Class 9 Exam  >  Class 9 Notes  >  RD Sharma Solutions for Class 9 Mathematics  >  RD Sharma Solutions Ex-1.4, Number System, Class 9, Maths

RD Sharma Solutions Ex-1.4, Number System, Class 9, Maths | RD Sharma Solutions for Class 9 Mathematics PDF Download

Q1. Define an irrational number.

Solution: An irrational number is a real number which can be written as a decimal but not as a fraction i.e. it cannot be expressed as a ratio of integers. It cannot be expressed as terminating or repeating decimal.

Q2. Explain how an irrational number is differing from rational numbers?

Solution: An irrational number is a real number which can be written as a decimal but not as a fraction i.e. it cannot be expressed as a ratio of integers. It cannot be expressed as terminating or repeating decimal.

For example, 0.10110100 is an irrational number

A rational number is a real number which can be written as a fraction and as a decimal i.e. it can be expressed as a ratio of integers. . It can be expressed as terminating or repeating decimal.

For examples,

0.10 and RD Sharma Solutions Ex-1.4, Number System, Class 9, Maths | RD Sharma Solutions for Class 9 Mathematics  both are rational numbers

Q3. Find, whether the following numbers are rational and irrational

(i) √7

(ii) √4

(iii) 2+√3

(iv) √3+√2

(v) √3+5

(vi) (√2 − 2)2

(vii)  (2−√2)(2+√2)

(viii) (√2+√3)2

(ix) √5 – 2

RD Sharma Solutions Ex-1.4, Number System, Class 9, Maths | RD Sharma Solutions for Class 9 Mathematics 

(xii) 0.3796

(xiii) 7.478478……

(xiv) 1.101001000100001……

Solution:

(i) √7is not a perfect square root so it is an Irrational number.

(ii) √4 is a perfect square root so it is an rational number.

We have,

√4  can be expressed in the form of

ab, so it is a rational number. The decimal

representation of √9 is 3.0. 3 is a rational number.

(iii) 2+√3

Here, 2 is a rational number and √3 is an irrational number

So, the sum of a rational and an irrational number is an irrational number.

(iv) √3+√2

√3 is not a perfect square and it is an irrational number and √2 is not a perfect square and  is an irrational number. The sum of an irrational number and an irrational number is an irrational number, so √3+√2 is an irrational number.

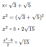
(v) √3+√5

√3 is not a perfect square and it is an irrational number and √5 is not a perfect square and  is an irrational number. The sum of an irrational number and an irrational number is an irrational number, so √3+√5 is an irrational number.

(vi) (√2−2)2

We have, (√2−2)2

= 2 + 4 - 4 √2

= 6 + 4 √2

6 is a rational number but 4√2 is an irrational number.

The sum of a rational number and an irrational number is an irrational number, so (√2+√4)2 is an irrational number.

RD Sharma Solutions Ex-1.4, Number System, Class 9, Maths | RD Sharma Solutions for Class 9 Mathematics

We have,

RD Sharma Solutions Ex-1.4, Number System, Class 9, Maths | RD Sharma Solutions for Class 9 Mathematics     [Since, (a + b)(a - b) = a2 – b2]

RD Sharma Solutions Ex-1.4, Number System, Class 9, Maths | RD Sharma Solutions for Class 9 Mathematics

Since, 2 is a rational number.

RD Sharma Solutions Ex-1.4, Number System, Class 9, Maths | RD Sharma Solutions for Class 9 Mathematics is a rational number.

RD Sharma Solutions Ex-1.4, Number System, Class 9, Maths | RD Sharma Solutions for Class 9 Mathematics

We have,

RD Sharma Solutions Ex-1.4, Number System, Class 9, Maths | RD Sharma Solutions for Class 9 Mathematics  [Since, (a+b)2 = a2 + 2ab + b2

The sum of a rational number and an irrational number is an irrational number, so  RD Sharma Solutions Ex-1.4, Number System, Class 9, Maths | RD Sharma Solutions for Class 9 Mathematics is an irrational number.

