This EduRev document offers 20 Multiple Choice Questions (MCQs) from the topic Pie Chart (Level - 2). These questions are of Level - 2 difficulty and will assist you in the preparation of CAT & other MBA exams. You can practice/attempt these CAT Multiple Choice Questions (MCQs) and check the explanations for a better understanding of the topic.
Question for Practice Questions Level 2: Pie Chart
Try yourself:Directions: The question is based on the following pie chart.
Project implementation cost of ABC Ltd. (Rs. Crores)
Total project cost = Rs. 252 Crores
If the plant cost increases by 5% due to increase in construction cost, what will be approximate angle of the plant sector in the pie chart?
Explanation
Given plant cost = (100°/360°) × 252 crores = 70 crores
Plant cost increases by 5% of 70 crores = 3.5 crores.
∴ The Plant cost would be = 73.5 crores
∴ The total project cost would be 252 + 3.5 = 255.5 crores
Now, 255.5 is equivalent to 360°
∴ 73.5 will be
= 103.6° (Approx)
Report a problem
Question for Practice Questions Level 2: Pie Chart
Try yourself:Directions: The question is based on the following pie chart.
Project implementation cost of ABC Ltd. (Rs. Crores)
Total project cost = Rs. 252 Crores
If there is an escalation of 10% in Salaries& Wages and a reduction of 10% in land, what will be the new angle of salaries and wages?
Explanation
New angle of Salaries & Wages = 55° x 1.1 = 60.5° = 55 + 5.5
New angle of Land = 55° x 0.9 = 49.5° = 55 - 5.5
Since the increase in Salaries & Wages is the same as the decrease in Land, there will be no change in the total angle of the pie chart.
Thus, new angle of salaries and wages = 60.5°
Report a problem
Question for Practice Questions Level 2: Pie Chart
Try yourself:Directions: The question is based on the following pie chart.
Project implementation cost of ABC Ltd. (Rs. Crores)
Total project cost = Rs. 252 Crores
If 5% of administrative costs are reduced and 10% of the remaining administrative costs are transferred to Others category, what is the angle of administrative costs now?
Explanation
Reduction in administrative cost 5% of 30° = 1.5°
Hence, remaining administrative cost = 30° - 1.5° = 28.5°
Transferred administrative cost 10% of 28.5° = 2.85°
∴ Hence, the remaining administrative cost 28.5° - 2.85° = 25.65°
Also, since 5% of the administrative costs (1.5°) are reduced, thus new pie angle = 360° - 1.5° = 358.5°
Hence, new angle of Administrative Cost =
x 360 = 25.76°
Report a problem
Question for Practice Questions Level 2: Pie Chart
Try yourself:Directions: The following diagrams show the cost price and selling price (in Rs.) of different fruits sold by a fruit vendor.
How much percentage profit can he earn from the apples?
Explanation
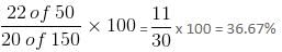
Cost price of apples = 35% of Rs. 11,500 = Rs. 4025
Selling price of apples = 40% of Rs. 16,000 = Rs. 6400
Profit = Rs. 6400 - Rs. 4025 = Rs. 2375
So, profit percentage =
=
× 100 = 59% (approx.)
Report a problem
Question for Practice Questions Level 2: Pie Chart
Try yourself:Directions: The following diagrams show the cost price and selling price (in Rs.) of different fruits sold by a fruit vendor.
On which fruit will he get the highest profit percentage?
Explanation
Report a problem
Question for Practice Questions Level 2: Pie Chart
Try yourself:Directions: The following diagrams show the cost price and selling price (in Rs.) of different fruits sold by a fruit vendor.
On how many types of fruits will he suffer a loss?
Explanation

