Class 9 Exam  >  Class 9 Notes  >  RD Sharma Solutions for Class 9 Mathematics  >  RD Sharma Solutions Ex-3.2, Rationalisation, Class 9, Maths

RD Sharma Solutions Ex-3.2, Rationalisation, Class 9, Maths | RD Sharma Solutions for Class 9 Mathematics PDF Download

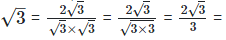
1. Rationalize the denominator of each of the following:

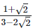
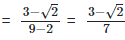
(i) RD Sharma Solutions Ex-3.2, Rationalisation, Class 9, Maths | RD Sharma Solutions for Class 9 Mathematics
(ii)  RD Sharma Solutions Ex-3.2, Rationalisation, Class 9, Maths | RD Sharma Solutions for Class 9 Mathematics
 (iii)  RD Sharma Solutions Ex-3.2, Rationalisation, Class 9, Maths | RD Sharma Solutions for Class 9 Mathematics
 (iv)  RD Sharma Solutions Ex-3.2, Rationalisation, Class 9, Maths | RD Sharma Solutions for Class 9 Mathematics
 (v)  RD Sharma Solutions Ex-3.2, Rationalisation, Class 9, Maths | RD Sharma Solutions for Class 9 Mathematics
 (vi)  RD Sharma Solutions Ex-3.2, Rationalisation, Class 9, Maths | RD Sharma Solutions for Class 9 Mathematics
 (vii)  RD Sharma Solutions Ex-3.2, Rationalisation, Class 9, Maths | RD Sharma Solutions for Class 9 Mathematics

Solution: (i) RD Sharma Solutions Ex-3.2, Rationalisation, Class 9, Maths | RD Sharma Solutions for Class 9 Mathematics  For rationalizing the denominator, multiply both numerator and denominator with  RD Sharma Solutions Ex-3.2, Rationalisation, Class 9, Maths | RD Sharma Solutions for Class 9 Mathematics

(ii)  RD Sharma Solutions Ex-3.2, Rationalisation, Class 9, Maths | RD Sharma Solutions for Class 9 Mathematics  For rationalizing the denominator, multiply both numerator and denominator with RD Sharma Solutions Ex-3.2, Rationalisation, Class 9, Maths | RD Sharma Solutions for Class 9 MathematicsRD Sharma Solutions Ex-3.2, Rationalisation, Class 9, Maths | RD Sharma Solutions for Class 9 Mathematics

(iii)  RD Sharma Solutions Ex-3.2, Rationalisation, Class 9, Maths | RD Sharma Solutions for Class 9 Mathematics  For rationalizing the denominator, multiply both numerator and denominator with  RD Sharma Solutions Ex-3.2, Rationalisation, Class 9, Maths | RD Sharma Solutions for Class 9 MathematicsRD Sharma Solutions Ex-3.2, Rationalisation, Class 9, Maths | RD Sharma Solutions for Class 9 Mathematics

(iv)  RD Sharma Solutions Ex-3.2, Rationalisation, Class 9, Maths | RD Sharma Solutions for Class 9 Mathematics For rationalizing the denominator, multiply both numerator and denominator with  RD Sharma Solutions Ex-3.2, Rationalisation, Class 9, Maths | RD Sharma Solutions for Class 9 MathematicsRD Sharma Solutions Ex-3.2, Rationalisation, Class 9, Maths | RD Sharma Solutions for Class 9 Mathematics

(v)  RD Sharma Solutions Ex-3.2, Rationalisation, Class 9, Maths | RD Sharma Solutions for Class 9 Mathematics For rationalizing the denominator, multiply both numerator and denominator with  RD Sharma Solutions Ex-3.2, Rationalisation, Class 9, Maths | RD Sharma Solutions for Class 9 MathematicsRD Sharma Solutions Ex-3.2, Rationalisation, Class 9, Maths | RD Sharma Solutions for Class 9 Mathematics

(vi)  RD Sharma Solutions Ex-3.2, Rationalisation, Class 9, Maths | RD Sharma Solutions for Class 9 Mathematics For rationalizing the denominator, multiply both numerator and denominator with  RD Sharma Solutions Ex-3.2, Rationalisation, Class 9, Maths | RD Sharma Solutions for Class 9 Mathematics  RD Sharma Solutions Ex-3.2, Rationalisation, Class 9, Maths | RD Sharma Solutions for Class 9 Mathematics

(vii)  RD Sharma Solutions Ex-3.2, Rationalisation, Class 9, Maths | RD Sharma Solutions for Class 9 Mathematics  For rationalizing the denominator, multiply both numerator and denominator with  RD Sharma Solutions Ex-3.2, Rationalisation, Class 9, Maths | RD Sharma Solutions for Class 9 MathematicsRD Sharma Solutions Ex-3.2, Rationalisation, Class 9, Maths | RD Sharma Solutions for Class 9 Mathematics


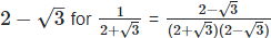
2. Find the value to three places of decimals of each of the following. It is given that RD Sharma Solutions Ex-3.2, Rationalisation, Class 9, Maths | RD Sharma Solutions for Class 9 Mathematics  = 1.414,RD Sharma Solutions Ex-3.2, Rationalisation, Class 9, Maths | RD Sharma Solutions for Class 9 Mathematics = 1.732,RD Sharma Solutions Ex-3.2, Rationalisation, Class 9, Maths | RD Sharma Solutions for Class 9 Mathematics  = 2.236, RD Sharma Solutions Ex-3.2, Rationalisation, Class 9, Maths | RD Sharma Solutions for Class 9 Mathematics = 3.162.

