Physics Exam  >  Physics Notes  >  Oscillations, Waves & Optics  >  Polarization of Light

Polarization of Light | Oscillations, Waves & Optics - Physics PDF Download

Plane of Incidence

Incident ray, reflected ray, refracted ray and normal to incidence forms a plane that plane

is plane of incidence.

Plane of Polarization

The plane passing through the direction of propagation and containing no vibration is

called the “Plane of Polarization”.

Production of Plane Polarized Light

Different methods of production of polarized light

  • Polarization by reflection
  • Polarization by refraction
  • Polarization by selective absorption
  • Polarization by double refraction
  • Polarization by scattering

Polarization by Reflection

If a linearly polarized wave (Electric vector associated with the incident wave lies in the

plane of incidence) is incident on the interface of two dielectrics with the angle of

incidence equal toθ . If the angle of incidence θ is such that

Polarization of Light | Oscillations, Waves & Optics - Physics

then the reflection coefficient is zero.

Polarization of Light | Oscillations, Waves & Optics - Physics

Thus if an unpolarized beam is incident with an angle of incidence equal to p θ , the

reflected beam is plane polarized whose electric vector is perpendicular to the plane of

incidence.

Above equation is known as Brewster’s law. The angle θp is known as the polarizing

angle or the Brewster angle. At this angle, the reflected and the refracted rays are at right

angle to each other i.e.

θp + r =  π/2  ⇒ n = Polarization of Light | Oscillations, Waves & Optics - Physics= Polarization of Light | Oscillations, Waves & Optics - Physics⇒ tanθp = n

For the air-glass interface, n1 =1 and n2 ≈1.5 giving θp ≈ 570

Polarization by Refraction

If an unpolarized beam is incident with an angle of incidence equal to p θ , the reflected

beam is plane polarized whose electric vector is perpendicular to the plane of incidence.

The transmitted beam is partially polarized and if this beam is made to undergo several

reflections, then the emergent beam is almost plane polarized with its electric vector in

the plane of incidence.

Polarization of Light | Oscillations, Waves & Optics - Physics

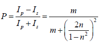
If Ip and Is be the intensity of the parallel and perpendicular component in refracted

light, then the degree of polarization is given by 

Polarization of Light | Oscillations, Waves & Optics - Physics

where m is the number of plate and n is the refractive index.

Polarization by selective absorption

A simple method for eliminating one of the beams is through selective absorption; this

property of selective absorption is known as dichroism. A crystal such as tourmaline has

different coefficients of absorption for the two linearly polarized beams into which the

incident beam splits up. Consequently, one of the beams gets absorbed quickly, and the

other component passes through without much attenuation. Thus, if an unpolarized beam

is passed through a tourmaline crystal, the emergent beam will be linearly polarized

Polarization of Light | Oscillations, Waves & Optics - Physics

Polarization by Double Refraction

When a ray of unpolarized light passed through doubly refracting crystal (calcite or

quartz), it split up into two refracted rays. One of the ray obeys the ordinary laws of

refraction i.e. ( n remains constant) and it is called ‘ordinary ray’ (o -ray). The other

behaves in an extra ordinary way (i.e. n varies) and called ‘extraordinary ray’ ( e -ray).

It is found that both the ordinary and extraordinary rays are plane-polarized having

vibration perpendicular to each other.

If one can sandwich a layer of a material whose refractive index lies between the two,

then for one of the beams, the incidence will be at a rarer medium and for the other it will

be at a denser medium. This Polarization of Light | Oscillations, Waves & Optics - Physics

principle is used in a Nicol prism

which consists of a calcite crystal

cut in such a way that for the

beam, for which the sandwiched

material is a rarer medium, the angle of incidence is greater than the critical angle. Thus

this particular beam will be eliminated by total internal reflection. Following figure

shows a properly cut calcite crystal in which a layer of Canada balsam has been

introduced so that the ordinary ray undergoes total internal reflection. The extraordinary

component passes through, and the beam emerging from the crystal is linearly polarized.

Polarization by Scattering

Polarization of Light | Oscillations, Waves & Optics - Physics

When an unpolarized beam moving in z -axis, strike a gas atom than the electric field in

unpolarized beam sets the electric charges in the gas atom in vibration. Since the E -field

is in xy plane, therefore, the vibration will take place in xy plane only. These vibration

can resolve in x and y direction and can said that two dipoles oscillating one in x and

other in y -direction with the frequency of incident light. Since an oscillating dipole does

not radiate in the direction of its own length.

