechanism and Applications (Part -1) | Organic Chemistry

Mechanism:

It has been shown (Huggett et al.) with isotopically labelled carbon (13C) in a series of transformations that the carbonyl carbon of a-diazoketone is present in the resulting acid as the carboxyl carbon when the reaction is carried out in the presence of water. Obviously, migration must have occurred during the rearrangement. On the basis of this, the following mechanism has been suggested:
Organic Reactions With Mechanism and Applications (Part -1) | Organic ChemistryOrganic Reactions With Mechanism and Applications (Part -1) | Organic Chemistry

Organic Reactions With Mechanism and Applications (Part -1) | Organic ChemistrySplitting of nitrogen and migration of R group may be concerted. In some cases ketenes have been isolated. The group R migrates with retention of configuration. This has been confirmed by the following observation.
A higher homologue of an optically active acid (I) obtained by Arndt-Eistert-Wolff rearrangement on degradation by Barbier-Weiland method gave the original acid with the same configuration (Lane and Wallis).
Organic Reactions With Mechanism and Applications (Part -1) | Organic Chemistry

Application:

Arndt-Eistert homologization utilizes Wolff rearrangement in which an acid is converted to its next higher homologue.
Organic Reactions With Mechanism and Applications (Part -1) | Organic ChemistryVarious classes of diazoketones may be prepared to give varied types of acid derivatives for further synthetic applications.

⇒ Darzens Condensation:
Organic Reactions With Mechanism and Applications (Part -1) | Organic ChemistryThe Darzens Reaction is the condensation of a carbonyl compound with an α-halo ester in the presence of a base to form an α, β-epoxy ester.

Mechanism of the Darzens Reaction:
After deprotonation, the α-halo ester adds to the carbonyl compound to give syn and anti diastereomers:
Organic Reactions With Mechanism and Applications (Part -1) | Organic ChemistryIn the subsequent step, an intramolecular SN2 reaction forms the epoxide:
Organic Reactions With Mechanism and Applications (Part -1) | Organic ChemistryTypically, the cis:trans ratio of the epoxide formation lies between 1:1 and 1:2.
In the past, Darzens methodology was primarily used for the synthesis of aldehydes and ketones, as a homologation reaction without any consideration of stereocontrol in the epoxide formation. For this sequence, saponification of the α,β-epoxy ester followed by decarboxylation gives the substituted carbonyl compound:
Organic Reactions With Mechanism and Applications (Part -1) | Organic ChemistryOrganic Reactions With Mechanism and Applications (Part -1) | Organic ChemistryDarzens methodology for the construction of epoxides can also be used for α-halo carbonyl compounds, or similar compounds that can undergo deprotonation and bear electron-withdrawing groups. In addition, the reaction can be carried out with diazoacetate, where N2 is the leaving group, or with a sulphur ylide with SR2 as the leaving group (see Corey Chaykovsky).
In the following specific substitution pattern, the outcome of the reaction depends on the energy of the transition states of the addition, the rotation and the ring closure, as described by Aggarwal. Although explanations for the diastereoselectivity have been given, the enantioselectivity that is induced by the camphor-derived sulphonium group is not yet fully understood:
Organic Reactions With Mechanism and Applications (Part -1) | Organic ChemistryAnother concept for highly diastereoselective and enantioselective transformations was developed by Arai:
Organic Reactions With Mechanism and Applications (Part -1) | Organic ChemistryIn this system, the chiral phase transfer catalyst (PTC) is able to recognize one aldolate selectively. There is an equilibrium between syn- and anti-aldolates via retro-aldol addition, and the formation of a stable, chelated lithium salt blocks the non-catalyzed subsequent reaction from yielding the epoxide product:
Organic Reactions With Mechanism and Applications (Part -1) | Organic ChemistryThe following aza-Darzens reaction, in which a preformed lithium α-bromoenolate reacts with a sulphinimine to give an aziridine, features a six-membered transition state that accounts for the high diastereoselectivity:
Organic Reactions With Mechanism and Applications (Part -1) | Organic ChemistryThe development of enantioselective methods remains challenging. In principle, any of the methods that are used for stereoselective aldol additions can also be tested in the Darzens Reaction, as the first step is an aldol addition.