(i) RD Sharma Solutions Ex-3.2, Rationalisation, Class 9, Maths | RD Sharma Solutions for Class 9 Mathematics
(ii) RD Sharma Solutions Ex-3.2, Rationalisation, Class 9, Maths | RD Sharma Solutions for Class 9 Mathematics
(iii) RD Sharma Solutions Ex-3.2, Rationalisation, Class 9, Maths | RD Sharma Solutions for Class 9 Mathematics
(iv) RD Sharma Solutions Ex-3.2, Rationalisation, Class 9, Maths | RD Sharma Solutions for Class 9 Mathematics
(v) RD Sharma Solutions Ex-3.2, Rationalisation, Class 9, Maths | RD Sharma Solutions for Class 9 Mathematics
(vi) RD Sharma Solutions Ex-3.2, Rationalisation, Class 9, Maths | RD Sharma Solutions for Class 9 Mathematics

Solution: Given,  RD Sharma Solutions Ex-3.2, Rationalisation, Class 9, Maths | RD Sharma Solutions for Class 9 Mathematics  = 1.414,RD Sharma Solutions Ex-3.2, Rationalisation, Class 9, Maths | RD Sharma Solutions for Class 9 Mathematics = 1.732,RD Sharma Solutions Ex-3.2, Rationalisation, Class 9, Maths | RD Sharma Solutions for Class 9 Mathematics  = 2.236, RD Sharma Solutions Ex-3.2, Rationalisation, Class 9, Maths | RD Sharma Solutions for Class 9 Mathematics = 3.162.

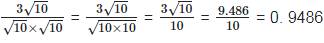
(i) RD Sharma Solutions Ex-3.2, Rationalisation, Class 9, Maths | RD Sharma Solutions for Class 9 Mathematics Rationalizing the denominator by multiplying both numerator and denominator with RD Sharma Solutions Ex-3.2, Rationalisation, Class 9, Maths | RD Sharma Solutions for Class 9 Mathematics
RD Sharma Solutions Ex-3.2, Rationalisation, Class 9, Maths | RD Sharma Solutions for Class 9 Mathematics

(ii) RD Sharma Solutions Ex-3.2, Rationalisation, Class 9, Maths | RD Sharma Solutions for Class 9 Mathematics Rationalizing the denominator by multiplying both numerator and denominator with  RD Sharma Solutions Ex-3.2, Rationalisation, Class 9, Maths | RD Sharma Solutions for Class 9 MathematicsRD Sharma Solutions Ex-3.2, Rationalisation, Class 9, Maths | RD Sharma Solutions for Class 9 Mathematics

(iii) RD Sharma Solutions Ex-3.2, Rationalisation, Class 9, Maths | RD Sharma Solutions for Class 9 Mathematics Rationalizing the denominator by multiplying both numerator and denominator with  RD Sharma Solutions Ex-3.2, Rationalisation, Class 9, Maths | RD Sharma Solutions for Class 9 MathematicsRD Sharma Solutions Ex-3.2, Rationalisation, Class 9, Maths | RD Sharma Solutions for Class 9 Mathematics

(iv) RD Sharma Solutions Ex-3.2, Rationalisation, Class 9, Maths | RD Sharma Solutions for Class 9 Mathematics Rationalizing the denominator by multiplying both numerator and denominator with  RD Sharma Solutions Ex-3.2, Rationalisation, Class 9, Maths | RD Sharma Solutions for Class 9 MathematicsRD Sharma Solutions Ex-3.2, Rationalisation, Class 9, Maths | RD Sharma Solutions for Class 9 Mathematics
RD Sharma Solutions Ex-3.2, Rationalisation, Class 9, Maths | RD Sharma Solutions for Class 9 MathematicsRD Sharma Solutions Ex-3.2, Rationalisation, Class 9, Maths | RD Sharma Solutions for Class 9 MathematicsRD Sharma Solutions Ex-3.2, Rationalisation, Class 9, Maths | RD Sharma Solutions for Class 9 Mathematics

RD Sharma Solutions Ex-3.2, Rationalisation, Class 9, Maths | RD Sharma Solutions for Class 9 Mathematics

(vi) RD Sharma Solutions Ex-3.2, Rationalisation, Class 9, Maths | RD Sharma Solutions for Class 9 Mathematics Rationalizing the denominator by multiplying both numerator and denominator with  RD Sharma Solutions Ex-3.2, Rationalisation, Class 9, Maths | RD Sharma Solutions for Class 9 MathematicsRD Sharma Solutions Ex-3.2, Rationalisation, Class 9, Maths | RD Sharma Solutions for Class 9 Mathematics
RD Sharma Solutions Ex-3.2, Rationalisation, Class 9, Maths | RD Sharma Solutions for Class 9 Mathematics


3. Express each one of the following with rational denominator:

(i) RD Sharma Solutions Ex-3.2, Rationalisation, Class 9, Maths | RD Sharma Solutions for Class 9 Mathematics
(ii)  RD Sharma Solutions Ex-3.2, Rationalisation, Class 9, Maths | RD Sharma Solutions for Class 9 Mathematics
 (iii)  RD Sharma Solutions Ex-3.2, Rationalisation, Class 9, Maths | RD Sharma Solutions for Class 9 Mathematics
 (iv)  RD Sharma Solutions Ex-3.2, Rationalisation, Class 9, Maths | RD Sharma Solutions for Class 9 Mathematics
 (v)  RD Sharma Solutions Ex-3.2, Rationalisation, Class 9, Maths | RD Sharma Solutions for Class 9 Mathematics
 (vi) RD Sharma Solutions Ex-3.2, Rationalisation, Class 9, Maths | RD Sharma Solutions for Class 9 Mathematics
 (vii)  RD Sharma Solutions Ex-3.2, Rationalisation, Class 9, Maths | RD Sharma Solutions for Class 9 Mathematics
 (viii)  RD Sharma Solutions Ex-3.2, Rationalisation, Class 9, Maths | RD Sharma Solutions for Class 9 Mathematics
 (ix)  RD Sharma Solutions Ex-3.2, Rationalisation, Class 9, Maths | RD Sharma Solutions for Class 9 Mathematics

