Class 9 Exam  >  Class 9 Notes  >  RD Sharma Solutions for Class 9 Mathematics  >  RD Sharma Solutions Ex-2.2, (Part - 2), Exponents Of Real Numbers, Class 9, Maths

RD Sharma Solutions Ex-2.2, (Part - 2), Exponents Of Real Numbers, Class 9, Maths | RD Sharma Solutions for Class 9 Mathematics PDF Download

​11.RD Sharma Solutions Ex-2.2, (Part - 2), Exponents Of Real Numbers, Class 9, Maths | RD Sharma Solutions for Class 9 Mathematics show that x3 − 6x = 6

 x− 6x = 6

RD Sharma Solutions Ex-2.2, (Part - 2), Exponents Of Real Numbers, Class 9, Maths | RD Sharma Solutions for Class 9 Mathematics

Putting cube on both the sides, we get

RD Sharma Solutions Ex-2.2, (Part - 2), Exponents Of Real Numbers, Class 9, Maths | RD Sharma Solutions for Class 9 Mathematics

As we know, (a+b)3 = a3 + b3 + 3ab(a+b)

RD Sharma Solutions Ex-2.2, (Part - 2), Exponents Of Real Numbers, Class 9, Maths | RD Sharma Solutions for Class 9 Mathematics
RD Sharma Solutions Ex-2.2, (Part - 2), Exponents Of Real Numbers, Class 9, Maths | RD Sharma Solutions for Class 9 Mathematics
RD Sharma Solutions Ex-2.2, (Part - 2), Exponents Of Real Numbers, Class 9, Maths | RD Sharma Solutions for Class 9 Mathematics

x3 = 6 + 6x

x3 – 6x = 6

Hence proved


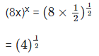
12. Determine (8x)x, if 9x+2 = 240 + 9x.

9x+2 = 240 + 9x

9x .92 = 240 + 9x

Let 9x be y

81y = 240 + y

81y – y = 240

80y = 240

y = 3

Since, y = 3

Then,

9x = 3

32x = 3

Therefore, x = 1/2

RD Sharma Solutions Ex-2.2, (Part - 2), Exponents Of Real Numbers, Class 9, Maths | RD Sharma Solutions for Class 9 Mathematics

= 2

Therefore (8x)x = 2


13. If 3x+1 = 9x-2, find the value of 21+x

3x+1 = 9x-2

3x+1 = 32x-4

x + 1 = 2x – 4

x = 5

Therefore the value of 21+x = 21+5 = 26 = 64

14. If 34x = (81)-1 and (10)1/y = 0.0001, find the value of 2-x+4y.

34x = (81)-1 and (10)1/y = 0.0001

34x = (3)-4

x = -1

And (10)1/y = 0.0001

(10)1/y = (10)−4

RD Sharma Solutions Ex-2.2, (Part - 2), Exponents Of Real Numbers, Class 9, Maths | RD Sharma Solutions for Class 9 Mathematics

To find the value of 2-x+4y, we need to substitute the value of x and y

RD Sharma Solutions Ex-2.2, (Part - 2), Exponents Of Real Numbers, Class 9, Maths | RD Sharma Solutions for Class 9 Mathematics


15. If 53x = 125 and 10y = 0.001. Find x and y.

53x = 125 and 10y = 0.001

53x = 53

x = 1

Now,

10y = 0.001

10y = 10-3

y = -3

Therefore, the value of x = 1 and the value of y = -3


16. Solve the following equations

(i) 3x+1 = 27×34

3x+1 = 33×34

3x+1 = 33+4

x + 1 = 3 + 4          [By equating exponents]

x + 1 = 7

x = 7 − 1

x = 6

RD Sharma Solutions Ex-2.2, (Part - 2), Exponents Of Real Numbers, Class 9, Maths | RD Sharma Solutions for Class 9 Mathematics
RD Sharma Solutions Ex-2.2, (Part - 2), Exponents Of Real Numbers, Class 9, Maths | RD Sharma Solutions for Class 9 Mathematics
RD Sharma Solutions Ex-2.2, (Part - 2), Exponents Of Real Numbers, Class 9, Maths | RD Sharma Solutions for Class 9 Mathematics

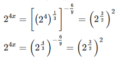
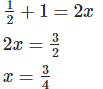
24x = 23

