Physics Exam  >  Physics Notes  >  Kinetic Theory & Thermodynamics  >  Quantum Mechanical Identical Particle

Quantum Mechanical Identical Particle | Kinetic Theory & Thermodynamics - Physics PDF Download

Bose Einstein distribution

In quantum statistics, Bose–Einstein statistics (or more colloquially B–E statistics) is one of two possible ways in which a collection of indistinguishable particles may occupy a set of available discrete energy state . The aggregation of particles in the same state, which is a characteristic of particles obeying Bose–Einstein statistics .who recognized that a collection of identical and indistinguishable particles can be distributed in this way.

The Bose–Einstein statistics apply only to those particles not limited to single occupancy of the same state—that is, particles that do not obey the Pauli exclusion restrictions.

Such particles have integer values of spin and are named boson , after the statistics that

correctly describe their behavior.

The wave function of particle will overlap to each other because mean separation of particles is less than the thermal wavelength, which is identified by λ.

(where Quantum Mechanical Identical Particle | Kinetic Theory & Thermodynamics - Physicsis defined as the thermal wavelength )

Suppose there are l states with energies, E1,E2,E3,...Eand degeneracy g1,g2,g3...gl. Respectively, in which the particles are distributed. If there is N numbers of indistinguishable boson particles out of these n1,n2,n3.....nl particles is adjusted in energy level E1,E2,E3,...Erespectively.

It is given Quantum Mechanical Identical Particle | Kinetic Theory & Thermodynamics - Physics

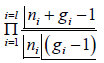
The total no. of arrangements of the particles in the given distributions is given by

W = Quantum Mechanical Identical Particle | Kinetic Theory & Thermodynamics - Physics, W = Quantum Mechanical Identical Particle | Kinetic Theory & Thermodynamics - Physics

If ni and gi are large numbers, we can omit 1 in comparison to them,

So we have, W = Quantum Mechanical Identical Particle | Kinetic Theory & Thermodynamics - Physics

The Bose Einstein distribution of the particle among various states ni = Quantum Mechanical Identical Particle | Kinetic Theory & Thermodynamics - Physics

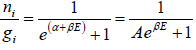
The Bose-Einstein energy distribution is,f(E) = Quantum Mechanical Identical Particle | Kinetic Theory & Thermodynamics - Physics

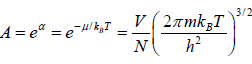
Where, β = Quantum Mechanical Identical Particle | Kinetic Theory & Thermodynamics - Physics and Quantum Mechanical Identical Particle | Kinetic Theory & Thermodynamics - Physics

Here, μ is chemical potential which is generally a function of T . when A >> 1, Bose- Einstein gas reduces to the Maxwell-Boltzmann gas. The chemical potential for Bose gas

is negative, but for photon gas is zero.

Example 11: Two indistinguishable boson particles have to be adjusted in a state whose degeneracy is three.

(a) How many ways the particles can be adjusted?

(b) Show all arrangement.

(a) ni = 2, gi = 3, Wi = Quantum Mechanical Identical Particle | Kinetic Theory & Thermodynamics - Physics = 6 ways

(b) Total number of arrangement for 2 indistinguishable boson particles in state whose degeneracy is 3.Quantum Mechanical Identical Particle | Kinetic Theory & Thermodynamics - Physics


Examples 12: (a) Write down distribution function of photon at temperature T , if average energy in each state is given by ε= hv.

(b) What is density of state of photon gas between frequency v to v + dv

(c) Write down expression of no of particle for photon gas at temperature T .

(d) Write down expression of average energy for photon gas at temperature T.

(a) The Bose Einstein distribution is given by f(E) = Quantum Mechanical Identical Particle | Kinetic Theory & Thermodynamics - Physics where Quantum Mechanical Identical Particle | Kinetic Theory & Thermodynamics - Physics

For boson μ = 0 so Quantum Mechanical Identical Particle | Kinetic Theory & Thermodynamics - Physics

For if average energy in each state is given by ε= hv then  f(E) = Quantum Mechanical Identical Particle | Kinetic Theory & Thermodynamics - Physics.