Solution: (i) RD Sharma Solutions Ex-3.2, Rationalisation, Class 9, Maths | RD Sharma Solutions for Class 9 Mathematics Rationalizing the denominator by multiplying both numerator and denominator with the rationalizing factor  RD Sharma Solutions Ex-3.2, Rationalisation, Class 9, Maths | RD Sharma Solutions for Class 9 Mathematics

As we know, (a + b) (a - b) = (a2−b2)  RD Sharma Solutions Ex-3.2, Rationalisation, Class 9, Maths | RD Sharma Solutions for Class 9 Mathematics

(ii)  RD Sharma Solutions Ex-3.2, Rationalisation, Class 9, Maths | RD Sharma Solutions for Class 9 Mathematics Rationalizing the denominator by multiplying both numerator and denominator with the rationalizing factor  RD Sharma Solutions Ex-3.2, Rationalisation, Class 9, Maths | RD Sharma Solutions for Class 9 Mathematics 

As we know, (a + b) (a - b) = (a2 − b2) RD Sharma Solutions Ex-3.2, Rationalisation, Class 9, Maths | RD Sharma Solutions for Class 9 MathematicsRD Sharma Solutions Ex-3.2, Rationalisation, Class 9, Maths | RD Sharma Solutions for Class 9 Mathematics

(iii)  RD Sharma Solutions Ex-3.2, Rationalisation, Class 9, Maths | RD Sharma Solutions for Class 9 MathematicsRationalizing the denominator by multiplying both numerator and denominator with the rationalizing factor  RD Sharma Solutions Ex-3.2, Rationalisation, Class 9, Maths | RD Sharma Solutions for Class 9 Mathematics

As we know, (a + b) (a - b) = (a2−b2RD Sharma Solutions Ex-3.2, Rationalisation, Class 9, Maths | RD Sharma Solutions for Class 9 MathematicsRD Sharma Solutions Ex-3.2, Rationalisation, Class 9, Maths | RD Sharma Solutions for Class 9 Mathematics

(iv)  RD Sharma Solutions Ex-3.2, Rationalisation, Class 9, Maths | RD Sharma Solutions for Class 9 Mathematics Rationalizing the denominator by multiplying both numerator and denominator with the rationalizing factor  RD Sharma Solutions Ex-3.2, Rationalisation, Class 9, Maths | RD Sharma Solutions for Class 9 Mathematics

As we know, (a + b) (a - b) = (a2−b2) =  RD Sharma Solutions Ex-3.2, Rationalisation, Class 9, Maths | RD Sharma Solutions for Class 9 Mathematics

(v)  RD Sharma Solutions Ex-3.2, Rationalisation, Class 9, Maths | RD Sharma Solutions for Class 9 Mathematics Rationalizing the denominator by multiplying both numerator and denominator with the rationalizing factor  RD Sharma Solutions Ex-3.2, Rationalisation, Class 9, Maths | RD Sharma Solutions for Class 9 Mathematics

As we know, (a + b) (a - b) = (a2−b2) =  RD Sharma Solutions Ex-3.2, Rationalisation, Class 9, Maths | RD Sharma Solutions for Class 9 MathematicsRD Sharma Solutions Ex-3.2, Rationalisation, Class 9, Maths | RD Sharma Solutions for Class 9 Mathematics

(vi) RD Sharma Solutions Ex-3.2, Rationalisation, Class 9, Maths | RD Sharma Solutions for Class 9 Mathematics Rationalizing the denominator by multiplying both numerator and denominator with the rationalizing factor  RD Sharma Solutions Ex-3.2, Rationalisation, Class 9, Maths | RD Sharma Solutions for Class 9 Mathematics

As we know, (a + b) (a - b) = (a2−b2) = RD Sharma Solutions Ex-3.2, Rationalisation, Class 9, Maths | RD Sharma Solutions for Class 9 Mathematics

(vii)  RD Sharma Solutions Ex-3.2, Rationalisation, Class 9, Maths | RD Sharma Solutions for Class 9 Mathematics Rationalizing the denominator by multiplying both numerator and denominator with the rationalizing factor  RD Sharma Solutions Ex-3.2, Rationalisation, Class 9, Maths | RD Sharma Solutions for Class 9 Mathematics

As we know, (a + b) (a - b) = (a2−b2) RD Sharma Solutions Ex-3.2, Rationalisation, Class 9, Maths | RD Sharma Solutions for Class 9 Mathematics As we know , (a - b)2 = (a2−2×a×b+b2) RD Sharma Solutions Ex-3.2, Rationalisation, Class 9, Maths | RD Sharma Solutions for Class 9 MathematicsRD Sharma Solutions Ex-3.2, Rationalisation, Class 9, Maths | RD Sharma Solutions for Class 9 Mathematics

(viii)  RD Sharma Solutions Ex-3.2, Rationalisation, Class 9, Maths | RD Sharma Solutions for Class 9 Mathematics Rationalizing the denominator by multiplying both numerator and denominator with the rationalizing factor  RD Sharma Solutions Ex-3.2, Rationalisation, Class 9, Maths | RD Sharma Solutions for Class 9 Mathematics

As we know, (a + b) (a - b) = (a2−b2) =  RD Sharma Solutions Ex-3.2, Rationalisation, Class 9, Maths | RD Sharma Solutions for Class 9 Mathematics

(ix)  RD Sharma Solutions Ex-3.2, Rationalisation, Class 9, Maths | RD Sharma Solutions for Class 9 Mathematics Rationalizing the denominator by multiplying both numerator and denominator with the rationalizing factor  RD Sharma Solutions Ex-3.2, Rationalisation, Class 9, Maths | RD Sharma Solutions for Class 9 Mathematics

As we know, (a + b) (a - b) = (a2−b2RD Sharma Solutions Ex-3.2, Rationalisation, Class 9, Maths | RD Sharma Solutions for Class 9 Mathematics


4. Rationalize the denominator and simplify: 

(i)  RD Sharma Solutions Ex-3.2, Rationalisation, Class 9, Maths | RD Sharma Solutions for Class 9 Mathematics

