Class 9 Exam  >  Class 9 Notes  >  RD Sharma Solutions for Class 9 Mathematics  >  RD Sharma Solutions -Ex-5.1, (Part - 1) Factorization Of Algebraic Expressions, Class 9, Maths

Ex-5.1, (Part - 1) Factorization Of Algebraic Expressions, Class 9, Maths RD Sharma Solutions | RD Sharma Solutions for Class 9 Mathematics PDF Download

Q1 . x3+x−3x2−3

SOLUTION :

Taking  x common in x3+x

=x(x2+1)−3x2−3

Taking  – 3 common in −3x2−3

=x(x2+1)−3(x2+1)

Now , we take (x2+1) common

=(x2+1) (x – 3)

∴ x3+x−3y2−3 =(x2+1) (x – 3)

 

Q2 . a(a+b)3−3a2b(a+b)

SOLUTION :

Taking  (a + b) common in the two terms

= (a + b) {a(a + b) ² – 3a ²b}

Now,  using  (a+b)2=a2+b2+2ab

=(a+b){a(a2+b2+2ab)−3a2b}

=(a+b){a3+ab2+2a2b−3a2b}

=(a+b){a3+ab2−a2b}

=(a+b)p{a2+b2−ab}

=p(a+b)(a2+b2−ab)

∴a(a+b)3−3a2b(a+b)=a(a+b)(a2+b2−ab)

 

Q3 . x(x3−y3)+3xy(x−y)

SOLUTION :

Elaborating  x3−y3  using the identity  x3−y3=(x−y)(x2+xy+y2)

=x(x−y)(x2+xy+y2)+3xy(x−y)

Taking common x( x-y ) in both the terms

=x(x−y)(x2+xy+y2+3y)

∴  x(x3−y3)+3xy(x−y)= x(x−y)(x2+xy+y2+3y)

 

Q4 . a2x2+(ax2+1)x+a

SOLUTION :

We multiply x(ax2+1)=ax3+x

=a2x2+ax3+x+a

Taking common ax2 in (a2x2+ax3) and  1in ( x + a )

=ax2(a+x)+1(x+a)

=ax2(a+x)+1(a+x)

Taking ( a + x ) common in both the terms

=(a+x)(ax2+1)

∴ a2x2+(ax2+1)x+a =(a+x)(ax2+1)

 

Q5 . x2+y−xy−x

SOLUTION :

On rearranging

x2−xy−x+y

Taking x common in the  (x2−xy) and -1 in(-x+y )

=x( x – y ) – 1 ( x – y )

Taking ( x – y ) common in the terms

=( x – y )( x – 1 )

latex]∴\)x2+y−xy−x =( x – y )( x – 1 )

 

Q6 . x3−2x2b+3xy2−6y3

SOLUTION :

Taking x2 common in (x3−2x2y) and +3y2 common in  (3xy2−6y3)

= x2(x−2y)+3y2(x−2y)

Taking  ( x – 2y ) common in the terms

= (x−2y)(x2+3y2)

latex]∴\) x3−2x2y+3xy2−6y3 = (x−2y)(x2+3y2)

 

Q7 . 6ab−b2+12ac−2bc

SOLUTION :

Taking  b common in (6ab−b2) and 2c in ( 12ac – 2bc )

=b( 6a – b ) + 2c ( 6a – b )

Taking  ( 6a – b ) common in the terms

=( 6a – b )( b + 2c )

latex]∴\)6ab−b2+12ac−2bc =( 6a – b )( b + 2c )

 

 Q8 . 

Ex-5.1, (Part - 1) Factorization Of Algebraic Expressions, Class 9, Maths RD Sharma Solutions | RD Sharma Solutions for Class 9 Mathematics

SOLUTION :

Ex-5.1, (Part - 1) Factorization Of Algebraic Expressions, Class 9, Maths RD Sharma Solutions | RD Sharma Solutions for Class 9 Mathematics

Ex-5.1, (Part - 1) Factorization Of Algebraic Expressions, Class 9, Maths RD Sharma Solutions | RD Sharma Solutions for Class 9 Mathematics

Ex-5.1, (Part - 1) Factorization Of Algebraic Expressions, Class 9, Maths RD Sharma Solutions | RD Sharma Solutions for Class 9 Mathematics

Using identity

x2+y2+z2+2xy+2yz+2zx=(x+y+z)2

We get,

Ex-5.1, (Part - 1) Factorization Of Algebraic Expressions, Class 9, Maths RD Sharma Solutions | RD Sharma Solutions for Class 9 Mathematics

Ex-5.1, (Part - 1) Factorization Of Algebraic Expressions, Class 9, Maths RD Sharma Solutions | RD Sharma Solutions for Class 9 Mathematics

Ex-5.1, (Part - 1) Factorization Of Algebraic Expressions, Class 9, Maths RD Sharma Solutions | RD Sharma Solutions for Class 9 Mathematics

 

Q9 . x( x- 2 )( x – 4 ) + 4x – 8

SOLUTION :

=x( x  – 2 )( x – 4 ) + 4( x – 2 )