⇒Wittig reaction:

Wittig reaction affords an important and useful method for the synthesis of alkenes by the treatment of aldehydes or ketones with alkylidenetriphenylphosphorane (Ph3P=CR2) or simply known as phosphorane.
Organic Reactions With Mechanism and Applications (Part -1) | Organic ChemistryThe Wittig reagent, alkylidenetriphenylphosphorane, is prepared by treating trialkyl or triarylphosphine usually the latter with an alkyl halide in ether solution. The resulting phosphonium salt is treated with a strong base (such as C6H5Li, BuLi, NaNH2, NaH, C2H5ONa, etc.) which removes a halacid to give the reagent, methylenetriphenyl phosphorane (II).
Organic Reactions With Mechanism and Applications (Part -1) | Organic ChemistryIn the alkyl halide a hydrogen is necessary on the halogen-bearing carbon. Alkylidenetriphenylphosphoranes are also called ylids due to the presence of opposite formal charges on adjacent atoms as in one of the resonance structures (I). The methylene structure (II) has a dπ-pπ bond between phosphorus and carbon. The ylid may be considered as a carbanion stabilized by the adjacent phosphonium cation.
The carbonyl compound is directly treated with the ethereal solution of the reagent.

Mechanism:
The reaction probably proceeds by the nucleophilic attack of the ylid on the carbonyl carbon. The dipolar complex (betain) so formed decomposes to olefine and triphenylphosphine oxide via a four-centred transition state.
Organic Reactions With Mechanism and Applications (Part -1) | Organic ChemistryThe mechanism is supported by the fact that an optically active phosphonium salt reacts to produce a phosphine oxide with retention of configuration.
Organic Reactions With Mechanism and Applications (Part -1) | Organic ChemistrySince desired alkyl groups can be introduced in the alkyl halide and the carbonyl compound, it is extremely useful for the synthesis of desired substituted alkenes. Double or triple bonds even when conjugated with the carbonyl group Organic Reactions With Mechanism and Applications (Part -1) | Organic Chemistry  does not interfere. The reaction with the carbonyl group of esters is very slow and does not interfere.
Phosphorous ylids react in the same manner with the C=O groups of ketenes and isocyanates as also with the N=O and C=N groups of nitroso and imine compounds respectively.
Organic Reactions With Mechanism and Applications (Part -1) | Organic Chemistry

Applications: 
The reaction has many useful synthetic applications. Many natural products which are otherwise difficult to prepare can be synthesized by Wittig reaction.
1. Formation of exocyclic methylene group
Organic Reactions With Mechanism and Applications (Part -1) | Organic ChemistryThis method of introducing exocyclic methylene group is extremely valuable and has been widely used in the preparation of methylene steroids.
2. Preparation of β, γ-unsaturated acids
Organic Reactions With Mechanism and Applications (Part -1) | Organic ChemistryIn all other methods isomerization to α, β-unsaturated acids results.
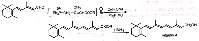
3. Preparation of natural products
(i) β-carotene (pro vitamin A)
Organic Reactions With Mechanism and Applications (Part -1) | Organic ChemistryOrganic Reactions With Mechanism and Applications (Part -1) | Organic Chemistry(ii) Vitamin A
Organic Reactions With Mechanism and Applications (Part -1) | Organic Chemistry4. Formation of large rings containing 5 to 16 carbons
Organic Reactions With Mechanism and Applications (Part -1) | Organic Chemistry5. Synthesis of vinyl halides Chloromethylenetriphenylphosphorane (Ph3P=CHCI) required for this synthesis is prepared by reacting chlorocarbene with triphenylphosphine.
Organic Reactions With Mechanism and Applications (Part -1) | Organic ChemistryOrganic Reactions With Mechanism and Applications (Part -1) | Organic Chemistry6. Synthesis of ethers Methoxymethylenetriphenylphosphorane reacts with carbonyl compounds to give diphenyl substituted vinyl methyl ethers.
Organic Reactions With Mechanism and Applications (Part -1) | Organic ChemistryHydrolysis of the product gives aldehyde.
Organic Reactions With Mechanism and Applications (Part -1) | Organic Chemistry