(ii)  RD Sharma Solutions Ex-3.2, Rationalisation, Class 9, Maths | RD Sharma Solutions for Class 9 Mathematics

(iii)  RD Sharma Solutions Ex-3.2, Rationalisation, Class 9, Maths | RD Sharma Solutions for Class 9 Mathematics

(iv)   RD Sharma Solutions Ex-3.2, Rationalisation, Class 9, Maths | RD Sharma Solutions for Class 9 Mathematics

(v)  RD Sharma Solutions Ex-3.2, Rationalisation, Class 9, Maths | RD Sharma Solutions for Class 9 Mathematics

(vi)   RD Sharma Solutions Ex-3.2, Rationalisation, Class 9, Maths | RD Sharma Solutions for Class 9 Mathematics

Solution: (i)  RD Sharma Solutions Ex-3.2, Rationalisation, Class 9, Maths | RD Sharma Solutions for Class 9 Mathematics Rationalizing the denominator by multiplying both numerator and denominator with the rationalizing factor  RD Sharma Solutions Ex-3.2, Rationalisation, Class 9, Maths | RD Sharma Solutions for Class 9 Mathematics

As we know, (a + b) (a - b) RD Sharma Solutions Ex-3.2, Rationalisation, Class 9, Maths | RD Sharma Solutions for Class 9 Mathematics As we know , (a - b) 2 = (a2−2×a×b+b2) RD Sharma Solutions Ex-3.2, Rationalisation, Class 9, Maths | RD Sharma Solutions for Class 9 MathematicsRD Sharma Solutions Ex-3.2, Rationalisation, Class 9, Maths | RD Sharma Solutions for Class 9 Mathematics

(ii)  RD Sharma Solutions Ex-3.2, Rationalisation, Class 9, Maths | RD Sharma Solutions for Class 9 Mathematics Rationalizing the denominator by multiplying both numerator and denominator with the rationalizing factor  RD Sharma Solutions Ex-3.2, Rationalisation, Class 9, Maths | RD Sharma Solutions for Class 9 Mathematics

As we know, (a + b) (a - b) = (a2−b2) =  RD Sharma Solutions Ex-3.2, Rationalisation, Class 9, Maths | RD Sharma Solutions for Class 9 MathematicsRD Sharma Solutions Ex-3.2, Rationalisation, Class 9, Maths | RD Sharma Solutions for Class 9 Mathematics

(iii)  RD Sharma Solutions Ex-3.2, Rationalisation, Class 9, Maths | RD Sharma Solutions for Class 9 Mathematics Rationalizing the denominator by multiplying both numerator and denominator with the rationalizing factor  RD Sharma Solutions Ex-3.2, Rationalisation, Class 9, Maths | RD Sharma Solutions for Class 9 Mathematics

As we know, (a + b) (a - b) = (a2−b2RD Sharma Solutions Ex-3.2, Rationalisation, Class 9, Maths | RD Sharma Solutions for Class 9 MathematicsRD Sharma Solutions Ex-3.2, Rationalisation, Class 9, Maths | RD Sharma Solutions for Class 9 Mathematics

(iv)   RD Sharma Solutions Ex-3.2, Rationalisation, Class 9, Maths | RD Sharma Solutions for Class 9 MathematicsRationalizing the denominator by multiplying both numerator and denominator with the rationalizing factor  RD Sharma Solutions Ex-3.2, Rationalisation, Class 9, Maths | RD Sharma Solutions for Class 9 Mathematics

 As we know, (a + b) (a - b) = (a2−b2) = RD Sharma Solutions Ex-3.2, Rationalisation, Class 9, Maths | RD Sharma Solutions for Class 9 MathematicsRD Sharma Solutions Ex-3.2, Rationalisation, Class 9, Maths | RD Sharma Solutions for Class 9 MathematicsRD Sharma Solutions Ex-3.2, Rationalisation, Class 9, Maths | RD Sharma Solutions for Class 9 MathematicsRD Sharma Solutions Ex-3.2, Rationalisation, Class 9, Maths | RD Sharma Solutions for Class 9 Mathematics

(v)  RD Sharma Solutions Ex-3.2, Rationalisation, Class 9, Maths | RD Sharma Solutions for Class 9 Mathematics Rationalizing the denominator by multiplying both numerator and denominator with the rationalizing factor  RD Sharma Solutions Ex-3.2, Rationalisation, Class 9, Maths | RD Sharma Solutions for Class 9 Mathematics

As we know, (a + b) (a - b) = (a2−b2) =  RD Sharma Solutions Ex-3.2, Rationalisation, Class 9, Maths | RD Sharma Solutions for Class 9 MathematicsRD Sharma Solutions Ex-3.2, Rationalisation, Class 9, Maths | RD Sharma Solutions for Class 9 Mathematics

(vi)   RD Sharma Solutions Ex-3.2, Rationalisation, Class 9, Maths | RD Sharma Solutions for Class 9 Mathematics Rationalizing the denominator by multiplying both numerator and denominator with the rationalizing factor  RD Sharma Solutions Ex-3.2, Rationalisation, Class 9, Maths | RD Sharma Solutions for Class 9 Mathematics
RD Sharma Solutions Ex-3.2, Rationalisation, Class 9, Maths | RD Sharma Solutions for Class 9 MathematicsRD Sharma Solutions Ex-3.2, Rationalisation, Class 9, Maths | RD Sharma Solutions for Class 9 MathematicsRD Sharma Solutions Ex-3.2, Rationalisation, Class 9, Maths | RD Sharma Solutions for Class 9 Mathematics

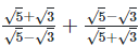
5. Simplify: 

(i) RD Sharma Solutions Ex-3.2, Rationalisation, Class 9, Maths | RD Sharma Solutions for Class 9 Mathematics

(ii)  RD Sharma Solutions Ex-3.2, Rationalisation, Class 9, Maths | RD Sharma Solutions for Class 9 Mathematics

(iii)   RD Sharma Solutions Ex-3.2, Rationalisation, Class 9, Maths | RD Sharma Solutions for Class 9 Mathematics