Taking ( x – 2 ) common in both the terms

=( x – 2 ){x( x – 4 ) + 4}

=( x – 2 ) {x2−4x+4}

Now splitting the middle term of x2−4x+4

=( x – 2 ){ x2−2x−2x+4}

=( x – 2 ){ x( x – 2 ) -2( x -2 )}

=( x – 2 ){( x – 2 )( x- 2 )}

=( x – 2 )( x – 2 )( x – 2 )

=(x−2)3

∴ x( x- 2 )( x – 4 ) + 4x – 8=(x−2)3

 

Q10 .( x + 2 ) (x2+25)−10x2−20x

SOLUTION :

( x + 2 ) (x2+25)-10x ( x + 2 )

Taking  ( x + 2 ) common in both the terms

=( x + 2 ) (x2+25−10x)

=( x + 2 ) (x2−10x+25)

Splitting the middle term of  (x2−10x+25)

=( x + 2 ) (x2−5x−5x+25)

=( x + 2 ){ x (x – 5 ) -5 ( x – 5 )}

=( x + 2 )( x – 5 )( x – 5 )

∴ ( x + 2 ) (x2+25)−10x2 – 20x=( x + 2 )( x – 5 )( x – 5 )

 

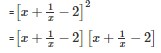
Q11 . Ex-5.1, (Part - 1) Factorization Of Algebraic Expressions, Class 9, Maths RD Sharma Solutions | RD Sharma Solutions for Class 9 Mathematics

SOLUTION :

Ex-5.1, (Part - 1) Factorization Of Algebraic Expressions, Class 9, Maths RD Sharma Solutions | RD Sharma Solutions for Class 9 Mathematics

 

Using the identity (p+q)2=p2+q2+2pq

Ex-5.1, (Part - 1) Factorization Of Algebraic Expressions, Class 9, Maths RD Sharma Solutions | RD Sharma Solutions for Class 9 Mathematics

Ex-5.1, (Part - 1) Factorization Of Algebraic Expressions, Class 9, Maths RD Sharma Solutions | RD Sharma Solutions for Class 9 Mathematics

Ex-5.1, (Part - 1) Factorization Of Algebraic Expressions, Class 9, Maths RD Sharma Solutions | RD Sharma Solutions for Class 9 Mathematics

Ex-5.1, (Part - 1) Factorization Of Algebraic Expressions, Class 9, Maths RD Sharma Solutions | RD Sharma Solutions for Class 9 Mathematics

 

Q 12 . (a−b+c)2+(b−c+a)2+2(a−b+c)×(b−c+a)

SOLUTION :

Let  ( a – b + c ) = x and ( b – c + a ) = y

  • =x2+y2+2xy

Using  the  identity  (a+b)2=a2+b2+2ab

=(x+y)2

Now , substituting  x and y

  • (a–b+c+b−c+a)2

Cancelling –b , +b  &  +c , -c

=(2a)2

=4a2

∴(a−b+c)2+(b−c+a)2+2(a−b+c)×(b−c+a)=4a2

 

Q13 . a2+b2+2(ab+bc+ca)

SOLUTION :

=a2+b2+2ab+2bc+2ca

Using  the  identity  (p+q)2=p2+q2+2pq

We get,

= (a+b)2 + 2bc + 2ca

= (a+b)2 + 2c( b + a )

Or (a+b)2 + 2c( a + b )

Taking  ( a + b ) common

= ( a + b )( a + b + 2c )

∴ a2+b2+2(ab+bc+ca) = ( a + b )( a + b + 2c )

 

Q14 . 4(x−y)2−12(x−y)(x+y)+9(x+y)2

SOLUTION :

Let ( x – y ) = x,( x + y ) = y

= 4x2−12xy+9y2

Splitting the middle term  – 12 = -6 -6  also  4×9=−6×−6

=4x2−6xy−6xy+9y2

=2x( 2x – 3y ) -3y( 2x – 3y )

=( 2x – 3y ) ( 2x – 3y )

=(2x−3y)2

Substituting  x =  x – y  & y =  x + y

=[2(x−y)−3(x+y)]2=[ 2x – 2y – 3x – 3y ]2

=(2x-3x-2y-3y )²

=[−x−5y]2

=[(−1)(x+5y)]2

=(x+5y)2                                                   [∵ (-1)2 = 1]

∴ 4(x−y)2−12(x−y)(x+y)+9(x+y)2=(x+5y)2

 

Q 15 . a2−b2+2bc−c2

SOLUTION :

a2−(b2−2bc+c2)

Using the identity  (a−b)2=a2+b2−2ab

= a2−(b−c)2

Using the identity  a2−b2=(a+b)(a−b)

=( a + b – c )( a – ( b – c ))

=( a + b – c )( a – b + c )

∴ a2−b2+2bc−c2=( a + b – c )( a – b + c )

 

Q16 . a2+2ab+b2−c2

SOLUTION :

Using  the  identity  (p+q)2=p2+q2+2pq

=(a+b)2−c2

Using the identity  p2−q2=(p+q)(p−q)

=( a + b + c )( a + b – c )