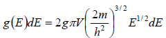
(b) If j is quantum number associate with frequency v then total no of frequency between v to v + dv is same as the number of points between j to j + dj . The volume of spherical shell of radius j and thickness dj is 4πj2dj

Hence all three component of j is positive (same as particle in box) and there are two direction of polarization so degeneracy g = 2 .

So number of standing wave g(j)dj = Quantum Mechanical Identical Particle | Kinetic Theory & Thermodynamics - Physics

It is given,Quantum Mechanical Identical Particle | Kinetic Theory & Thermodynamics - Physics

So density of standing wave in cavity is given by g(v)dv = Quantum Mechanical Identical Particle | Kinetic Theory & Thermodynamics - Physics

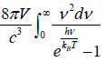
(c) N = Quantum Mechanical Identical Particle | Kinetic Theory & Thermodynamics - Physics

N = Quantum Mechanical Identical Particle | Kinetic Theory & Thermodynamics - Physics put Quantum Mechanical Identical Particle | Kinetic Theory & Thermodynamics - Physics

The integral have value, N = Quantum Mechanical Identical Particle | Kinetic Theory & Thermodynamics - Physics

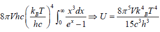
(d) U = Quantum Mechanical Identical Particle | Kinetic Theory & Thermodynamics - Physics

U = Quantum Mechanical Identical Particle | Kinetic Theory & Thermodynamics - Physics

U = Quantum Mechanical Identical Particle | Kinetic Theory & Thermodynamics - Physics


Example 13: A system consisting of two boson particles each of which can be any one of three quantum state of respective energies o, ,3 is in equilibrium at temperature T. write the expression of partition function.

Two boson can be distributed in three given state with their respective energy level shown in table

Quantum Mechanical Identical Particle | Kinetic Theory & Thermodynamics - Physics

Z = Quantum Mechanical Identical Particle | Kinetic Theory & Thermodynamics - Physics

Fermi Dirac Distribution

In quantum statistics, Fermi–Dirac statistics describes distribution of particles in a system comprising many identical particles that obey the Pauli Exclusion Principle (The Pauli Exclusion Principle is the quantum mechanical principle that no two identical fermions (particles with half-integer spin) may occupy the same quantum state simultaneously.)

Fermi–Dirac (F–D) statistics applies to identical particles with half odd integer spin in a system in thermal equilibrium. Additionally, the particles in this system are assumed to have negligible mutual interaction. This allows the many-particle system to be described

in terms of single-particle energy states. The result is the F-D distribution of particles over these states and includes the condition that no two particles can occupy the same state, which has a considerable effect on the properties of the system. Since F-D statistics applies to particles with half-integer spin, these particles have come to be called fermions. It is most commonly applied to electrons, which are fermions with spin 1/2.

No. of ways W in which ni indistinguishable particles to place in level with the

condition that only one particle or no particle can be placed in gi each level i.e. identical

particles that obey the Pauli exclusion principle. (It is given Quantum Mechanical Identical Particle | Kinetic Theory & Thermodynamics - Physics)

It is given by, W = Quantum Mechanical Identical Particle | Kinetic Theory & Thermodynamics - Physics

Fermi-Dirac distribution of the particles among various states is given by

Quantum Mechanical Identical Particle | Kinetic Theory & Thermodynamics - Physics

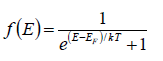
So Fermi Dirac distribution f(E) = Quantum Mechanical Identical Particle | Kinetic Theory & Thermodynamics - Physics

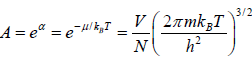
where β = Quantum Mechanical Identical Particle | Kinetic Theory & Thermodynamics - Physics and A = Quantum Mechanical Identical Particle | Kinetic Theory & Thermodynamics - Physics

when A >>1, Fermi-Dirac gas reduces to the Maxwell-Boltzmann gas. Fermi-Dirac gas is said to be weakly degenerate when A > 1 , degenerate when A<1 and strongly degenerate when A = 0 . Strongly degenerate Fermi gas A < 1