(iv)  RD Sharma Solutions Ex-3.2, Rationalisation, Class 9, Maths | RD Sharma Solutions for Class 9 Mathematics

(v)  RD Sharma Solutions Ex-3.2, Rationalisation, Class 9, Maths | RD Sharma Solutions for Class 9 Mathematics

 Solution: (i) RD Sharma Solutions Ex-3.2, Rationalisation, Class 9, Maths | RD Sharma Solutions for Class 9 Mathematics Rationalizing the denominator by multiplying both numerator and denominator with the rationalizing factor  RD Sharma Solutions Ex-3.2, Rationalisation, Class 9, Maths | RD Sharma Solutions for Class 9 Mathematics and the rationalizing factor  RD Sharma Solutions Ex-3.2, Rationalisation, Class 9, Maths | RD Sharma Solutions for Class 9 MathematicsRD Sharma Solutions Ex-3.2, Rationalisation, Class 9, Maths | RD Sharma Solutions for Class 9 Mathematics

 Now, (a + b) (a - b) = (a2−b2) =  RD Sharma Solutions Ex-3.2, Rationalisation, Class 9, Maths | RD Sharma Solutions for Class 9 Mathematics 

As we know , (a - b)2 = (a2−2×a×b+b2) =  RD Sharma Solutions Ex-3.2, Rationalisation, Class 9, Maths | RD Sharma Solutions for Class 9 MathematicsRD Sharma Solutions Ex-3.2, Rationalisation, Class 9, Maths | RD Sharma Solutions for Class 9 MathematicsRD Sharma Solutions Ex-3.2, Rationalisation, Class 9, Maths | RD Sharma Solutions for Class 9 MathematicsRD Sharma Solutions Ex-3.2, Rationalisation, Class 9, Maths | RD Sharma Solutions for Class 9 Mathematics

(ii)  RD Sharma Solutions Ex-3.2, Rationalisation, Class 9, Maths | RD Sharma Solutions for Class 9 Mathematics Rationalizing the denominator by multiplying both numerator and denominator with the rationalizing factor  RD Sharma Solutions Ex-3.2, Rationalisation, Class 9, Maths | RD Sharma Solutions for Class 9 Mathematics and the rationalizing factor  RD Sharma Solutions Ex-3.2, Rationalisation, Class 9, Maths | RD Sharma Solutions for Class 9 Mathematics =  RD Sharma Solutions Ex-3.2, Rationalisation, Class 9, Maths | RD Sharma Solutions for Class 9 Mathematics

 

Now as we know, (a + b) (a - b) = (a2−b2), (a - b)2 = (a2−2×a×b+b2) and (a+b)2 = (a2+2×a×b+b2)

RD Sharma Solutions Ex-3.2, Rationalisation, Class 9, Maths | RD Sharma Solutions for Class 9 MathematicsRD Sharma Solutions Ex-3.2, Rationalisation, Class 9, Maths | RD Sharma Solutions for Class 9 Mathematics

(iii)   RD Sharma Solutions Ex-3.2, Rationalisation, Class 9, Maths | RD Sharma Solutions for Class 9 Mathematics Rationalizing the denominator by multiplying both numerator and denominator with the rationalizing factor  RD Sharma Solutions Ex-3.2, Rationalisation, Class 9, Maths | RD Sharma Solutions for Class 9 Mathematics and the rationalizing factor  RD Sharma Solutions Ex-3.2, Rationalisation, Class 9, Maths | RD Sharma Solutions for Class 9 MathematicsRD Sharma Solutions Ex-3.2, Rationalisation, Class 9, Maths | RD Sharma Solutions for Class 9 Mathematics

Now as we know, (a + b) (a - b) = (a2−b2) =  RD Sharma Solutions Ex-3.2, Rationalisation, Class 9, Maths | RD Sharma Solutions for Class 9 MathematicsRD Sharma Solutions Ex-3.2, Rationalisation, Class 9, Maths | RD Sharma Solutions for Class 9 Mathematics

RD Sharma Solutions Ex-3.2, Rationalisation, Class 9, Maths | RD Sharma Solutions for Class 9 MathematicsRD Sharma Solutions Ex-3.2, Rationalisation, Class 9, Maths | RD Sharma Solutions for Class 9 Mathematics

(iv)  RD Sharma Solutions Ex-3.2, Rationalisation, Class 9, Maths | RD Sharma Solutions for Class 9 Mathematics Rationalizing the denominator by multiplying both numerator and denominator with the rationalizing factor  RD Sharma Solutions Ex-3.2, Rationalisation, Class 9, Maths | RD Sharma Solutions for Class 9 Mathematics the rationalizing factor  RD Sharma Solutions Ex-3.2, Rationalisation, Class 9, Maths | RD Sharma Solutions for Class 9 Mathematics, and the rationalizing factor RD Sharma Solutions Ex-3.2, Rationalisation, Class 9, Maths | RD Sharma Solutions for Class 9 MathematicsRD Sharma Solutions Ex-3.2, Rationalisation, Class 9, Maths | RD Sharma Solutions for Class 9 Mathematics

Since, (a + b) (a - b) = (a2−b2) RD Sharma Solutions Ex-3.2, Rationalisation, Class 9, Maths | RD Sharma Solutions for Class 9 MathematicsRD Sharma Solutions Ex-3.2, Rationalisation, Class 9, Maths | RD Sharma Solutions for Class 9 MathematicsRD Sharma Solutions Ex-3.2, Rationalisation, Class 9, Maths | RD Sharma Solutions for Class 9 Mathematics