Only on grapes will he suffer a loss.
Report a problem
Question for Practice Questions Level 2: Pie Chart
Try yourself:Directions: The following diagrams show the cost price and selling price (in Rs.) of different fruits sold by a fruit vendor.
If the selling price of pineapple is increased by 20%, then what is the percentage increase in the total selling price?
Explanation
C.P. is constant.
S.P. of pineapple is increased by 20%; the contribution of pineapple in total S.P. is 15%.
If we assume total S.P. to be 100, then
Increase = 20% of 15 = 3
Out of total 100, increase ⇒ 3%
Report a problem
Question for Practice Questions Level 2: Pie Chart
Try yourself:Directions: Answer the question on the basis of the pie charts given below.
The following pie charts show the distribution of run scored by Kohli and the Indian team in an innings, considering only the scoring shots.
- The balls on which no runs were scored are called dot balls.
- Strike rate of a batsman is the number of runs scored as the percentage of the total number of balls played, including the dot balls.
If Kohli played 98 dot balls, what was his approximate strike rate?
Explanation
Runs scored by Kohli = (6 x 0.04 + 1 x 0.48 + 2 x 0.20 + 3 x 0. 06 + 4 x 0.22) x 50 = 109
So, strike rate =
= 73.65 = 74 (approx.)
Report a problem
Question for Practice Questions Level 2: Pie Chart
Try yourself:Directions: Answer the question on the basis of the pie charts given below.
The following pie charts show the distribution of run scored by Kohli and the Indian team in an innings, considering only the scoring shots.
- The balls on which no runs were scored are called dot balls.
- Strike rate of a batsman is the number of runs scored as the percentage of the total number of balls played, including the dot balls.
What was Kohli's share in the number of 4s scored by the Indian team?
Explanation
Kohli's share = 
Report a problem
Question for Practice Questions Level 2: Pie Chart
Try yourself:Directions: Answer the question on the basis of the pie charts given below.
The following pie charts show the distribution of run scored by Kohli and the Indian team in an innings, considering only the scoring shots.
- The balls on which no runs were scored are called dot balls.
- Strike rate of a batsman is the number of runs scored as the percentage of the total number of balls played, including the dot balls.
If the strike rate of the Indian team for this innings was 75%, how many dot balls were played?
Explanation
Team's total score = (0.52 x 1 + 0.22 x 2 + 0.04 x 3 + 0.20 x 4 + 0.02 x 6) x 150 = 300
Total number of balls = 
= 300/0.75 = 400
Total number of balls = 400
Thus, number of dot balls = 400 - 150 = 250
Report a problem
Question for Practice Questions Level 2: Pie Chart
Try yourself:Directions: Answer the question on the basis of the pie charts given below.
The following pie charts show the distribution of run scored by Kohli and the Indian team in an innings, considering only the scoring shots.
- The balls on which no runs were scored are called dot balls.
- Strike rate of a batsman is the number of runs scored as the percentage of the total number of balls played, including the dot balls.
If Dhoni scored 43 runs in the innings, how much did Dhoni and Kohli together contribute to the team's total score?
Explanation
Team's total score = (0.52 x 1 + 0.22 x 2 + 0.04 x 3 + 0.20 x 4 + 0.02 x 6) x 150 = 300
Dhoni's score = 43 runs
Runs scored by Kohli = (6 x 0.04 + 1 x 0.48 + 2 x 0.20 + 3 x 0. 06 + 4 x 0.22) x 50 = 109
Contribution of Kohli and Dhoni in total run's = 
Report a problem
Question for Practice Questions Level 2: Pie Chart
Try yourself:Directions: Study the following information of monthly income and expenditure of an NGO and answer the question.

If the income from colleges is Rs. 40 lakhs and expenditure on salaries of workers is Rs. 11 lakhs, then find the savings of an NGO.
(Saving = Income - Expenditure)
Explanation
Income from college is Rs. 40 lakhs.
Let total income be Rs. x.
40% of x = 40 lakhs
x = (40/40) x 100 = 100 lakhs
Let total expenditure be Rs. y.
55% of y = 11 lakhs
y = (11/55) x 100 = 20 lakhs
Total savings of relief fund = 100 - 20 = Rs. 80 lakhs
Report a problem
Question for Practice Questions Level 2: Pie Chart
Try yourself:Directions: Study the following information of monthly income and expenditure of an NGO and answer the question.

If no money is spent on construction, then the income and expenditure are same; otherwise there is shortage of Rs. 6,50,000. What is the total income (approximately) of the NGO?
Explanation
From given information,
Total income = Total expenditure - 9% of total expenditure
= Total expenditure - 6,50,000
Total expenditure = 6,50,000/0.09 = Rs. 72,22,222 (approximately)
Total income = 72,22,222 x 0.91 = Rs. 65,72,222 (approximately)
Report a problem
Question for Practice Questions Level 2: Pie Chart
Try yourself:Directions: Study the following information of monthly income and expenditure of an NGO and answer the question.