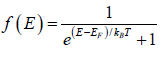
The Fermi-Dirac energy distribution is, f(E)= Quantum Mechanical Identical Particle | Kinetic Theory & Thermodynamics - Physics

Where, μ is the chemical potential which is a function of T , i.e., μ = μ (T ) . The gas is

strongly degenerate (A= 0) at T = 0 , where μ = μ(0) = EF . The limiting chemical potential is known as the Fermi energy EF of the gas and the distribution function can be

written as Quantum Mechanical Identical Particle | Kinetic Theory & Thermodynamics - Physics

Strongly degenerate Fermi gas at T = 0

At T = 0 , when E<EF we have f(E) = Quantum Mechanical Identical Particle | Kinetic Theory & Thermodynamics - Physics

At T = 0 , when E>EF we have f(E) =Quantum Mechanical Identical Particle | Kinetic Theory & Thermodynamics - Physics

Quantum Mechanical Identical Particle | Kinetic Theory & Thermodynamics - Physics

Fermi function f (E) versus E at T

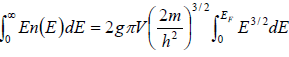
The number of energy states in the energy range from E to E + dE is Quantum Mechanical Identical Particle | Kinetic Theory & Thermodynamics - Physics. Here, g is the spin degeneracy, g = (2s +1) , where s is the spin quantum number of a particle.

The number of particles in the energy range from E to E + dE at T = 0 is

Quantum Mechanical Identical Particle | Kinetic Theory & Thermodynamics - Physics for E<EF

N = Quantum Mechanical Identical Particle | Kinetic Theory & Thermodynamics - Physics = Quantum Mechanical Identical Particle | Kinetic Theory & Thermodynamics - Physics

Quantum Mechanical Identical Particle | Kinetic Theory & Thermodynamics - Physics

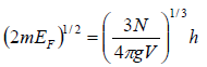
Thus, the Fermi energy is Quantum Mechanical Identical Particle | Kinetic Theory & Thermodynamics - Physics

and the Fermi temperature TF is defined as TF = Quantum Mechanical Identical Particle | Kinetic Theory & Thermodynamics - Physics

The Fermi momentum pF is given by pF = Quantum Mechanical Identical Particle | Kinetic Theory & Thermodynamics - Physics

Total energy of the gas at T = 0 is

U = Quantum Mechanical Identical Particle | Kinetic Theory & Thermodynamics - Physics = Quantum Mechanical Identical Particle | Kinetic Theory & Thermodynamics - Physics

Thus, at T = 0 we have U/N = 3/5EF

Example 14: What is no. of ways if two fermions have to adjust in energy state whose degeneracy is three.

gi = 3, ni = 2 , W = Quantum Mechanical Identical Particle | Kinetic Theory & Thermodynamics - Physics

Two indistinguishable particles is shown by A, A

Quantum Mechanical Identical Particle | Kinetic Theory & Thermodynamics - Physics


Example 15: Fermions of mass m are kept in two dimensional box of area A at temperature T = 0

(a) What is total number of particle if is Fermi energy EF

(b) What is the energy of the system if is Fermi energy EF.

(c) Write expression of energy in term of Eand N

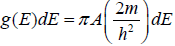
For two dimensional systems, density of state Quantum Mechanical Identical Particle | Kinetic Theory & Thermodynamics - Physics

And distribution function at temperature T = 0 , is given by Quantum Mechanical Identical Particle | Kinetic Theory & Thermodynamics - Physics

(a) N = Quantum Mechanical Identical Particle | Kinetic Theory & Thermodynamics - Physics

(b) E = Quantum Mechanical Identical Particle | Kinetic Theory & Thermodynamics - Physics Quantum Mechanical Identical Particle | Kinetic Theory & Thermodynamics - Physics, Quantum Mechanical Identical Particle | Kinetic Theory & Thermodynamics - Physics

(c) E = Quantum Mechanical Identical Particle | Kinetic Theory & Thermodynamics - Physics


Example 16: (a) If Fermi gas is at temperature T > 0 what will f(EF) .

(b) At E = E+ x , find the fraction of occupied levels.

