Physics Exam  >  Physics Notes  >  Mathematical Methods  >  Periodic Functions & Trigonometric Series

Periodic Functions & Trigonometric Series | Mathematical Methods - Physics PDF Download

Periodic Functions

A function f (x) is called periodic if for all real x in the domain of f (x) there is some positive number p such that
f (x + p ) = f (x) for all x .
The number p is called period of f (x) . The graph of such function is obtained by periodic repetition of its graph in any interval of length p .
NOTE:

(i) Familiar periodic functions are sine and cosine functions.
(ii) The function f = constant is also a periodic function.
(iii) The functions that are not periodic are x, x2, x3, ex, cosh x, ln x etc.
(iv) ∵ f (x+2 p) = f [(x + p)+p ] = f (x + p)=f (x) Thus for any integer n , f (x + np) = f (x). Hence 2p ,3p,...... are also period of f (x) .
(v) If f (x) and g (x) have period p , then the function h (x) = af (x) + bg (x)    (a, b constants) has also period p .

Fundamental Period

If a periodic function f (x) has a smallest period p (> 0) , this is often called the fundamental period of f (x).

Example:
(i) For sin x and cos x the fundamental period is 2π .
(ii) For sin 2x and cos 2x the fundamental period is π.
(iii) For tan x and cot x the fundamental period is π.
(iv) A functions without fundamental period is f = constant.

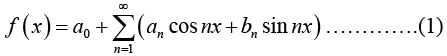
Trigonometric Series

Let’s represent various functions of period p = 2π in terms of simple functions1, cos x, sin x, cos 2x, sin2x,    cos nx, sin nx,    

These functions have period 2π. Figure below shows the first few of them.
Periodic Functions & Trigonometric Series | Mathematical Methods - Physics

Periodic Functions & Trigonometric Series | Mathematical Methods - Physics
The series that will arise in this connection will be of the form
a0 + a1 cos x + b1 sin x + a2cos 2 x + b2 sin 2 x + ..........
Where a0,a1,a2...b1,b2... are real constants. Such a series is called trigonometric seris and the an and bn are called the coefficient of the series. Thus we may write series
Periodic Functions & Trigonometric Series | Mathematical Methods - Physics
We see that each term of the series has the period 2π . Hence if the series converges, its sum will be a function of period 2π .
NOTE:
The trignometric series can be used for representing any practically important periodic function f, simple or complicated, of any period p . This series will then be called the Fourier series of f.

Fourier Series

Fourier series arise from the practical task of representing a given periodic function f (x) in terms of cosine and sine functions. These series are trigonometric series whose coefficients are determined from f (x) by the “Euler Formulas”.

Formulas for the Fourier Coefficients

Let us assume that f(x) is periodic function of period 2π and is integrable over a period. Let us further assume that f(x) can be represented by a trigonometric series, (assume that this series converges and has f(x) as its sum)
Periodic Functions & Trigonometric Series | Mathematical Methods - Physics
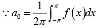
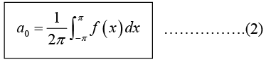
Determination of constant a0:

From equation (1), we have
Periodic Functions & Trigonometric Series | Mathematical Methods - Physics
Periodic Functions & Trigonometric Series | Mathematical Methods - Physics
Periodic Functions & Trigonometric Series | Mathematical Methods - Physics
Thus Periodic Functions & Trigonometric Series | Mathematical Methods - Physics
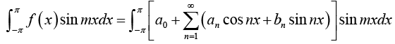
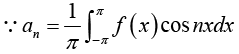
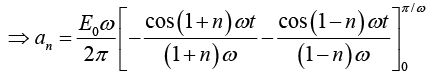
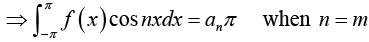
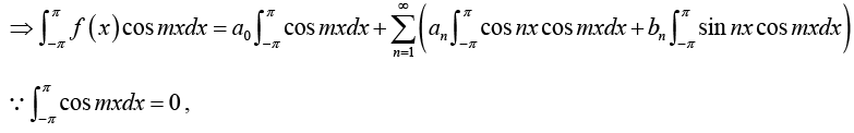
Determination of constant an :