RD Sharma Solutions Ex-1.4, Number System, Class 9, Maths | RD Sharma Solutions for Class 9 Mathematics

The difference of an irrational number and a rational number is an irrational number.

(RD Sharma Solutions Ex-1.4, Number System, Class 9, Maths | RD Sharma Solutions for Class 9 Mathematics) is an irrational number.

RD Sharma Solutions Ex-1.4, Number System, Class 9, Maths | RD Sharma Solutions for Class 9 Mathematics

RD Sharma Solutions Ex-1.4, Number System, Class 9, Maths | RD Sharma Solutions for Class 9 Mathematics  = 4.795831352331…

As decimal expansion of this number is non-terminating, non-recurring so it is an irrational number.

RD Sharma Solutions Ex-1.4, Number System, Class 9, Maths | RD Sharma Solutions for Class 9 Mathematics

RD Sharma Solutions Ex-1.4, Number System, Class 9, Maths | RD Sharma Solutions for Class 9 Mathematics  is rational number as it can be represented in p/q form.

(xii) 0.3796

0.3796, as decimal expansion of this number is terminating, so it is a rational number.

(xiii) 7.478478……

7.478478 = 7.478, as decimal expansion of this number is non-terminating recurring so it is a rational number.

(xiv) 1.101001000100001……

1.101001000100001……, as decimal expansion of this number is non-terminating, non-recurring so it is an irrational number


Q4. Identify the following as  irrational numbers. Give the decimal representation of rational numbers:

RD Sharma Solutions Ex-1.4, Number System, Class 9, Maths | RD Sharma Solutions for Class 9 Mathematics

Solution:

(i) We have,

√4 can be written in the form of

p/q. So, it is a rational number. Its decimal

representation is 2.0

(ii). We have,

RD Sharma Solutions Ex-1.4, Number System, Class 9, Maths | RD Sharma Solutions for Class 9 Mathematics

Since, the product of a ratios and an irrational is an irrational number.

RD Sharma Solutions Ex-1.4, Number System, Class 9, Maths | RD Sharma Solutions for Class 9 Mathematics is an irrational.

RD Sharma Solutions Ex-1.4, Number System, Class 9, Maths | RD Sharma Solutions for Class 9 Mathematics is an irrational number.

(iii) We have,

RD Sharma Solutions Ex-1.4, Number System, Class 9, Maths | RD Sharma Solutions for Class 9 Mathematics

= 12/10

= 1.2

Every terminating decimal is a rational number, so 1.2 is a rational number.

Its decimal representation is 1.2.

RD Sharma Solutions Ex-1.4, Number System, Class 9, Maths | RD Sharma Solutions for Class 9 Mathematics

We have,

RD Sharma Solutions Ex-1.4, Number System, Class 9, Maths | RD Sharma Solutions for Class 9 Mathematics

Quotient of a rational and an irrational number is irrational numbers so

RD Sharma Solutions Ex-1.4, Number System, Class 9, Maths | RD Sharma Solutions for Class 9 Mathematics is an irrational number.

RD Sharma Solutions Ex-1.4, Number System, Class 9, Maths | RD Sharma Solutions for Class 9 Mathematics  is an irrational number.

(v) We have,  

RD Sharma Solutions Ex-1.4, Number System, Class 9, Maths | RD Sharma Solutions for Class 9 Mathematics

= - 8

RD Sharma Solutions Ex-1.4, Number System, Class 9, Maths | RD Sharma Solutions for Class 9 Mathematics can be expressed in the form of a/b,

so  RD Sharma Solutions Ex-1.4, Number System, Class 9, Maths | RD Sharma Solutions for Class 9 Mathematics 

is a rational number.

Its decimal representation is - 8.0.

(vi) We have,

RD Sharma Solutions Ex-1.4, Number System, Class 9, Maths | RD Sharma Solutions for Class 9 Mathematics

= 10  can be expressed in the form of a/b,

so  RD Sharma Solutions Ex-1.4, Number System, Class 9, Maths | RD Sharma Solutions for Class 9 Mathematics is a rational number

Its decimal representation is  10.0.