∴ a2+2ab+b2−c2 =( a + b + c )( a + b – c )

 

Q 17 . a2+4b2−4ab−4c2

SOLUTION :

On rearranging

= a2−4ab+4b2−4c2

= (a)2−2×a×2b+(2b)2−4c2

Using the identity  (a−b)2=a2+b2−2ab

=(a−2b)2−4c2

=(a−2b)2−(2c)2

Using the identity  a2−b2=(a+b)(a−b)

=( a – 2b  – 2c) ( a – 2b  + 2c)

∴ a2+4b2−4ab−4c2 =( a – 2b  – 2c) ( a – 2b  + 2c)

 

Q18 . xy9−yx9

SOLUTION :

=xy(y8−x8)

=xy((y4)2−(x4)2)

Using the identity  p2−q2= ( p + q )( p – q )

=xy(y4+x4)(y4−x4)

=xy(y4+x4)((y2)2−(x2)2)

Using the identity  p2−q2= ( p + q )( p – q )

=xy(y4+x4)(y2+x2)(y2−x2)

= xy(y4+x4)(y2+x2)(y+x)(y−x)

= xy(x4+y4)(x2+y2)(x+y)(−1)(x−y)

∵(y−x)=−1(x−y)

=−xy(x4+y4)(x2+y2)(x+y)(x−y)

∴ xy9−yx9 = −xy(x4+y4)(x2+y2)(x+y)(x−y)

 

Q 19 . x4+x2y2+y4

SOLUTION :

Adding  x2y2 and subtracting x2yto the given equation

= x4+x2y2+y4+x2y2−x2y2

= x4+2x2y2+y4−x2y2

= (x2)2+2×x2×y2+(y2)2−(xy)2

Using  the  identity  (p+q)2=p2+q2+2pq

= (x2+y2)2−(xy)2

Using the identity  p2−q2= ( p + q )( p – q )

= (x2+y2+xy)(x2+y2−xy)

∴ x4+x2y2+y4 = (x2+y2+xy)(x2+y2−xy)

The document Ex-5.1, (Part - 1) Factorization Of Algebraic Expressions, Class 9, Maths RD Sharma Solutions | RD Sharma Solutions for Class 9 Mathematics is a part of the Class 9 Course RD Sharma Solutions for Class 9 Mathematics.
All you need of Class 9 at this link: Class 9
91 docs

FAQs on Ex-5.1, (Part - 1) Factorization Of Algebraic Expressions, Class 9, Maths RD Sharma Solutions - RD Sharma Solutions for Class 9 Mathematics

1. What is the importance of factorization of algebraic expressions in mathematics?
Ans. Factorization of algebraic expressions is important in mathematics as it helps in simplifying complex expressions and solving equations. It allows us to find common factors and rewrite the expression in a more simplified form, making it easier to understand and work with.
2. How can factorization of algebraic expressions be used to solve equations?
Ans. Factorization of algebraic expressions can be used to solve equations by identifying common factors and rewriting the expression as a product of these factors. This allows us to set each factor equal to zero and solve for the variables, ultimately finding the values that satisfy the equation.
3. Can factorization of algebraic expressions be used to simplify fractions?
Ans. Yes, factorization of algebraic expressions can be used to simplify fractions. By factoring the numerator and denominator, we can identify common factors and cancel them out, resulting in a simplified fraction. This can help in performing arithmetic operations on fractions more easily.
4. Are there any specific methods or rules for factorization of algebraic expressions?
Ans. Yes, there are specific methods and rules for factorization of algebraic expressions. Some common techniques include factoring out the greatest common factor, using the difference of squares formula, applying the perfect square trinomial formula, and using the quadratic formula for quadratic expressions. These methods help in identifying and simplifying the factors of an expression.
5. How can factorization of algebraic expressions be applied in real-life situations?
Ans. Factorization of algebraic expressions can be applied in various real-life situations, such as simplifying financial calculations, solving problems in physics and engineering, analyzing data in statistics, and solving optimization problems in economics. It provides a systematic way to break down complex expressions and equations, making it easier to understand and solve real-world problems.
Related Searches

Ex-5.1

,

MCQs

,

Important questions

,

practice quizzes

,

Viva Questions

,

Class 9

,

pdf

,

shortcuts and tricks

,

Extra Questions

,

Objective type Questions

,

Maths RD Sharma Solutions | RD Sharma Solutions for Class 9 Mathematics

,

Free

,

Semester Notes

,

ppt

,

Maths RD Sharma Solutions | RD Sharma Solutions for Class 9 Mathematics

,

video lectures

,

Previous Year Questions with Solutions

,

Summary

,

Exam

,

Sample Paper

,

study material

,

(Part - 1) Factorization Of Algebraic Expressions

,

(Part - 1) Factorization Of Algebraic Expressions

,

mock tests for examination

,

Class 9

,

(Part - 1) Factorization Of Algebraic Expressions

,

Ex-5.1

,

Ex-5.1

,

Class 9

,

Maths RD Sharma Solutions | RD Sharma Solutions for Class 9 Mathematics

,

past year papers

;