4x = 3  (By equating exponents)

x = 3/4

RD Sharma Solutions Ex-2.2, (Part - 2), Exponents Of Real Numbers, Class 9, Maths | RD Sharma Solutions for Class 9 Mathematics
RD Sharma Solutions Ex-2.2, (Part - 2), Exponents Of Real Numbers, Class 9, Maths | RD Sharma Solutions for Class 9 Mathematics   (By equating exponents)
RD Sharma Solutions Ex-2.2, (Part - 2), Exponents Of Real Numbers, Class 9, Maths | RD Sharma Solutions for Class 9 Mathematics

(iii). 3x−1×52y−3 = 225

3x−1×52y−3 = 32×52

x−1 = 2   [By equating exponents]

x = 3

3x−1×52y−3 = 32×52

2y−3 = 2   [By equating exponents]

2y = 5

y = 5/2

RD Sharma Solutions Ex-2.2, (Part - 2), Exponents Of Real Numbers, Class 9, Maths | RD Sharma Solutions for Class 9 Mathematics
RD Sharma Solutions Ex-2.2, (Part - 2), Exponents Of Real Numbers, Class 9, Maths | RD Sharma Solutions for Class 9 Mathematics
RD Sharma Solutions Ex-2.2, (Part - 2), Exponents Of Real Numbers, Class 9, Maths | RD Sharma Solutions for Class 9 Mathematics

3x+3 = 4y+8  —eq1

RD Sharma Solutions Ex-2.2, (Part - 2), Exponents Of Real Numbers, Class 9, Maths | RD Sharma Solutions for Class 9 Mathematics

3(3x+3) = 6+2x+24

9x+9 = 30+2x

7x = 21

x = 21/7

x = 3

Putting value of x in eq2

RD Sharma Solutions Ex-2.2, (Part - 2), Exponents Of Real Numbers, Class 9, Maths | RD Sharma Solutions for Class 9 Mathematics

RD Sharma Solutions Ex-2.2, (Part - 2), Exponents Of Real Numbers, Class 9, Maths | RD Sharma Solutions for Class 9 Mathematics
RD Sharma Solutions Ex-2.2, (Part - 2), Exponents Of Real Numbers, Class 9, Maths | RD Sharma Solutions for Class 9 Mathematics

2x−2−3+2x = −3x  [By equating exponents]

4x+3x = 5

7x = 5

x = 5/7

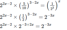
RD Sharma Solutions Ex-2.2, (Part - 2), Exponents Of Real Numbers, Class 9, Maths | RD Sharma Solutions for Class 9 Mathematics
RD Sharma Solutions Ex-2.2, (Part - 2), Exponents Of Real Numbers, Class 9, Maths | RD Sharma Solutions for Class 9 Mathematics   [By equating exponents]
RD Sharma Solutions Ex-2.2, (Part - 2), Exponents Of Real Numbers, Class 9, Maths | RD Sharma Solutions for Class 9 Mathematics

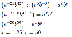
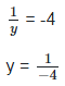
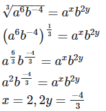
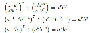
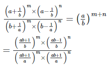
17. If a and b are distinct positive primes such that RD Sharma Solutions Ex-2.2, (Part - 2), Exponents Of Real Numbers, Class 9, Maths | RD Sharma Solutions for Class 9 Mathematics find x and y

RD Sharma Solutions Ex-2.2, (Part - 2), Exponents Of Real Numbers, Class 9, Maths | RD Sharma Solutions for Class 9 Mathematics
RD Sharma Solutions Ex-2.2, (Part - 2), Exponents Of Real Numbers, Class 9, Maths | RD Sharma Solutions for Class 9 Mathematics


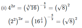
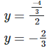
18. If a and b are different positive primes such that 

RD Sharma Solutions Ex-2.2, (Part - 2), Exponents Of Real Numbers, Class 9, Maths | RD Sharma Solutions for Class 9 Mathematicsaxby find x and y

RD Sharma Solutions Ex-2.2, (Part - 2), Exponents Of Real Numbers, Class 9, Maths | RD Sharma Solutions for Class 9 Mathematics
RD Sharma Solutions Ex-2.2, (Part - 2), Exponents Of Real Numbers, Class 9, Maths | RD Sharma Solutions for Class 9 Mathematics

