Class 9 Exam  >  Class 9 Notes  >  RD Sharma Solutions for Class 9 Mathematics  >  RD Sharma Solutions Ex-2.1, Exponents Of Real Numbers, Class 9, Maths

RD Sharma Solutions Ex-2.1, Exponents Of Real Numbers, Class 9, Maths | RD Sharma Solutions for Class 9 Mathematics PDF Download

Q.1. Simplify the following: 

(i) 3(a4 b3)10 x 5 (a2 b2)3 

Solution: = 3(a40 b30) x 5 (a6 b6) = 15 (a46 b36

(ii) (2x -2 y3)3

Solution:  = (23 x -2x3 y3x3) = 8x -6 y9

(iii)  RD Sharma Solutions Ex-2.1, Exponents Of Real Numbers, Class 9, Maths | RD Sharma Solutions for Class 9 Mathematics

Solution:  RD Sharma Solutions Ex-2.1, Exponents Of Real Numbers, Class 9, Maths | RD Sharma Solutions for Class 9 Mathematics RD Sharma Solutions Ex-2.1, Exponents Of Real Numbers, Class 9, Maths | RD Sharma Solutions for Class 9 Mathematics

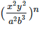
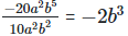
(iv)  RD Sharma Solutions Ex-2.1, Exponents Of Real Numbers, Class 9, Maths | RD Sharma Solutions for Class 9 Mathematics

Solution: =  RD Sharma Solutions Ex-2.1, Exponents Of Real Numbers, Class 9, Maths | RD Sharma Solutions for Class 9 Mathematics

(v) RD Sharma Solutions Ex-2.1, Exponents Of Real Numbers, Class 9, Maths | RD Sharma Solutions for Class 9 Mathematics

Solution:  RD Sharma Solutions Ex-2.1, Exponents Of Real Numbers, Class 9, Maths | RD Sharma Solutions for Class 9 Mathematics

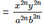
(vi)  RD Sharma Solutions Ex-2.1, Exponents Of Real Numbers, Class 9, Maths | RD Sharma Solutions for Class 9 Mathematics

Solution:  RD Sharma Solutions Ex-2.1, Exponents Of Real Numbers, Class 9, Maths | RD Sharma Solutions for Class 9 Mathematics  = a16n−50 


2. If a = 3 and b = -2, find the values of: 

(i) aa+bb 
(ii) ab+ba 
(iii) ab+ba 

Solution: (i) We have,aa+bb = 33+(−2)−2 = 33+ RD Sharma Solutions Ex-2.1, Exponents Of Real Numbers, Class 9, Maths | RD Sharma Solutions for Class 9 Mathematics  = 27+1/4 = 109/4 

(ii) ab+ba = 3−2+(−2)3 = (1/3)2+(−2)3 RD Sharma Solutions Ex-2.1, Exponents Of Real Numbers, Class 9, Maths | RD Sharma Solutions for Class 9 Mathematics

(iii) We have, ab+ba = (3+(−2))3(−2) = (3−2))−6 = 1−6 = 1 


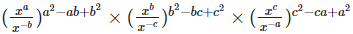
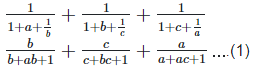
3.Prove that: (i)  RD Sharma Solutions Ex-2.1, Exponents Of Real Numbers, Class 9, Maths | RD Sharma Solutions for Class 9 Mathematics

(ii) RD Sharma Solutions Ex-2.1, Exponents Of Real Numbers, Class 9, Maths | RD Sharma Solutions for Class 9 Mathematics RD Sharma Solutions Ex-2.1, Exponents Of Real Numbers, Class 9, Maths | RD Sharma Solutions for Class 9 Mathematics
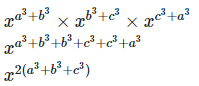
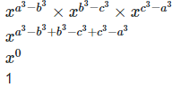
(iii)  RD Sharma Solutions Ex-2.1, Exponents Of Real Numbers, Class 9, Maths | RD Sharma Solutions for Class 9 Mathematics

Solution: RD Sharma Solutions Ex-2.1, Exponents Of Real Numbers, Class 9, Maths | RD Sharma Solutions for Class 9 Mathematics  = 1

Left hand side (LHS) = Right hand side (RHS) Considering LHS,

RD Sharma Solutions Ex-2.1, Exponents Of Real Numbers, Class 9, Maths | RD Sharma Solutions for Class 9 Mathematics