Therefore, observer along x -axis will receive light component vibrating only in y -

direction and along y -axis the component will vibrate only x axis. Hence observer will

receive Plane Polarized light.

Blue colour of sky

Lord Rayleigh Formula: Intensity of light scattered from firie particles (dimension ≤ λ )

varies inversely as the fourth power of λ . i.e. Polarization of Light | Oscillations, Waves & Optics - PhysicsScattered intensity of blue light is more than red blue red ∵ λblue < λred .

Why blue scattered more: Natural frequency of bound electron in gas lies in ultra-violet region. Blue light closer to natural frequency than red light, therefore, blue is more effective in causing the electron to oscillate and thus it get more effectively scattered than red.

Red colour of sunrise and sunset

The path of the light through the atmosphere at sunrise and sunset is greatest. Since the violet & blue light is largely scattered and get removed and what we see is rest having red component.

Malus’ law

Polarization of Light | Oscillations, Waves & Optics - Physics

An unpolarized light beam gets polarized after passing through the Polaroid P1 which has a pass axis parallel to  the x axis. When this x -polarized light beam incident on the second Polaroid P2 whose pass axis makes an angle θ with the x axis, than the intensity of the emerging beam will vary as I = I0 cos2θ where I0 represents the intensity of the emergent beam when the pass axis of P2 is also along the x axis (i.e., when θ = 0 ), above equation known as Malus’ law.

Thus, if a linearly polarized beam is incident on a Polaroid and if the Polaroid is rotated about the z axis, then the intensity of the emergent wave will vary according to the above law.

The document Polarization of Light | Oscillations, Waves & Optics - Physics is a part of the Physics Course Oscillations, Waves & Optics.
All you need of Physics at this link: Physics
54 videos|22 docs|14 tests

FAQs on Polarization of Light - Oscillations, Waves & Optics - Physics

1. What is the plane of incidence in the context of polarization of light?
Ans. The plane of incidence is the plane that contains the incident ray of light and the normal to the surface at the point of incidence. It is important in the study of polarization as the angle between the plane of incidence and the plane of polarization affects the intensity of the transmitted light.
2. How does refraction affect the polarization of light?
Ans. When light passes from one medium to another through refraction, the polarization of the light can change. This occurs because the electric field of the light wave interacts differently with the molecules or atoms in the new medium, causing the direction of polarization to rotate or change. This phenomenon is known as polarization by refraction.
3. What is Malus' law and how is it related to polarization of light?
Ans. Malus' law states that the intensity of polarized light transmitted through an ideal polarizer is proportional to the square of the cosine of the angle between the plane of polarization of the incident light and the transmission axis of the polarizer. This law quantifies the relationship between the angle of polarization and the intensity of transmitted light.
4. How is the polarization of light relevant to IIT JAM exam?
Ans. The polarization of light is a fundamental concept in the field of optics, which is an important topic in the IIT JAM exam for physics. Questions related to polarization, including the plane of incidence, polarization by refraction, and Malus' law, may appear in the exam to test the understanding and application of these concepts.
5. Can you provide an example of how the plane of incidence affects the polarization of light?
Ans. Sure! Let's consider a scenario where polarized light is incident on a glass surface at an angle of 45 degrees with respect to the normal. If the plane of polarization of the incident light is parallel to the plane of incidence, then the intensity of the transmitted light will be maximum. However, if the plane of polarization is perpendicular to the plane of incidence, then the intensity of the transmitted light will be minimum or zero. This example illustrates how the plane of incidence influences the polarization and transmission of light.
Related Searches

Waves & Optics - Physics

,

Extra Questions

,

Free

,

Important questions

,

Polarization of Light | Oscillations

,

pdf

,

mock tests for examination

,

Waves & Optics - Physics

,

Polarization of Light | Oscillations

,

video lectures

,

Sample Paper

,

Summary

,

ppt

,

Semester Notes

,

Viva Questions

,

Objective type Questions

,

shortcuts and tricks

,

study material

,

Previous Year Questions with Solutions

,

practice quizzes

,

MCQs

,

Exam

,

Polarization of Light | Oscillations

,

Waves & Optics - Physics

,

past year papers

;