(v)  RD Sharma Solutions Ex-3.2, Rationalisation, Class 9, Maths | RD Sharma Solutions for Class 9 Mathematics  Rationalizing the denominator by multiplying both numerator and denominator with  the rationalizing factor  RD Sharma Solutions Ex-3.2, Rationalisation, Class 9, Maths | RD Sharma Solutions for Class 9 Mathematics the rationalizing factor  RD Sharma Solutions Ex-3.2, Rationalisation, Class 9, Maths | RD Sharma Solutions for Class 9 MathematicsRD Sharma Solutions Ex-3.2, Rationalisation, Class 9, Maths | RD Sharma Solutions for Class 9 Mathematics and the rationalizing factor RD Sharma Solutions Ex-3.2, Rationalisation, Class 9, Maths | RD Sharma Solutions for Class 9 Mathematics

RD Sharma Solutions Ex-3.2, Rationalisation, Class 9, Maths | RD Sharma Solutions for Class 9 Mathematics 

Since, (a + b) (a - b) = (a2−b2) =  RD Sharma Solutions Ex-3.2, Rationalisation, Class 9, Maths | RD Sharma Solutions for Class 9 MathematicsRD Sharma Solutions Ex-3.2, Rationalisation, Class 9, Maths | RD Sharma Solutions for Class 9 Mathematics

RD Sharma Solutions Ex-3.2, Rationalisation, Class 9, Maths | RD Sharma Solutions for Class 9 Mathematics

RD Sharma Solutions Ex-3.2, Rationalisation, Class 9, Maths | RD Sharma Solutions for Class 9 Mathematics


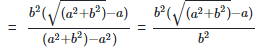
6. In each of the following determine rational numbers a and b:

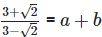
(i) RD Sharma Solutions Ex-3.2, Rationalisation, Class 9, Maths | RD Sharma Solutions for Class 9 Mathematics

(ii)   RD Sharma Solutions Ex-3.2, Rationalisation, Class 9, Maths | RD Sharma Solutions for Class 9 Mathematics

(iii)  RD Sharma Solutions Ex-3.2, Rationalisation, Class 9, Maths | RD Sharma Solutions for Class 9 Mathematics

(iv)   RD Sharma Solutions Ex-3.2, Rationalisation, Class 9, Maths | RD Sharma Solutions for Class 9 Mathematics

(v)  RD Sharma Solutions Ex-3.2, Rationalisation, Class 9, Maths | RD Sharma Solutions for Class 9 MathematicsRD Sharma Solutions Ex-3.2, Rationalisation, Class 9, Maths | RD Sharma Solutions for Class 9 Mathematics

(vi)   RD Sharma Solutions Ex-3.2, Rationalisation, Class 9, Maths | RD Sharma Solutions for Class 9 Mathematics

Solution:   (i) Given, RD Sharma Solutions Ex-3.2, Rationalisation, Class 9, Maths | RD Sharma Solutions for Class 9 Mathematics Rationalizing the denominator by multiplying both numerator and denominator with the rationalizing factor 

RD Sharma Solutions Ex-3.2, Rationalisation, Class 9, Maths | RD Sharma Solutions for Class 9 Mathematics

As we know, (a + b) (a - b) = (a2−b2RD Sharma Solutions Ex-3.2, Rationalisation, Class 9, Maths | RD Sharma Solutions for Class 9 Mathematics

RD Sharma Solutions Ex-3.2, Rationalisation, Class 9, Maths | RD Sharma Solutions for Class 9 Mathematics

On comparing the rational and irrational parts of the above equation, we get, a = 2 and b = 1

(ii)   RD Sharma Solutions Ex-3.2, Rationalisation, Class 9, Maths | RD Sharma Solutions for Class 9 Mathematics Rationalizing the denominator by multiplying both numerator and denominator with the rationalizing factor  RD Sharma Solutions Ex-3.2, Rationalisation, Class 9, Maths | RD Sharma Solutions for Class 9 Mathematics

As we know, (a + b) (a - b) = (RD Sharma Solutions Ex-3.2, Rationalisation, Class 9, Maths | RD Sharma Solutions for Class 9 Mathematics

RD Sharma Solutions Ex-3.2, Rationalisation, Class 9, Maths | RD Sharma Solutions for Class 9 Mathematics

On comparing the rational and irrational parts of the above equation, we get,

a = 3 and b = 2

(iii)  RD Sharma Solutions Ex-3.2, Rationalisation, Class 9, Maths | RD Sharma Solutions for Class 9 Mathematics Rationalizing the denominator by multiplying both numerator and denominator with the rationalizing factor  RD Sharma Solutions Ex-3.2, Rationalisation, Class 9, Maths | RD Sharma Solutions for Class 9 Mathematics

As we know, (a + b) (a - b) = (RD Sharma Solutions Ex-3.2, Rationalisation, Class 9, Maths | RD Sharma Solutions for Class 9 Mathematics

RD Sharma Solutions Ex-3.2, Rationalisation, Class 9, Maths | RD Sharma Solutions for Class 9 Mathematics

On comparing the rational and irrational parts of the above equation, we get,

RD Sharma Solutions Ex-3.2, Rationalisation, Class 9, Maths | RD Sharma Solutions for Class 9 Mathematics

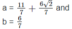
(iv)   RD Sharma Solutions Ex-3.2, Rationalisation, Class 9, Maths | RD Sharma Solutions for Class 9 Mathematics Rationalizing the denominator by multiplying both numerator and denominator with the rationalizing factor  RD Sharma Solutions Ex-3.2, Rationalisation, Class 9, Maths | RD Sharma Solutions for Class 9 Mathematics

As we know, (a + b) (a - b) = ( RD Sharma Solutions Ex-3.2, Rationalisation, Class 9, Maths | RD Sharma Solutions for Class 9 Mathematics

RD Sharma Solutions Ex-3.2, Rationalisation, Class 9, Maths | RD Sharma Solutions for Class 9 Mathematics

On comparing the rational and irrational parts of the above equation, we get,

a = -1 and

b = 1

(v)  RD Sharma Solutions Ex-3.2, Rationalisation, Class 9, Maths | RD Sharma Solutions for Class 9 MathematicsRD Sharma Solutions Ex-3.2, Rationalisation, Class 9, Maths | RD Sharma Solutions for Class 9 Mathematics Rationalizing the denominator by multiplying both numerator and denominator with the rationalizing factor  RD Sharma Solutions Ex-3.2, Rationalisation, Class 9, Maths | RD Sharma Solutions for Class 9 Mathematics