Q5. In the following equations, find which variables x, y and z etc. represent rational or irrational numbers:

(i) x2 = 5

(ii)  y2 = 9

(iii) z2 = 0.04

(iv) u2 = 17/4

 (v) v2 = 3

(vi) w2 = 27

(vii) t2 = 0.4

Solution:

(i) We have,

x2 = 5

Taking square root on both the sides, we get

x = √5

√5 is not a perfect square root, so it is an irrational number.

(ii) We have,

= y2 = 9

= 3

= 3/1 can be expressed in the form of a/b, so it a rational number.

(iii) We have,

z2 = 0.04

Taking square root on the both sides, we get

z = 0.2

2/10 can be expressed in the form of a/b, so it is a rational number.

(iv) We have,

u2 = 17/4

Taking square root on both sides, we get,

RD Sharma Solutions Ex-1.4, Number System, Class 9, Maths | RD Sharma Solutions for Class 9 Mathematics

Quotient of an irrational and a rational number is irrational, so u is an Irrational number.

(v) We have,

v2 = 3

Taking square root on both sides, we get,

v = √3

√3 is not a perfect square root, so v is irrational number.

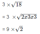
(vi) We have,

w2 = 27

Taking square root on both the sides, we get,

w = 3√3

Product of a irrational and an irrational is an irrational number. So w is an irrational number.

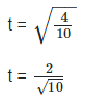
(vii) We have,

t2 = 0. 4

Taking square root on both sides, we get,

RD Sharma Solutions Ex-1.4, Number System, Class 9, Maths | RD Sharma Solutions for Class 9 Mathematics

Since, quotient of a rational and an Irrational number is irrational number. t2 = 0.4  is an irrational number.

Q6. Give an example of each, of two irrational numbers whose:

(i) Difference in a rational number.

(ii) Difference in an irrational number.

(iii) Sum in a rational number.

(iv) Sum is an irrational number.

(v) Product in a rational number.

(vi) Product in an irrational number.

(vii) Quotient in a rational number.

(viii) Quotient in an irrational number.

Solution: RD Sharma Solutions Ex-1.4, Number System, Class 9, Maths | RD Sharma Solutions for Class 9 Mathematics  is an irrational number.

Now, RD Sharma Solutions Ex-1.4, Number System, Class 9, Maths | RD Sharma Solutions for Class 9 Mathematics

0 is the rational number.

(ii) Let two irrational numbers are RD Sharma Solutions Ex-1.4, Number System, Class 9, Maths | RD Sharma Solutions for Class 9 Mathematics

RD Sharma Solutions Ex-1.4, Number System, Class 9, Maths | RD Sharma Solutions for Class 9 Mathematics

RD Sharma Solutions Ex-1.4, Number System, Class 9, Maths | RD Sharma Solutions for Class 9 Mathematics is the rational number.

(iii)  RD Sharma Solutions Ex-1.4, Number System, Class 9, Maths | RD Sharma Solutions for Class 9 Mathematics is an irrational number.

Now,  RD Sharma Solutions Ex-1.4, Number System, Class 9, Maths | RD Sharma Solutions for Class 9 Mathematics

0 is the rational number.

(iv) Let two irrational numbers are  RD Sharma Solutions Ex-1.4, Number System, Class 9, Maths | RD Sharma Solutions for Class 9 Mathematics

RD Sharma Solutions Ex-1.4, Number System, Class 9, Maths | RD Sharma Solutions for Class 9 Mathematics

RD Sharma Solutions Ex-1.4, Number System, Class 9, Maths | RD Sharma Solutions for Class 9 Mathematics is the rational number.

(iv) Let two Irrational numbers are  RD Sharma Solutions Ex-1.4, Number System, Class 9, Maths | RD Sharma Solutions for Class 9 Mathematics and √ 5

RD Sharma Solutions Ex-1.4, Number System, Class 9, Maths | RD Sharma Solutions for Class 9 Mathematics

= 7 × 5

= 35 is the rational number.