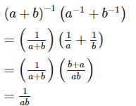
(ii) (a+b)−1(a−1+b−1) = axby,find x and y

RD Sharma Solutions Ex-2.2, (Part - 2), Exponents Of Real Numbers, Class 9, Maths | RD Sharma Solutions for Class 9 Mathematics

=(ab)−1 = a−1b−1   

By equating exponents

x = −1,y = −1

Therefore x+y+2 = −1−1+2 = 0


19. If 2x×3y×5z = 2160 , find x,y and z. Hence, compute the value of 3x×2−y×5−z

  RD Sharma Solutions Ex-2.2, (Part - 2), Exponents Of Real Numbers, Class 9, Maths | RD Sharma Solutions for Class 9 Mathematics
RD Sharma Solutions Ex-2.2, (Part - 2), Exponents Of Real Numbers, Class 9, Maths | RD Sharma Solutions for Class 9 Mathematics


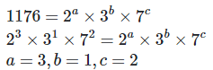
20. If 1176 = 2a×3b×7c, find the values of a,b, and c. Hence, compute the value of 2a×3b×7−c as a fraction

RD Sharma Solutions Ex-2.2, (Part - 2), Exponents Of Real Numbers, Class 9, Maths | RD Sharma Solutions for Class 9 Mathematics

We have to find the value of  RD Sharma Solutions Ex-2.2, (Part - 2), Exponents Of Real Numbers, Class 9, Maths | RD Sharma Solutions for Class 9 Mathematics

RD Sharma Solutions Ex-2.2, (Part - 2), Exponents Of Real Numbers, Class 9, Maths | RD Sharma Solutions for Class 9 Mathematics

= 24/49


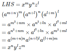
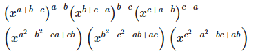
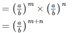
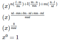
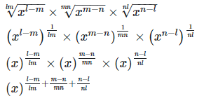
21. Simplify

RD Sharma Solutions Ex-2.2, (Part - 2), Exponents Of Real Numbers, Class 9, Maths | RD Sharma Solutions for Class 9 Mathematics
RD Sharma Solutions Ex-2.2, (Part - 2), Exponents Of Real Numbers, Class 9, Maths | RD Sharma Solutions for Class 9 Mathematics
RD Sharma Solutions Ex-2.2, (Part - 2), Exponents Of Real Numbers, Class 9, Maths | RD Sharma Solutions for Class 9 Mathematics
RD Sharma Solutions Ex-2.2, (Part - 2), Exponents Of Real Numbers, Class 9, Maths | RD Sharma Solutions for Class 9 Mathematics

RD Sharma Solutions Ex-2.2, (Part - 2), Exponents Of Real Numbers, Class 9, Maths | RD Sharma Solutions for Class 9 Mathematics
RD Sharma Solutions Ex-2.2, (Part - 2), Exponents Of Real Numbers, Class 9, Maths | RD Sharma Solutions for Class 9 Mathematics
RD Sharma Solutions Ex-2.2, (Part - 2), Exponents Of Real Numbers, Class 9, Maths | RD Sharma Solutions for Class 9 Mathematics


22. Show that

RD Sharma Solutions Ex-2.2, (Part - 2), Exponents Of Real Numbers, Class 9, Maths | RD Sharma Solutions for Class 9 Mathematics
RD Sharma Solutions Ex-2.2, (Part - 2), Exponents Of Real Numbers, Class 9, Maths | RD Sharma Solutions for Class 9 Mathematics

Hence LHS = RHS

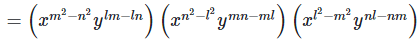
23. 

(i) RD Sharma Solutions Ex-2.2, (Part - 2), Exponents Of Real Numbers, Class 9, Maths | RD Sharma Solutions for Class 9 MathematicsRD Sharma Solutions Ex-2.2, (Part - 2), Exponents Of Real Numbers, Class 9, Maths | RD Sharma Solutions for Class 9 Mathematics
RD Sharma Solutions Ex-2.2, (Part - 2), Exponents Of Real Numbers, Class 9, Maths | RD Sharma Solutions for Class 9 Mathematics
RD Sharma Solutions Ex-2.2, (Part - 2), Exponents Of Real Numbers, Class 9, Maths | RD Sharma Solutions for Class 9 MathematicsRD Sharma Solutions Ex-2.2, (Part - 2), Exponents Of Real Numbers, Class 9, Maths | RD Sharma Solutions for Class 9 Mathematics
RD Sharma Solutions Ex-2.2, (Part - 2), Exponents Of Real Numbers, Class 9, Maths | RD Sharma Solutions for Class 9 Mathematics
RD Sharma Solutions Ex-2.2, (Part - 2), Exponents Of Real Numbers, Class 9, Maths | RD Sharma Solutions for Class 9 Mathematics
= x0 y0