RD Sharma Solutions Ex-2.1, Exponents Of Real Numbers, Class 9, Maths | RD Sharma Solutions for Class 9 Mathematics RD Sharma Solutions Ex-2.1, Exponents Of Real Numbers, Class 9, Maths | RD Sharma Solutions for Class 9 Mathematics
RD Sharma Solutions Ex-2.1, Exponents Of Real Numbers, Class 9, Maths | RD Sharma Solutions for Class 9 Mathematics

Or, Therefore, LHS = RHS Hence proved

(ii) To prove,  RD Sharma Solutions Ex-2.1, Exponents Of Real Numbers, Class 9, Maths | RD Sharma Solutions for Class 9 Mathematics

RD Sharma Solutions Ex-2.1, Exponents Of Real Numbers, Class 9, Maths | RD Sharma Solutions for Class 9 Mathematics

 Left hand side (LHS) = Right hand side (RHS) Considering LHS,

RD Sharma Solutions Ex-2.1, Exponents Of Real Numbers, Class 9, Maths | RD Sharma Solutions for Class 9 Mathematics
RD Sharma Solutions Ex-2.1, Exponents Of Real Numbers, Class 9, Maths | RD Sharma Solutions for Class 9 Mathematics

Therefore, LHS = RHS Hence proved (iii) To prove,   RD Sharma Solutions Ex-2.1, Exponents Of Real Numbers, Class 9, Maths | RD Sharma Solutions for Class 9 Mathematics

Left hand side (LHS) = Right hand side (RHS) Considering LHS,

RD Sharma Solutions Ex-2.1, Exponents Of Real Numbers, Class 9, Maths | RD Sharma Solutions for Class 9 Mathematics

Therefore, LHS = RHS Hence proved 

4. Prove that: (i)  RD Sharma Solutions Ex-2.1, Exponents Of Real Numbers, Class 9, Maths | RD Sharma Solutions for Class 9 Mathematics

(ii) RD Sharma Solutions Ex-2.1, Exponents Of Real Numbers, Class 9, Maths | RD Sharma Solutions for Class 9 Mathematics

Solution: (i)   RD Sharma Solutions Ex-2.1, Exponents Of Real Numbers, Class 9, Maths | RD Sharma Solutions for Class 9 Mathematics

Left hand side (LHS) = Right hand side (RHS) Considering LHS,

RD Sharma Solutions Ex-2.1, Exponents Of Real Numbers, Class 9, Maths | RD Sharma Solutions for Class 9 Mathematics

Therefore, LHS = RHS Hence proved

  RD Sharma Solutions Ex-2.1, Exponents Of Real Numbers, Class 9, Maths | RD Sharma Solutions for Class 9 Mathematics

Left hand side  (LHS) = Right hand side (RHS) Considering LHS,

RD Sharma Solutions Ex-2.1, Exponents Of Real Numbers, Class 9, Maths | RD Sharma Solutions for Class 9 Mathematics

Therefore, LHS = RHS Hence proved 

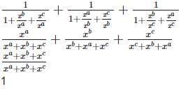
5.Prove that: (i)  RD Sharma Solutions Ex-2.1, Exponents Of Real Numbers, Class 9, Maths | RD Sharma Solutions for Class 9 Mathematics

(ii)  RD Sharma Solutions Ex-2.1, Exponents Of Real Numbers, Class 9, Maths | RD Sharma Solutions for Class 9 Mathematics

Solution: (i) To prove,  RD Sharma Solutions Ex-2.1, Exponents Of Real Numbers, Class 9, Maths | RD Sharma Solutions for Class 9 Mathematics = abc

Left hand side (LHS) = Right hand side (RHS) Considering LHS,

RD Sharma Solutions Ex-2.1, Exponents Of Real Numbers, Class 9, Maths | RD Sharma Solutions for Class 9 Mathematics
abc

Therefore, LHS = RHS Hence proved (ii) To prove,  RD Sharma Solutions Ex-2.1, Exponents Of Real Numbers, Class 9, Maths | RD Sharma Solutions for Class 9 Mathematics

Left hand side (LHS) = Right hand side (RHS) Considering LHS,

RD Sharma Solutions Ex-2.1, Exponents Of Real Numbers, Class 9, Maths | RD Sharma Solutions for Class 9 Mathematics

Therefore, LHS = RHS Hence proved 

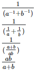
6. If abc = 1, show that  RD Sharma Solutions Ex-2.1, Exponents Of Real Numbers, Class 9, Maths | RD Sharma Solutions for Class 9 Mathematics

Solution: To prove, RD Sharma Solutions Ex-2.1, Exponents Of Real Numbers, Class 9, Maths | RD Sharma Solutions for Class 9 Mathematics