⇒ Michael Reaction:
The base-catalysed addition of compounds having active methylene group (or relatively acidic hydrogens) to an activated olefinic bond of the type Organic Reactions With Mechanism and Applications (Part -1) | Organic Chemistry ( Z = electron-withdrawing) is classified as Michael reaction.
Organic Reactions With Mechanism and Applications (Part -1) | Organic ChemistryThe compounds having an active methylene group or having relatively acidic hydrogens are called donors and the compounds having an activated olefinic bond are called acceptors. A large variety of donors and acceptors are employed in Michael reaction.
The donors include malonic ester, cyanoacetic ester, acetoacetic ester, phenylacetic acid esfer, cyanoacetamide, aliphatic nitro compounds, benzyl cyanide, sulphones, cyclopentadienes, indenes, fluorenes, etc.
The acceptors include 
(a) aldehydes, e.g., a craldehyde, CH2 = CH-CHO; cinnamaldehyde, C6H5CH = CHCHO.
(b) ketones, e.g., benzylideneacetone, C6H5CH = CHCOCH3; mesityloxide, (CH3)2C = CHCOCH3; quinones, etc.
(c) nitriles, e.g., acrylonitrile, CH2=CH-CN.
(d) esters of a, p-unsaturated acids, e.g., C6H5-CH=CH-COOC2H5.
Various types of basic catalysts are used. Most commonly used are alkali metal alkoxides, such as sodium or potassium ethoxides, potassium tertiary butoxide, potassium isopropoxide, etc. Mild basic catalysts such as 2° amines, 3° amines, piperidine and pyridine have been used with success.

Mechanism:
The base generates a carbanion from the donor, malonic ester. The carbanion then adds to the β-carbon of the α, β-unsaturated ester acceptor, ethyl cinnamate to yield the anion (I) which takes up a proton from alcohol to produce an enol. The enol then tautomerises to the more stable product, ketone.
Organic Reactions With Mechanism and Applications (Part -1) | Organic ChemistryThe electron-attracting group -COOC2H5 (Z) facilitates the attack by stabilizing the intermediate anion (I) by dispersal of the charge. It is seen that although 1, 4-addition occurs initially, the final result is addition to the α, β-unsaturated carbons. This is because the enol reverts to the more stable ketone (recall that vinyl alcohol is unknown). In the presence of strong base, the product may undergo cyclisation. No cyclisation occurs with mild bases such as 2° or 3° amines and piperidine.
Compounds with two double bonds in conjugation with the electron-withdrawing group may undergo nucleophilic attack at β-carbon or δ-carbon to give three products. Thus:
(a) On attack at β-carbon
Organic Reactions With Mechanism and Applications (Part -1) | Organic Chemistry(b) On attack at δ-carbon
Organic Reactions With Mechanism and Applications (Part -1) | Organic ChemistrySince the double bond is conjugated in (III), it is the most stable of the three products. Hence it is the predominant product.

Applications:
The reaction is of great synthetic importance since a variety of organic compounds can be synthesized with the help of this reaction.
1. Synthesis of polybasic acids 
(a) Tricarballylic acids
Organic Reactions With Mechanism and Applications (Part -1) | Organic ChemistryEsters of tricarballylic acid are used as plasticisers,
(b) Aconitic acid
Organic Reactions With Mechanism and Applications (Part -1) | Organic ChemistryAconitic acid is used in the preparation of medicines for releaving pain (analgesic) and reducinq fever (febrifuge). Its esters are used as plasticisers.
2. Preparation of cyano and nitro compounds
Organic Reactions With Mechanism and Applications (Part -1) | Organic Chemistry3. Building of ring system 
(a) Condensed alicyclic ring
Organic Reactions With Mechanism and Applications (Part -1) | Organic ChemistryThis method has been employed during the synthesis of cholesterol to build the ring system,
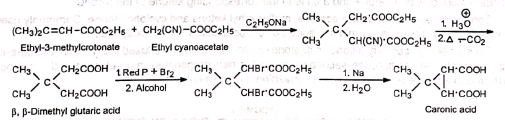
(b) Double Michael addition for ring formation
Organic Reactions With Mechanism and Applications (Part -1) | Organic Chemistry(c) Cyclopropane derivative—Caronic acid
Organic Reactions With Mechanism and Applications (Part -1) | Organic Chemistry4. Synthesis of dimedone Dimedone is a reagent for the identification of aldehydes in the presence of ketones.
Organic Reactions With Mechanism and Applications (Part -1) | Organic ChemistryDimedone is also employed for the separation of aldehydes from ketones because it reacts only with aldehydes.
Organic Reactions With Mechanism and Applications (Part -1) | Organic ChemistryReaction with formaldehyde is quantitative and hence, the reagent is used for the quantitative estimation of formaldehyde.
5. Synthesis of amino acids
Organic Reactions With Mechanism and Applications (Part -1) | Organic ChemistryMichael reaction has been employed to synthesize anthracene from naphthalene.