(c) At E = E- x , find fraction of unoccupied levels.

(a) It is also interesting to note that at T = 0 , when  E = EF we have

Quantum Mechanical Identical Particle | Kinetic Theory & Thermodynamics - Physics

(b) At T > 0, fraction of levels above EF are occupied and a fraction of levels below EF are vacant. The fraction of occupied levels at the energy E is

Quantum Mechanical Identical Particle | Kinetic Theory & Thermodynamics - Physics

At E = E+ x , find the fraction of occupied levels is Quantum Mechanical Identical Particle | Kinetic Theory & Thermodynamics - Physics

(c) The fraction of unoccupied levels at the energy E is

Quantum Mechanical Identical Particle | Kinetic Theory & Thermodynamics - Physics

At E = E- x , find the fraction of occupied levels is Quantum Mechanical Identical Particle | Kinetic Theory & Thermodynamics - Physics

The document Quantum Mechanical Identical Particle | Kinetic Theory & Thermodynamics - Physics is a part of the Physics Course Kinetic Theory & Thermodynamics.
All you need of Physics at this link: Physics
6 videos|20 docs|32 tests

FAQs on Quantum Mechanical Identical Particle - Kinetic Theory & Thermodynamics - Physics

1. What is the Fermi-Dirac distribution in quantum mechanics?
Ans. The Fermi-Dirac distribution is a probability distribution that describes the behavior of identical particles in quantum mechanics. It determines the probability of finding a particle in a particular quantum state at a given temperature. It is applicable to fermions, particles with half-integer spin, such as electrons.
2. How does the Fermi-Dirac distribution differ from the classical Boltzmann distribution?
Ans. The Fermi-Dirac distribution differs from the classical Boltzmann distribution in that it takes into account the quantum mechanical nature of particles and the Pauli exclusion principle. The Fermi-Dirac distribution considers that no two identical fermions can occupy the same quantum state simultaneously, resulting in a unique distribution of particles at low temperatures, known as the Fermi-Dirac statistics.
3. What are the key features of the Fermi-Dirac distribution function?
Ans. The key features of the Fermi-Dirac distribution function are as follows: 1. It ranges from 0 to 1, indicating the probability of finding a particle in a particular state. 2. At absolute zero temperature, it is equal to 1 for all states below the Fermi energy and 0 for all states above it. 3. It decreases with increasing energy at higher temperatures, indicating a higher probability of occupation for lower energy states. 4. The distribution function approaches the classical Boltzmann distribution at high temperatures.
4. How does the Fermi-Dirac distribution relate to the behavior of electrons in a material?
Ans. The Fermi-Dirac distribution plays a crucial role in understanding the behavior of electrons in a material. It determines the occupation of energy states by electrons, providing insights into electrical conductivity, thermal conductivity, and other electronic properties of the material. The distribution function helps in understanding phenomena like Fermi energy, Fermi surface, and the behavior of electrons near absolute zero temperature.
5. How is the Fermi-Dirac distribution used in practical applications?
Ans. The Fermi-Dirac distribution is used in various practical applications, particularly in the field of semiconductor physics. It helps in analyzing and predicting the behavior of electrons in semiconductor devices like transistors and diodes. It is also used in understanding the electronic properties of metals, superconductors, and other materials. Additionally, the Fermi-Dirac distribution is utilized in the study of thermodynamics, statistical mechanics, and quantum statistical mechanics.
Related Searches

practice quizzes

,

Semester Notes

,

Quantum Mechanical Identical Particle | Kinetic Theory & Thermodynamics - Physics

,

Summary

,

Objective type Questions

,

pdf

,

study material

,

shortcuts and tricks

,

Exam

,

video lectures

,

Important questions

,

Previous Year Questions with Solutions

,

mock tests for examination

,

MCQs

,

past year papers

,

Sample Paper

,

Quantum Mechanical Identical Particle | Kinetic Theory & Thermodynamics - Physics

,

Quantum Mechanical Identical Particle | Kinetic Theory & Thermodynamics - Physics

,

Extra Questions

,

Viva Questions

,

Free

,

ppt

;