Left hand side (LHS) = Right hand side (RHS) Considering LHS,

RD Sharma Solutions Ex-2.1, Exponents Of Real Numbers, Class 9, Maths | RD Sharma Solutions for Class 9 Mathematics

We know abc = 1

RD Sharma Solutions Ex-2.1, Exponents Of Real Numbers, Class 9, Maths | RD Sharma Solutions for Class 9 Mathematics

By substituting the value c in equation (1), we get

RD Sharma Solutions Ex-2.1, Exponents Of Real Numbers, Class 9, Maths | RD Sharma Solutions for Class 9 Mathematics

Therefore, LHS = RHS Hence proved 

7. Simplify: (i)  RD Sharma Solutions Ex-2.1, Exponents Of Real Numbers, Class 9, Maths | RD Sharma Solutions for Class 9 Mathematics

Solution:  RD Sharma Solutions Ex-2.1, Exponents Of Real Numbers, Class 9, Maths | RD Sharma Solutions for Class 9 Mathematics

(ii)   RD Sharma Solutions Ex-2.1, Exponents Of Real Numbers, Class 9, Maths | RD Sharma Solutions for Class 9 Mathematics

Solution: =  RD Sharma Solutions Ex-2.1, Exponents Of Real Numbers, Class 9, Maths | RD Sharma Solutions for Class 9 Mathematics

(iii) RD Sharma Solutions Ex-2.1, Exponents Of Real Numbers, Class 9, Maths | RD Sharma Solutions for Class 9 Mathematics

Solution: =  RD Sharma Solutions Ex-2.1, Exponents Of Real Numbers, Class 9, Maths | RD Sharma Solutions for Class 9 Mathematics RD Sharma Solutions Ex-2.1, Exponents Of Real Numbers, Class 9, Maths | RD Sharma Solutions for Class 9 Mathematics

(iv)  RD Sharma Solutions Ex-2.1, Exponents Of Real Numbers, Class 9, Maths | RD Sharma Solutions for Class 9 Mathematics

Solution: RD Sharma Solutions Ex-2.1, Exponents Of Real Numbers, Class 9, Maths | RD Sharma Solutions for Class 9 Mathematics RD Sharma Solutions Ex-2.1, Exponents Of Real Numbers, Class 9, Maths | RD Sharma Solutions for Class 9 Mathematics


8. Solve the following equations for x: 

(i) 72x+3 = 1 
(ii) 2x+1=4x−3 
(iii) 25x+3 = 8x+3 
(iv) 42x = 13/2 
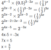
(v) 4x−1×(0.5)3−2x=(1/8)x 
(vi) 23x−7 = 256 

Solution: (i) We have,

⇒ 72x+3 = 1 ⇒ 72x+3 = 70 ⇒ 2x + 3 = 0 ⇒ 2x = -3 ⇒ x RD Sharma Solutions Ex-2.1, Exponents Of Real Numbers, Class 9, Maths | RD Sharma Solutions for Class 9 Mathematics

 (ii) We have,

RD Sharma Solutions Ex-2.1, Exponents Of Real Numbers, Class 9, Maths | RD Sharma Solutions for Class 9 Mathematics

(iii) We have,

RD Sharma Solutions Ex-2.1, Exponents Of Real Numbers, Class 9, Maths | RD Sharma Solutions for Class 9 Mathematics

(iv) We have,

RD Sharma Solutions Ex-2.1, Exponents Of Real Numbers, Class 9, Maths | RD Sharma Solutions for Class 9 Mathematics

(v) We have,

RD Sharma Solutions Ex-2.1, Exponents Of Real Numbers, Class 9, Maths | RD Sharma Solutions for Class 9 Mathematics
RD Sharma Solutions Ex-2.1, Exponents Of Real Numbers, Class 9, Maths | RD Sharma Solutions for Class 9 Mathematics

9. Solve the following equations for x:  

(i) 22x−2x+3+24 = 0 

(ii) 32x+4+1=2×3x+2

Solution: 

(i) We have, ⇒ 22x−2x+3+24 = 0 

⇒  22x+24=2x.23 
⇒ Let 2x=y 
⇒ y2+24=y×23 
⇒  y2−8y+16=0 
⇒ y2−4y−4y+16=0 
⇒ y(y-4) -4(y-4) = 0
⇒ y = 4
⇒ x2=22 
⇒ x = 2

(ii) We have,

32x+4+1=2×3x+2

(3x+2)2+1=2×3x+2

Let 3x+2 = y

y2+1=2y

y2−2y+1=0

y2−y−y+1=0

y(y−1)−1(y−1)=0

(y−1)(y−1)=0

y = 1


10. If 49392 = a4b2c3, find the values of a, b and c, where a, b and c, where a, b, and c are different positive primes. 

Solution: Taking out the LCM , the factors are 24,3and 73 a4b2c3 = 24,3and 73

a = 2, b = 3 and c = 7 [Since, a, b and c are primes]


11. If 1176 = 2a×3b×7c, Find a, b, and c. 

Solution: Given that 2, 3 and 7 are factors of 1176. Taking out the LCM of 1176, we get 23×31×72 = 2a×3b×7c By comparing, we get

a = 3, b = 1 and c = 2.