(v) Let two irrational numbers are  RD Sharma Solutions Ex-1.4, Number System, Class 9, Maths | RD Sharma Solutions for Class 9 Mathematics

Now,  RD Sharma Solutions Ex-1.4, Number System, Class 9, Maths | RD Sharma Solutions for Class 9 Mathematics

8 is the rational number.

(vi) Let two irrational numbers are  RD Sharma Solutions Ex-1.4, Number System, Class 9, Maths | RD Sharma Solutions for Class 9 Mathematics

RD Sharma Solutions Ex-1.4, Number System, Class 9, Maths | RD Sharma Solutions for Class 9 Mathematics

= 4 is the rational number

(vii) Let two irrational numbers are RD Sharma Solutions Ex-1.4, Number System, Class 9, Maths | RD Sharma Solutions for Class 9 Mathematics

Now, 3 is the rational number.

(viii) Let two irrational numbers are  RD Sharma Solutions Ex-1.4, Number System, Class 9, Maths | RD Sharma Solutions for Class 9 Mathematics

Now  RD Sharma Solutions Ex-1.4, Number System, Class 9, Maths | RD Sharma Solutions for Class 9 Mathematics is an rational number.


Q7. Give two rational numbers lying between 0.232332333233332 and 0.212112111211112.

Solution: Let a = 0.212112111211112

And, b = 0.232332333233332...

Clearly, a < b because in the second decimal place a has digit 1 and b has digit 3 If we consider rational numbers in which the second decimal place has the digit 2, then they will lie between a and b.

Let. x = 0.22

y = 0.22112211... Then a < x < y < b

Hence, x, and y are required rational numbers.


Q8. Give two rational numbers lying between 0.515115111511115 and 0. 5353353335

Solution: Let, a = 0.515115111511115...

And, b = 0.5353353335..

We observe that in the second decimal place a has digit 1 and b has digit 3, therefore, a < b.

So If we consider rational numbers

x = 0.52

y = 0.52062062...

We find that,

a < x < y < b

Hence x and y are required rational numbers.


Q9. Find one irrational number between 0.2101 and 0.2222 ... RD Sharma Solutions Ex-1.4, Number System, Class 9, Maths | RD Sharma Solutions for Class 9 Mathematics

Solution: Let, a = 0.2101 and,

b =0.2222...

We observe that in the second decimal place a has digit 1 and b has digit 2, therefore a < b in the third decimal place a has digit 0.

So, if we consider irrational numbers

x = 0.211011001100011....

We find that a < x < b

Hence x is required irrational number.


Q10. Find a rational number and also an irrational number lying between the numbers 0.3030030003... and 0.3010010001...

Solution: Let,

a = 0.3010010001 and,

b = 0.3030030003...

We observe that in the third decimal place a has digit 1 and b has digit

3, therefore a < b in the third decimal place a has digit 1. So, if we

consider rational and irrational numbers

x = 0.302

y = 0.302002000200002.....

We find that a < x < b and, a < y < b.

Hence, x and y are required rational and irrational numbers respectively.


Q11. Find two irrational numbers between 0.5 and 0.55.

Solution: Let a = 0.5 = 0.50 and b =0.55

We observe that in the second decimal place a has digit 0 and b has digit

5, therefore a < 0 so, if we consider irrational numbers

x =0.51051005100051...

y = 0.530535305353530...

We find that a < x < y < b

Hence x and y are required irrational numbers.


Q12. Find two irrational numbers lying between 0.1 and 0.12.

Solution: Let a = 0.1 =0.10

And b = 0.12

We observe that In the second decimal place a has digit 0 and b has digit 2.

Therefore, a < b.

So, if we consider irrational numbers

x = 0.1101101100011... y=0.111011110111110... We find that a < x < y < 0

Hence, x and y are required irrational numbers.


Q13. Prove that  RD Sharma Solutions Ex-1.4, Number System, Class 9, Maths | RD Sharma Solutions for Class 9 Mathematics is an irrational number.