As we know, (a + b) (a - b) = (a2−b2) =  RD Sharma Solutions Ex-3.2, Rationalisation, Class 9, Maths | RD Sharma Solutions for Class 9 Mathematics

RD Sharma Solutions Ex-3.2, Rationalisation, Class 9, Maths | RD Sharma Solutions for Class 9 Mathematics

On comparing the rational and irrational parts of the above equation, we get,

RD Sharma Solutions Ex-3.2, Rationalisation, Class 9, Maths | RD Sharma Solutions for Class 9 Mathematics

(vi)   RD Sharma Solutions Ex-3.2, Rationalisation, Class 9, Maths | RD Sharma Solutions for Class 9 Mathematics Rationalizing the denominator by multiplying both numerator and denominator with the rationalizing factor  RD Sharma Solutions Ex-3.2, Rationalisation, Class 9, Maths | RD Sharma Solutions for Class 9 Mathematics

As we know, (a + b) (a - b) = (a2−b2) RD Sharma Solutions Ex-3.2, Rationalisation, Class 9, Maths | RD Sharma Solutions for Class 9 Mathematics

RD Sharma Solutions Ex-3.2, Rationalisation, Class 9, Maths | RD Sharma Solutions for Class 9 Mathematics

On comparing the rational and irrational parts of the above equation, we get,

RD Sharma Solutions Ex-3.2, Rationalisation, Class 9, Maths | RD Sharma Solutions for Class 9 Mathematics

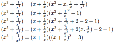
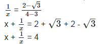
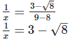
7. If x = 2 + RD Sharma Solutions Ex-3.2, Rationalisation, Class 9, Maths | RD Sharma Solutions for Class 9 Mathematics find the value of RD Sharma Solutions Ex-3.2, Rationalisation, Class 9, Maths | RD Sharma Solutions for Class 9 Mathematics

Solution:  Given, x = 2 + RD Sharma Solutions Ex-3.2, Rationalisation, Class 9, Maths | RD Sharma Solutions for Class 9 Mathematics To find the value of  RD Sharma Solutions Ex-3.2, Rationalisation, Class 9, Maths | RD Sharma Solutions for Class 9 Mathematics

We have,  x = 2 + RD Sharma Solutions Ex-3.2, Rationalisation, Class 9, Maths | RD Sharma Solutions for Class 9 Mathematics 

RD Sharma Solutions Ex-3.2, Rationalisation, Class 9, Maths | RD Sharma Solutions for Class 9 Mathematics

Rationalizing the denominator by multiplying both numerator and denominator with the rationalizing factor  RD Sharma Solutions Ex-3.2, Rationalisation, Class 9, Maths | RD Sharma Solutions for Class 9 Mathematics

Since, (a + b) (a - b) = (a2−b2)

RD Sharma Solutions Ex-3.2, Rationalisation, Class 9, Maths | RD Sharma Solutions for Class 9 Mathematics

We know that,  RD Sharma Solutions Ex-3.2, Rationalisation, Class 9, Maths | RD Sharma Solutions for Class 9 Mathematics

RD Sharma Solutions Ex-3.2, Rationalisation, Class 9, Maths | RD Sharma Solutions for Class 9 Mathematics

Putting the value of  RD Sharma Solutions Ex-3.2, Rationalisation, Class 9, Maths | RD Sharma Solutions for Class 9 Mathematics in the above equation, we get,

RD Sharma Solutions Ex-3.2, Rationalisation, Class 9, Maths | RD Sharma Solutions for Class 9 Mathematics


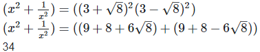
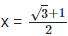
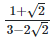
8. If x = 3 + RD Sharma Solutions Ex-3.2, Rationalisation, Class 9, Maths | RD Sharma Solutions for Class 9 Mathematics find the value of RD Sharma Solutions Ex-3.2, Rationalisation, Class 9, Maths | RD Sharma Solutions for Class 9 Mathematics

Solution:   Given, x = 3 +  RD Sharma Solutions Ex-3.2, Rationalisation, Class 9, Maths | RD Sharma Solutions for Class 9 Mathematics

To find the value of   RD Sharma Solutions Ex-3.2, Rationalisation, Class 9, Maths | RD Sharma Solutions for Class 9 Mathematics We have,  RD Sharma Solutions Ex-3.2, Rationalisation, Class 9, Maths | RD Sharma Solutions for Class 9 Mathematics

RD Sharma Solutions Ex-3.2, Rationalisation, Class 9, Maths | RD Sharma Solutions for Class 9 Mathematics

Rationalizing the denominator by multiplying both numerator and denominator with the rationalizing factor

RD Sharma Solutions Ex-3.2, Rationalisation, Class 9, Maths | RD Sharma Solutions for Class 9 Mathematics

RD Sharma Solutions Ex-3.2, Rationalisation, Class 9, Maths | RD Sharma Solutions for Class 9 Mathematics

Since, (a + b) (a - b) = (a2−b2)

RD Sharma Solutions Ex-3.2, Rationalisation, Class 9, Maths | RD Sharma Solutions for Class 9 Mathematics

RD Sharma Solutions Ex-3.2, Rationalisation, Class 9, Maths | RD Sharma Solutions for Class 9 Mathematics


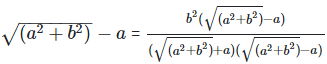
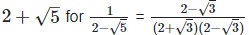
9. Find the value of RD Sharma Solutions Ex-3.2, Rationalisation, Class 9, Maths | RD Sharma Solutions for Class 9 Mathematics it being given that RD Sharma Solutions Ex-3.2, Rationalisation, Class 9, Maths | RD Sharma Solutions for Class 9 Mathematics = 1.732 and RD Sharma Solutions Ex-3.2, Rationalisation, Class 9, Maths | RD Sharma Solutions for Class 9 Mathematics= 2.236. 