Multiply equation (1) by cos mx. where m is any fixed positive integer, then
Periodic Functions & Trigonometric Series | Mathematical Methods - Physics
Periodic Functions & Trigonometric Series | Mathematical Methods - Physics
Periodic Functions & Trigonometric Series | Mathematical Methods - Physics
Periodic Functions & Trigonometric Series | Mathematical Methods - Physics
Periodic Functions & Trigonometric Series | Mathematical Methods - Physics
Thus Periodic Functions & Trigonometric Series | Mathematical Methods - Physics
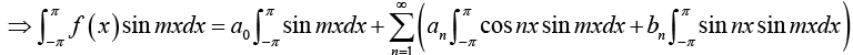
Determination of constant bn:
Multiply equation (1) by sin mx, where m is any fixed positive integer, then
Periodic Functions & Trigonometric Series | Mathematical Methods - Physics
Periodic Functions & Trigonometric Series | Mathematical Methods - Physics
Periodic Functions & Trigonometric Series | Mathematical Methods - Physics
Periodic Functions & Trigonometric Series | Mathematical Methods - Physics
Periodic Functions & Trigonometric Series | Mathematical Methods - Physics
Periodic Functions & Trigonometric Series | Mathematical Methods - Physics
Thus Periodic Functions & Trigonometric Series | Mathematical Methods - Physics


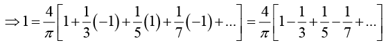
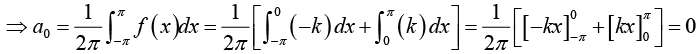
Example 1: Find the Fourier coefficient of the periodic function f(x) as shown in figure:
Periodic Functions & Trigonometric Series | Mathematical Methods - Physics
Periodic Functions & Trigonometric Series | Mathematical Methods - Physics
Hence, show that: Periodic Functions & Trigonometric Series | Mathematical Methods - Physics

Periodic Functions & Trigonometric Series | Mathematical Methods - Physics
Periodic Functions & Trigonometric Series | Mathematical Methods - Physics
Periodic Functions & Trigonometric Series | Mathematical Methods - Physics
This can also be seen without integration, since the area under the curve of f(x) between -π to π is zero.
Periodic Functions & Trigonometric Series | Mathematical Methods - Physics
Periodic Functions & Trigonometric Series | Mathematical Methods - Physics
Periodic Functions & Trigonometric Series | Mathematical Methods - Physics
Periodic Functions & Trigonometric Series | Mathematical Methods - Physics
If n is even bn = 0 and If n is odd bn Periodic Functions & Trigonometric Series | Mathematical Methods - Physics
Thus Fourier series is Periodic Functions & Trigonometric Series | Mathematical Methods - Physics
The partial sums are Periodic Functions & Trigonometric Series | Mathematical Methods - Physics
Periodic Functions & Trigonometric Series | Mathematical Methods - Physics
Figure(a): The given function f (x) (Period square wave)
Periodic Functions & Trigonometric Series | Mathematical Methods - Physics
Periodic Functions & Trigonometric Series | Mathematical Methods - Physics
Periodic Functions & Trigonometric Series | Mathematical Methods - Physics
Figure(b): The first three partial sums of the corresponding Fourier series

NOTE:

The above graph seems to indicate that the series is convergent and has the sum f(x),

the given function. Notice that at x = 0 and x = π , the points of discontinuity of f (x), all

partial sums have the value zero, the arithmetic mean of the values -k and +k of our function.
Assuming that f (x) is the sum of the series and setting x = Periodic Functions & Trigonometric Series | Mathematical Methods - Physics we have
Periodic Functions & Trigonometric Series | Mathematical Methods - Physics
Periodic Functions & Trigonometric Series | Mathematical Methods - Physics
Periodic Functions & Trigonometric Series | Mathematical Methods - Physics

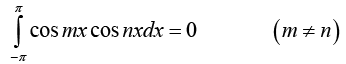
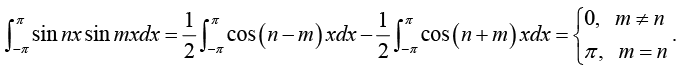
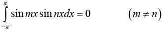
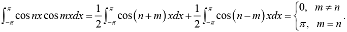
Orthogonality of the Trignometric System