The document Organic Reactions With Mechanism and Applications (Part -1) | Organic Chemistry is a part of the Chemistry Course Organic Chemistry.
All you need of Chemistry at this link: Chemistry
44 videos|102 docs|52 tests

FAQs on Organic Reactions With Mechanism and Applications (Part -1) - Organic Chemistry

1. What is the definition of organic reactions?
Ans. Organic reactions are chemical processes that involve the transformation of organic compounds by breaking and forming chemical bonds. These reactions typically occur between carbon-containing compounds and can result in the synthesis of new organic molecules or the modification of existing ones.
2. What is the importance of understanding the mechanism of organic reactions?
Ans. Understanding the mechanism of organic reactions is crucial as it provides insights into how and why a reaction occurs. Mechanistic knowledge allows chemists to predict the outcome of a reaction, design more efficient synthetic routes, and optimize reaction conditions. It also enables the development of new reactions and the discovery of novel compounds with desired properties.
3. Are all organic reactions accompanied by a detailed mechanism?
Ans. No, not all organic reactions have a clearly defined mechanism. While many reactions have well-established mechanisms supported by experimental evidence, some reactions may have complex or unclear mechanisms. In such cases, chemists often propose plausible mechanisms based on their understanding of related reactions and their knowledge of organic chemistry principles.
4. What are some common applications of organic reactions?
Ans. Organic reactions find widespread applications in various fields. Some common applications include: - Organic synthesis: Reactions are used to create complex organic molecules with desired functionalities, which are crucial for the development of pharmaceuticals, agrochemicals, and materials. - Polymerization: Reactions are used to link monomers together to form polymers, such as plastics and fibers. - Biochemical transformations: Reactions are employed in enzymatic and metabolic processes within living organisms. - Organic functional group transformations: Reactions are used to modify organic molecules by adding or removing functional groups, which can alter their chemical and physical properties. - Organic analysis: Reactions are utilized in analytical techniques, such as chromatography and spectroscopy, to identify and quantify organic compounds.
5. How can knowledge of organic reactions be applied in everyday life?
Ans. Knowledge of organic reactions can be applied in everyday life in various ways: - Understanding the reactions involved in cooking and food preparation, such as Maillard reactions that give food its flavor and color. - Designing and optimizing the production of household products, including cleaning agents, cosmetics, and fragrances. - Developing environmentally friendly processes for waste treatment and recycling. - Applying principles of organic reactions in the synthesis of natural products, such as essential oils, flavors, and fragrances used in perfumes and personal care products. - Understanding the mechanisms behind drug metabolism and drug interactions, which is important for the development of safe and effective medications.
Related Searches

video lectures

,

Organic Reactions With Mechanism and Applications (Part -1) | Organic Chemistry

,

past year papers

,

Important questions

,

ppt

,

study material

,

Free

,

mock tests for examination

,

shortcuts and tricks

,

MCQs

,

Viva Questions

,

Summary

,

practice quizzes

,

Previous Year Questions with Solutions

,

Exam

,

Extra Questions

,

Sample Paper

,

Semester Notes

,

Objective type Questions

,

pdf

,

Organic Reactions With Mechanism and Applications (Part -1) | Organic Chemistry

,

Organic Reactions With Mechanism and Applications (Part -1) | Organic Chemistry

;