Solution. Given,  RD Sharma Solutions Ex-3.2, Rationalisation, Class 9, Maths | RD Sharma Solutions for Class 9 Mathematics Rationalizing the denominator by multiplying both numerator and denominator with the rationalizing factor RD Sharma Solutions Ex-3.2, Rationalisation, Class 9, Maths | RD Sharma Solutions for Class 9 Mathematics

Since, (a + b) (a - b) = (a2−b2) = RD Sharma Solutions Ex-3.2, Rationalisation, Class 9, Maths | RD Sharma Solutions for Class 9 MathematicsRD Sharma Solutions Ex-3.2, Rationalisation, Class 9, Maths | RD Sharma Solutions for Class 9 Mathematics = 3(2.236+1.732) = 3(3.968) = 11.904 


10. Find the values of each of the following correct to three places of decimals, it being given that RD Sharma Solutions Ex-3.2, Rationalisation, Class 9, Maths | RD Sharma Solutions for Class 9 Mathematics = 1.414,RD Sharma Solutions Ex-3.2, Rationalisation, Class 9, Maths | RD Sharma Solutions for Class 9 Mathematics = 1.732,RD Sharma Solutions Ex-3.2, Rationalisation, Class 9, Maths | RD Sharma Solutions for Class 9 Mathematics = 2.236,RD Sharma Solutions Ex-3.2, Rationalisation, Class 9, Maths | RD Sharma Solutions for Class 9 Mathematics = 2.4495,RD Sharma Solutions Ex-3.2, Rationalisation, Class 9, Maths | RD Sharma Solutions for Class 9 Mathematics = 3.162

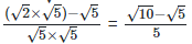
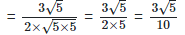
Solution. (i) RD Sharma Solutions Ex-3.2, Rationalisation, Class 9, Maths | RD Sharma Solutions for Class 9 Mathematics Rationalizing the denominator by multiplying both numerator and denominator with the rationalizing factor  RD Sharma Solutions Ex-3.2, Rationalisation, Class 9, Maths | RD Sharma Solutions for Class 9 MathematicsRD Sharma Solutions Ex-3.2, Rationalisation, Class 9, Maths | RD Sharma Solutions for Class 9 Mathematics

Since, (a + b) (a - b) = (a2−b2) =RD Sharma Solutions Ex-3.2, Rationalisation, Class 9, Maths | RD Sharma Solutions for Class 9 MathematicsRD Sharma Solutions Ex-3.2, Rationalisation, Class 9, Maths | RD Sharma Solutions for Class 9 MathematicsRD Sharma Solutions Ex-3.2, Rationalisation, Class 9, Maths | RD Sharma Solutions for Class 9 Mathematics

RD Sharma Solutions Ex-3.2, Rationalisation, Class 9, Maths | RD Sharma Solutions for Class 9 Mathematics

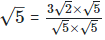
(ii) RD Sharma Solutions Ex-3.2, Rationalisation, Class 9, Maths | RD Sharma Solutions for Class 9 Mathematics Rationalizing the denominator by multiplying both numerator and denominator with the rationalizing factor  RD Sharma Solutions Ex-3.2, Rationalisation, Class 9, Maths | RD Sharma Solutions for Class 9 Mathematics

As we know, (a + b) (a - b) = (a2−b2) RD Sharma Solutions Ex-3.2, Rationalisation, Class 9, Maths | RD Sharma Solutions for Class 9 MathematicsRD Sharma Solutions Ex-3.2, Rationalisation, Class 9, Maths | RD Sharma Solutions for Class 9 Mathematics = 7 + 7.07 = 14.07 


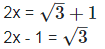
11. If x = RD Sharma Solutions Ex-3.2, Rationalisation, Class 9, Maths | RD Sharma Solutions for Class 9 Mathematics find the value of 4x3+2x2−8x+7.

Solution: Given, RD Sharma Solutions Ex-3.2, Rationalisation, Class 9, Maths | RD Sharma Solutions for Class 9 Mathematics 

and given to find the value of 4x3+2x2−8x+7

RD Sharma Solutions Ex-3.2, Rationalisation, Class 9, Maths | RD Sharma Solutions for Class 9 Mathematics

Now, squaring on both the sides, we get, (2x−1)2 = 3

4x2−4x+1 = 3

4x2−4x+1−3 = 0

4x2−4x−2 = 0

2x2−2x−1 = 0

Now taking 4x3+2x2−8x+7

2x(2x2−2x−1)+ 4x2+2x+2x2−8x+7

2x(2x2−2x−1)+ 6x2−6x+7

As, 2x2−2x−1=0

2x(0)+3(2x2−2x−1))+7+3

0+3(0)+10

10

The document RD Sharma Solutions Ex-3.2, Rationalisation, Class 9, Maths | RD Sharma Solutions for Class 9 Mathematics is a part of the Class 9 Course RD Sharma Solutions for Class 9 Mathematics.
All you need of Class 9 at this link: Class 9
91 docs
Related Searches

Class 9

,

shortcuts and tricks

,

pdf

,

MCQs

,

Semester Notes

,

Free

,

video lectures

,

Class 9

,

Exam

,

Previous Year Questions with Solutions

,

RD Sharma Solutions Ex-3.2

,

RD Sharma Solutions Ex-3.2

,

Maths | RD Sharma Solutions for Class 9 Mathematics

,

Maths | RD Sharma Solutions for Class 9 Mathematics

,

Extra Questions

,

practice quizzes

,

ppt

,

mock tests for examination

,

Important questions

,

Rationalisation

,

past year papers

,

Rationalisation

,

Objective type Questions

,

study material

,

Class 9

,

Maths | RD Sharma Solutions for Class 9 Mathematics

,

Viva Questions

,

Summary

,

RD Sharma Solutions Ex-3.2

,

Sample Paper

,

Rationalisation

;