The trigonometric system
1, cos x, sin x, cos 2x, sin 2x,......cos nx, sin nx,    

is orthogonal on the interval -n < x < n (hence on any interval of length 2π , because of periodicity). Thus for any integer m and n we have
Periodic Functions & Trigonometric Series | Mathematical Methods - Physics
and
Periodic Functions & Trigonometric Series | Mathematical Methods - Physics
and for any integer m and n (including m = n) we have
Periodic Functions & Trigonometric Series | Mathematical Methods - Physics

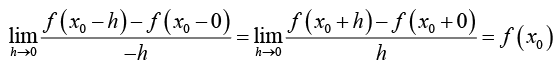
Convergence and Sum of Fourier Series

If a periodic function f(x) with period 2π is piecewise continuous in the interval -n<x<n and has left hand and right hand derivative at each point of that interval, then the Fourier series of f(x) with coefficient a0,an,bn is convergent.

Its sum is f (x), except at a point x0 at which f (x) is discontinuous and the sum of the series is the average of the left- and right-hand limit of / (x) at x0.
NOTE:
(i) The left-hand limit of f (x) at x0 is Periodic Functions & Trigonometric Series | Mathematical Methods - Physics
The right-hand limit of f (x) at x0 is Periodic Functions & Trigonometric Series | Mathematical Methods - Physics
(ii) The left-hand derivative of f(x) at x0 is Periodic Functions & Trigonometric Series | Mathematical Methods - Physics
The right-hand derivative of f (x) at x0 is
Periodic Functions & Trigonometric Series | Mathematical Methods - Physics
(iii) If f (x) is continuous at x0, then
Periodic Functions & Trigonometric Series | Mathematical Methods - Physics

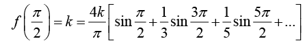
Example: The square wave in previous example has a jump atx = 0 . Its left-hand limit there is -k and its left-hand limit there is +k . Hence average of these limits is 0 . Tlius Fourier series converge to this value atx = 0 because then all its tenns areO. Similarly for the other jump w e can verify this.

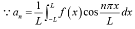
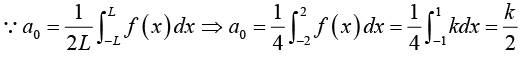
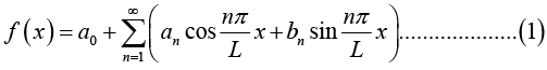
Function of Any Period p = 2L

The functions considered so far had period 2π , for simplicity. The transition from p = 2π to p = 2L is quite simple. It amounts to a stretch (or contraction) of scale on the axis.
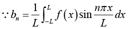
Fourier series of a function f (x) of period p = 2L. is given by
Periodic Functions & Trigonometric Series | Mathematical Methods - Physics
where Fourier coefficients of f (x) are
Periodic Functions & Trigonometric Series | Mathematical Methods - Physics
Let Periodic Functions & Trigonometric Series | Mathematical Methods - Physics
Thus, f (x) = g (v) has period 2π .
Hence we can verify that
Periodic Functions & Trigonometric Series | Mathematical Methods - Physics
where
Periodic Functions & Trigonometric Series | Mathematical Methods - Physics


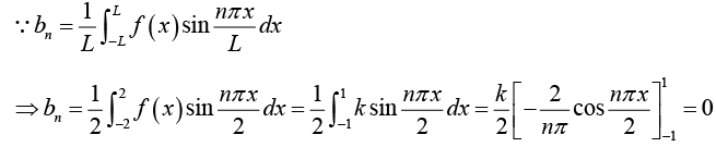
Example 2: Find the Fourier series of the function/(x) as shown in figure:
Periodic Functions & Trigonometric Series | Mathematical Methods - Physics

Periodic Functions & Trigonometric Series | Mathematical Methods - Physics
Periodic Functions & Trigonometric Series | Mathematical Methods - Physics
Periodic Functions & Trigonometric Series | Mathematical Methods - Physics
Periodic Functions & Trigonometric Series | Mathematical Methods - Physics
Periodic Functions & Trigonometric Series | Mathematical Methods - Physics
Periodic Functions & Trigonometric Series | Mathematical Methods - Physics
Thus Fourier series is Periodic Functions & Trigonometric Series | Mathematical Methods - Physics