If the total income was Rs. 3.5 crores, and expenses on taxes and amenities is done only from the total colleges income, then what is the total expenditure (approximately)?
Explanation
-
Total income = ₹3.5 cr
-
Colleges’ share = 40% of 3.5 = 0.40 × 3.5 = ₹1.4 cr
-
Taxes + Amenities = 5% + 31% = 36% of total expenditure
-
36% of X = 1.4 ⇒ 0.36 X = 1.4 ⇒ X = 1.4 ÷ 0.36 = 3.888…
-
Total expenditure ≈ ₹3.9 cr
Answer: ₹3.9 crores
Report a problem
Question for Practice Questions Level 2: Pie Chart
Try yourself:Directions: Study the following information of monthly income and expenditure of an NGO and answer the question.

If relief funds's contribution was Rs. 10,00,000 and total savings were Rs. 60,000, then what would be the expenditure on salaries of workers?
(Savings = Income - Expenditure)
Explanation
Relief fund's contribution = 35% of the total income
Total income =
28,57,143
Savings = Rs. 60,000
⇒ Total expenditure = Total income - savings
= 28,57,143 - 60,000 = 27,97,143
Expenditure on salaries of workers = 55% of total expenditure = Rs. 15,38,429
Report a problem
Question for Practice Questions Level 2: Pie Chart
Try yourself:Directions: Study the given information and answer the following question.
The pie charts shown below give information about the percentage distribution of incomes and expenses of different family members.

If the income of F increases by 18% and his expenses increase by 36%, then what will be the percentage decrease in savings of F?
Explanation
Initial Savings of F = 2,70,000 x 0.2 – 1,45,000 x 0.24 = 54,000 - 34,800 = Rs. 19,200
Final Savings of F = 2,70,000 x 0.2 x 1.18 – 1,45,000 x 0.24 x 1.36 = 63,720 - 47,328 = Rs. 16,392
Percentage decrease = (2808 x 100)/19,200 = 14.6%
Report a problem
Question for Practice Questions Level 2: Pie Chart
Try yourself:Directions: Study the given information and answer the following question.
The pie charts shown below give information about the percentage distribution of incomes and expenses of different family members.

The amount saved by B is what percent of amount saved by D?
Explanation
Amount saved by B = 2,70,000 x 0.21 – 1,45,000 x 0.15 = 56,700 - 21,750 = Rs. 34,950
Amount saved by D = 2,70,000 x 0.21 – 1,45,000 x 0.18 = 56,700 - 26,100 = Rs. 30,600
Required Percentage = (34,950 x 100)/30,600 = 114.22%
Report a problem
Question for Practice Questions Level 2: Pie Chart
Try yourself:Directions: A company manufactures bicycles, bikes, cars and auto rickshaws. In the previous year, this company got 20% profit.
The following pie-charts represent the expenses and income of the company last year.

Total expenses are $150 mn.
Which product gave the maximum profit percentage?
Explanation
Total expenses are $150 mn.
Since the companay got 20% profit, so the income will be $180 mn.

Both bicycles and bikes gives 50 % profit.
Report a problem
Question for Practice Questions Level 2: Pie Chart
Try yourself:Directions: A company manufactures bicycles, bikes, cars and auto rickshaws. In the previous year, this company got 20% profit.
The following pie-charts represent the expenses and income of the company last year.

Total expenses are $150 mn.
What is the ratio of profit from bikes to the total profit?
Explanation
Total expenses are $150 mn.
Since the company got 20% profit, so the income will be $180 mn.


Report a problem
Question for Practice Questions Level 2: Pie Chart
Try yourself:Directions: A company manufactures bicycles, bikes, cars and auto rickshaws. In the previous year, this company got 20% profit.
The following pie-charts represent the expenses and income of the company last year.

Total expenses are $150 mn.
If expenses of cars increase by 10% and income on bikes decreases by 10% and others do not change, then what is the percentage change in the total profit?
Explanation
Total expenses are $150 mn.
Since the company got 20% profit, so the income will be $180 mn.

Expenses of cars increased by 10%.
New expenses of cars = 54 x 1.1 = 59.4 mn
Increase in expenses of cars = 59.4 - 54 = 5.4 mn
Total expenses increase = 150 + 5.4 = $155.4 mn
10% decrease in income of bikes (30%)
New income of bikes = 54 x 0.9 = 48.6 mn
Decrease in income of bikes = 54 - 48.6 = 5.4 mn
Hence, total income = 180 - 5.4 = $174.6 mn
New profit = $174.6 - $155.4 = $19.2 mn
Initial profit = $30 mn
So, decrease in profit % = [(30 - 19.2)/30] x 100 = 36%
Report a problem