= 1

RD Sharma Solutions Ex-2.2, (Part - 2), Exponents Of Real Numbers, Class 9, Maths | RD Sharma Solutions for Class 9 MathematicsRD Sharma Solutions Ex-2.2, (Part - 2), Exponents Of Real Numbers, Class 9, Maths | RD Sharma Solutions for Class 9 Mathematics

RD Sharma Solutions Ex-2.2, (Part - 2), Exponents Of Real Numbers, Class 9, Maths | RD Sharma Solutions for Class 9 Mathematics

The document RD Sharma Solutions Ex-2.2, (Part - 2), Exponents Of Real Numbers, Class 9, Maths | RD Sharma Solutions for Class 9 Mathematics is a part of the Class 9 Course RD Sharma Solutions for Class 9 Mathematics.
All you need of Class 9 at this link: Class 9
91 docs

FAQs on RD Sharma Solutions Ex-2.2, (Part - 2), Exponents Of Real Numbers, Class 9, Maths - RD Sharma Solutions for Class 9 Mathematics

1. What are exponents and how are they used in real numbers?
Ans. Exponents are a way to represent repeated multiplication of a number by itself. In real numbers, exponents are used to express very large or very small numbers in a concise and convenient form. For example, the number 10 raised to the power of 3 (10^3) represents 10 multiplied by itself three times (10 x 10 x 10), which is equal to 1000.
2. How do exponents affect the value of a real number?
Ans. Exponents can significantly impact the value of a real number. When the exponent is positive, it indicates repeated multiplication and results in a larger value. Conversely, when the exponent is negative, it indicates repeated division and leads to a smaller value. For instance, 2^3 equals 2 x 2 x 2, which is 8, while 2^-3 equals 1/(2 x 2 x 2), which is 1/8 or 0.125.
3. What is the significance of the exponent 0 in real numbers?
Ans. The exponent 0 in real numbers has a special significance. Any non-zero number raised to the power of 0 is always equal to 1. For example, 5^0 is equal to 1, as there are no repeated multiplications involved. This property is based on the idea that any number divided by itself is equal to 1.
4. How can exponents be used to simplify calculations with real numbers?
Ans. Exponents can simplify calculations with real numbers by reducing the number of operations required. Instead of performing repeated multiplications or divisions, we can use exponents to represent the same calculations more concisely. For instance, instead of calculating 2 x 2 x 2 x 2, we can simply write 2^4. This simplifies calculations and makes them easier to solve.
5. Can exponents be used with all types of real numbers?
Ans. Exponents can be used with all types of real numbers, including both integers and fractions. While exponents are commonly associated with positive whole numbers, they can also be negative, zero, or fractions. This flexibility allows us to represent a wide range of values and perform various mathematical operations using exponents.
Related Searches

Semester Notes

,

video lectures

,

Previous Year Questions with Solutions

,

Class 9

,

pdf

,

Class 9

,

practice quizzes

,

shortcuts and tricks

,

Sample Paper

,

Maths | RD Sharma Solutions for Class 9 Mathematics

,

Objective type Questions

,

Free

,

(Part - 2)

,

RD Sharma Solutions Ex-2.2

,

Class 9

,

Viva Questions

,

Maths | RD Sharma Solutions for Class 9 Mathematics

,

Exponents Of Real Numbers

,

Exponents Of Real Numbers

,

Maths | RD Sharma Solutions for Class 9 Mathematics

,

RD Sharma Solutions Ex-2.2

,

RD Sharma Solutions Ex-2.2

,

Summary

,

Exam

,

study material

,

MCQs

,

Important questions

,

past year papers

,

Extra Questions

,

(Part - 2)

,

Exponents Of Real Numbers

,

(Part - 2)

,

ppt

,

mock tests for examination

;