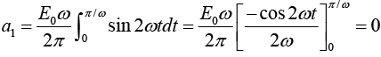
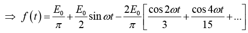
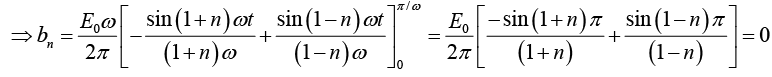
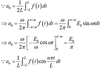
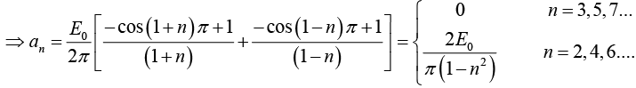
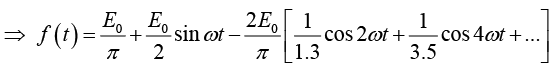
Example 3: A sinusoidal voltage E0 sin ωt, where t is time, is passed through half-wave

rectifier that clips the negative portion of the wave. Find the Fourier series of the resulting periodic function
Periodic Functions & Trigonometric Series | Mathematical Methods - Physics
Periodic Functions & Trigonometric Series | Mathematical Methods - Physics

Periodic Functions & Trigonometric Series | Mathematical Methods - Physics
Periodic Functions & Trigonometric Series | Mathematical Methods - Physics
Periodic Functions & Trigonometric Series | Mathematical Methods - Physics
Periodic Functions & Trigonometric Series | Mathematical Methods - Physics
For n = 2,3,4....
Periodic Functions & Trigonometric Series | Mathematical Methods - Physics
Periodic Functions & Trigonometric Series | Mathematical Methods - Physics
Periodic Functions & Trigonometric Series | Mathematical Methods - Physics
Periodic Functions & Trigonometric Series | Mathematical Methods - Physics
For n = 1
Periodic Functions & Trigonometric Series | Mathematical Methods - Physics
For n = 2,3,4...
Periodic Functions & Trigonometric Series | Mathematical Methods - Physics
Thus Fourier series
Periodic Functions & Trigonometric Series | Mathematical Methods - Physics
Periodic Functions & Trigonometric Series | Mathematical Methods - Physics
Periodic Functions & Trigonometric Series | Mathematical Methods - Physics

The document Periodic Functions & Trigonometric Series | Mathematical Methods - Physics is a part of the Physics Course Mathematical Methods.
All you need of Physics at this link: Physics
78 videos|18 docs|24 tests

FAQs on Periodic Functions & Trigonometric Series - Mathematical Methods - Physics

1. What is a Fourier series?
Ans. A Fourier series is a way to represent a periodic function as a sum of simple sine and cosine functions. It allows us to express any periodic function as an infinite series of harmonically related sinusoidal functions.
2. What is the period of a Fourier series?
Ans. The period of a Fourier series refers to the interval over which the function repeats itself. It is denoted by p and is usually represented as 2L, where L is the length of one period of the function.
3. What are periodic functions?
Ans. Periodic functions are functions that repeat themselves after a certain interval. In other words, their values at different points in time or space follow a specific pattern that repeats over and over again. Examples of periodic functions include sine and cosine functions.
4. How are Fourier series used in IIT JAM?
Ans. In IIT JAM, Fourier series is an important topic in the syllabus of Mathematical Statistics. It is used to understand and analyze periodic functions, which have applications in various areas of statistics and signal processing. Understanding Fourier series helps in solving problems related to periodic data and signals.
5. Are trigonometric series and Fourier series the same thing?
Ans. Trigonometric series and Fourier series are closely related but not exactly the same. Trigonometric series is a general term that refers to any series involving trigonometric functions. On the other hand, a Fourier series is a specific type of trigonometric series that represents a periodic function. Fourier series is a subset of trigonometric series that specifically deals with periodic functions and their representation as a sum of sine and cosine functions.
Related Searches

past year papers

,

study material

,

Semester Notes

,

Viva Questions

,

Periodic Functions & Trigonometric Series | Mathematical Methods - Physics

,

Objective type Questions

,

Free

,

Important questions

,

practice quizzes

,

MCQs

,

Extra Questions

,

Summary

,

Exam

,

Periodic Functions & Trigonometric Series | Mathematical Methods - Physics

,

pdf

,

video lectures

,

Previous Year Questions with Solutions

,

ppt

,

mock tests for examination

,

Periodic Functions & Trigonometric Series | Mathematical Methods - Physics

,

shortcuts and tricks

,

Sample Paper

;