Solution: If possible, let  RD Sharma Solutions Ex-1.4, Number System, Class 9, Maths | RD Sharma Solutions for Class 9 Mathematics be a rational number equal to x.

RD Sharma Solutions Ex-1.4, Number System, Class 9, Maths | RD Sharma Solutions for Class 9 Mathematics

Now,  RD Sharma Solutions Ex-1.4, Number System, Class 9, Maths | RD Sharma Solutions for Class 9 Mathematics is rational

RD Sharma Solutions Ex-1.4, Number System, Class 9, Maths | RD Sharma Solutions for Class 9 Mathematics is rational

Thus, we arrive at a contradiction.

Hence,  RD Sharma Solutions Ex-1.4, Number System, Class 9, Maths | RD Sharma Solutions for Class 9 Mathematics  is an irrational number.

 

The document RD Sharma Solutions Ex-1.4, Number System, Class 9, Maths | RD Sharma Solutions for Class 9 Mathematics is a part of the Class 9 Course RD Sharma Solutions for Class 9 Mathematics.
All you need of Class 9 at this link: Class 9
91 docs

FAQs on RD Sharma Solutions Ex-1.4, Number System, Class 9, Maths - RD Sharma Solutions for Class 9 Mathematics

1. What are RD Sharma Solutions?
Ans. RD Sharma Solutions refer to the comprehensive and detailed solutions provided for the questions and exercises in the RD Sharma textbook. These solutions are specifically designed to help students understand and solve mathematical problems effectively. They provide step-by-step explanations and methods to solve various mathematical concepts and problems.
2. What is Ex-1.4 in RD Sharma Solutions for Class 9?
Ans. Ex-1.4 in RD Sharma Solutions for Class 9 refers to Exercise 1.4 in the Number System chapter of the RD Sharma textbook for Class 9 Mathematics. This exercise focuses on various topics related to the number system, such as rational numbers, representation of rational numbers on the number line, comparison of rational numbers, and their addition and subtraction.
3. How can RD Sharma Solutions help in Class 9 Mathematics exam preparation?
Ans. RD Sharma Solutions can be highly beneficial for Class 9 Mathematics exam preparation. These solutions provide step-by-step explanations, tips, and techniques to solve mathematical problems effectively. By practicing with these solutions, students can gain a better understanding of the concepts, improve problem-solving skills, and enhance their overall performance in exams.
4. Are RD Sharma Solutions for Class 9 available online?
Ans. Yes, RD Sharma Solutions for Class 9 are available online. Many educational websites and platforms provide free access to these solutions in PDF format. Students can easily download and refer to these solutions for self-study, exam preparation, and clarifying any doubts they may have in the textbook exercises.
5. Can RD Sharma Solutions for Class 9 be used for self-study purposes?
Ans. Absolutely! RD Sharma Solutions for Class 9 can be effectively used for self-study purposes. These solutions provide detailed explanations and step-by-step solutions to help students understand the concepts and solve problems independently. By regularly practicing with these solutions, students can improve their mathematical skills, gain confidence, and excel in their exams.
Related Searches

study material

,

RD Sharma Solutions Ex-1.4

,

video lectures

,

practice quizzes

,

RD Sharma Solutions Ex-1.4

,

Previous Year Questions with Solutions

,

past year papers

,

Maths | RD Sharma Solutions for Class 9 Mathematics

,

Number System

,

Sample Paper

,

Exam

,

Maths | RD Sharma Solutions for Class 9 Mathematics

,

Summary

,

Viva Questions

,

Number System

,

Important questions

,

pdf

,

Extra Questions

,

Maths | RD Sharma Solutions for Class 9 Mathematics

,

mock tests for examination

,

Semester Notes

,

Class 9

,

MCQs

,

Number System

,

ppt

,

shortcuts and tricks

,

Class 9

,

Objective type Questions

,

Class 9

,

RD Sharma Solutions Ex-1.4

,

Free

;