12. Given 4725 = 3a×5b×7c, find (i) The integral values of a, b and c 

Solution: Taking out the LCM of 4725, we get

33×52×71 = 3a×5b×7c

By comparing, we get

a = 3, b = 2 and c = 1.

(ii) The value of 2−a×3b×7c 

Solution:

 = 2−3×32×71

2−3×32×71 = 1/8×9×7

63/8

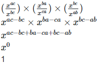
13. If a = xyp−1, b = xyq−1 and c = xyr−1, prove that aq−rbr−pcp−q = 1 

Solution: Given, a = xyp−1, b = xyq−1 and c = xyr−1 

To prove, aq−rbr−pcp−q = 1

Left hand side (LHS) = Right hand side (RHS) Considering LHS, = aq−rbr−pcp−q        ……(i)

By substituting the value of a, b and c in equation

(i), we get

= (xyp−1)q−r(xyq−1)r−p(xyr−1)p−q 

= xypq−pr−q+rxyqr−pq−r+pxyrp−rq−p+q 

= xypq−pr−q+r+qr−pq−r+p+rp−rq−p+q 

= xy0 = 1  

The document RD Sharma Solutions Ex-2.1, Exponents Of Real Numbers, Class 9, Maths | RD Sharma Solutions for Class 9 Mathematics is a part of the Class 9 Course RD Sharma Solutions for Class 9 Mathematics.
All you need of Class 9 at this link: Class 9
91 docs

FAQs on RD Sharma Solutions Ex-2.1, Exponents Of Real Numbers, Class 9, Maths - RD Sharma Solutions for Class 9 Mathematics

1. What are exponents of real numbers?
Ans. Exponents of real numbers are a way to represent repeated multiplication of a number by itself. An exponent is a small number written in superscript next to a base number, indicating the number of times the base number should be multiplied by itself.
2. How do exponents of real numbers work?
Ans. Exponents of real numbers follow certain rules. When multiplying numbers with the same base, the exponents are added. When dividing numbers with the same base, the exponents are subtracted. When raising a power to another power, the exponents are multiplied. These rules help simplify complex calculations involving exponents.
3. Can exponents of real numbers be negative?
Ans. Yes, exponents of real numbers can be negative. A negative exponent indicates the reciprocal of the base raised to the positive exponent. For example, 2^-3 is equal to 1/(2^3), which is 1/8. Negative exponents follow the rule that a^-n = 1/(a^n).
4. How are exponents of real numbers used in real-life situations?
Ans. Exponents of real numbers are used in various real-life situations. They are used in finance to calculate compound interest and exponential growth or decay. They are used in physics and engineering to represent quantities like radioactive decay and population growth. Exponents also play a role in computer science and cryptography.
5. Can exponents of real numbers be fractional or decimal?
Ans. Yes, exponents of real numbers can be fractional or decimal. Fractional or decimal exponents represent roots or powers of a number. For example, 4^(1/2) is equal to the square root of 4, which is 2. Similarly, 8^(2/3) is equal to the cube root of 8 squared, which is 4. Fractional and decimal exponents follow specific rules for calculation and can be used to solve equations and simplify expressions.
Related Searches

Maths | RD Sharma Solutions for Class 9 Mathematics

,

mock tests for examination

,

Objective type Questions

,

Semester Notes

,

Exam

,

Class 9

,

shortcuts and tricks

,

RD Sharma Solutions Ex-2.1

,

Extra Questions

,

Class 9

,

video lectures

,

Class 9

,

MCQs

,

Free

,

Exponents Of Real Numbers

,

ppt

,

Summary

,

Exponents Of Real Numbers

,

past year papers

,

Important questions

,

study material

,

RD Sharma Solutions Ex-2.1

,

Exponents Of Real Numbers

,

Maths | RD Sharma Solutions for Class 9 Mathematics

,

Viva Questions

,

Sample Paper

,

Maths | RD Sharma Solutions for Class 9 Mathematics

,

Previous Year Questions with Solutions

,

RD Sharma Solutions Ex-2.1

,

practice quizzes

,

pdf

;