Class 9 Exam  >  Class 9 Notes  >  RD Sharma Solutions for Class 9 Mathematics  >  RD Sharma Solutions Ex-4.2, Algebraic Identities, Class 9, Maths

RD Sharma Solutions Ex-4.2, Algebraic Identities, Class 9, Maths | RD Sharma Solutions for Class 9 Mathematics PDF Download

Question 1: Write the following in the expand form:

(i): (a+2b+c)2

(ii): (2a−3b−c)2

(iii): (−3x+y+z)2

(iv): (m+2n−5p)2

(v): (2+x−2y)2

(vi): (a2+b2+c2)2

(vii): (ab+bc+ca)2

RD Sharma Solutions Ex-4.2, Algebraic Identities, Class 9, Maths | RD Sharma Solutions for Class 9 Mathematics

(x): (x+2y+4z)2

(xi): (2x−y+z)2

(xii): (−2x+3y+2z)2

Solution 1(i):

We have,

(a+2b+c)2 = a2+(2b)2+c2+2a(2b)+2ac+2(2b)c

[?(x+y+z)2 = x2+y2+z2+2xy+2yz+2xz]

?(a+2b+c)2 = a2+4b2+c2+4ab+2ac+4bc

Solution 1(ii):

We have,

(2a−3b−c)= [(2a)+(−3b)+(−c)]2

(2a)2+(−3b)2+(−c)2+2(2a)(−3b)+2(−3b)(−c)+2(2a)(−c)

[?(x+y+z)2 = x2+y2+z2+2xy+2yz+2xz]

4a2+9b2+c2−12ab+6bc−4ca

? (2a-3b-c)= 4x2+9y2+c2-12ab+6bc-4ca

Solution 1(iii):

We have,

(−3x+y+z)2 = [(−3x)2+y2+z2+2(−3x)y+2yz+2(−3x)z

[?(x+y+z)2 = x2+y2+z2+2xy+2yz+2xz]

9x2+y2+z2−6xy+2yz−6xz

(−3x+y+z)2 = 9x2+y2+z2−6xy+2xy−6xy

Solution 1(iv):

We have,

(m+2n−5p)2 = m2+(2n)2+(−5p)2+2m×2n+(2×2n×−5p)+2m×−5p

[?(x+y+z)2 = x2+y2+z2+2xy+2yz+2xz]

(m+2n−5p)2 = m2+4n2+25p2+4mn−20np−10pm

Solution 1(v):

We have,

(2+x−2y)2 = 22+x2+(−2y)2+2(2)(x)+2(x)(−2y)+2(2)(−2y)

[?(x+y+z)2 = x2+y2+z2+2xy+2yz+2xz]

= 4+x2+4y2+4x−4xy−8y

(2+x−2y)2 = 4+x2+4y2+4x−4xy−8y

Solution 1(vi):

We have,

(a2+b2+c2)2 = (a2)2+(b2)2+(c2)2+2a2b2+2b2c2+2a2c2

[?(x+y+z)2 = x2+y2+z2+2xy+2yz+2xz]

(a2+b2+c2)2 = a4+b4+c4+2a2b2+2b2c2+2c2a2

Solution 1(vii):

We have,

(ab+bc+ca)2 = (ab)2+(bc)2+(ca)2+2(ab)(bc)+2(bc)(ca)+2(ab)(ca)

[?(x+y+z)2 = x2+y2+z2+2xy+2yz+2xz]

= a2b2+b2c2+c2a2+2(ac)b2+2(ab)(c)2+2(bc)(a)2

(ab+bc+ca)2 = a2b2+b2c2+c2a2+2acb2+2abc2+2bca2

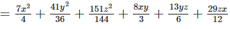
Solution 1(viii):

We have,

RD Sharma Solutions Ex-4.2, Algebraic Identities, Class 9, Maths | RD Sharma Solutions for Class 9 MathematicsRD Sharma Solutions Ex-4.2, Algebraic Identities, Class 9, Maths | RD Sharma Solutions for Class 9 Mathematics
RD Sharma Solutions Ex-4.2, Algebraic Identities, Class 9, Maths | RD Sharma Solutions for Class 9 MathematicsRD Sharma Solutions Ex-4.2, Algebraic Identities, Class 9, Maths | RD Sharma Solutions for Class 9 Mathematics
RD Sharma Solutions Ex-4.2, Algebraic Identities, Class 9, Maths | RD Sharma Solutions for Class 9 MathematicsRD Sharma Solutions Ex-4.2, Algebraic Identities, Class 9, Maths | RD Sharma Solutions for Class 9 Mathematics

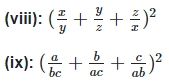
Solution 1(ix):

We have,

RD Sharma Solutions Ex-4.2, Algebraic Identities, Class 9, Maths | RD Sharma Solutions for Class 9 MathematicsRD Sharma Solutions Ex-4.2, Algebraic Identities, Class 9, Maths | RD Sharma Solutions for Class 9 Mathematics
RD Sharma Solutions Ex-4.2, Algebraic Identities, Class 9, Maths | RD Sharma Solutions for Class 9 Mathematics
RD Sharma Solutions Ex-4.2, Algebraic Identities, Class 9, Maths | RD Sharma Solutions for Class 9 MathematicsRD Sharma Solutions Ex-4.2, Algebraic Identities, Class 9, Maths | RD Sharma Solutions for Class 9 Mathematics

Solution 1(x):

We have,

We have,

(x+2y+4z)2 = x2+(2y)2+(4z)2+2x×2y+2×2y×4z+2x×4z

[?(x+y+z)2 = x2+y2+z2+2xy+2yz+2xz]

(x+2y+4z)2 = x2+4y2+16z2+4xy+16yz+8xz

Solution 1(xi):

We have,

(2x−y+z)2 = (2x)2+(−y)2+(z)2+2(2x)(−y)+2(−y)(z)+2(2x)(z)

[?(x+y+z)2 = x2+y2+z2+2xy+2yz+2xz]

(2x−y+z)2 = 4x2+y2+z2−4xy−2yz+4xz

Solution 1 (xii):

We have,

(−2x+3y+2z)2 = (−2x)2+(3y)2+(2z)2+2(−2x)(3y)+2(3y)(2z)+2(−2x)(2z)

[?(x+y+z)2 = x2+y2+z2+2xy+2yz+2xz]

(−4x+6y+4z)2 = 4x2+9y2+4z2−12xy+12yz−8xz

 

Question 2: Use algebraic identities to expand the following algebraic equations.

 Q 2.1: (a+b+c)2+(a−b+c)2

Ans : We have,

(a+b+c)2+(a−b+c)2 = (a2+b2+c2+2ab+2bc+2ca)+(a2+(−b)2+c2−2ab−2bc+2ca)

[?(x+y+z)2 = x2+y2+z2+2xy+2yz+2xz]

= 2a2+2b2+2c2+4ca

(a+b+c)2+(a−b+c)2 = 2a2+2b2+2c2+4ca

Q 2.2: (a+b+c)2−(a−b+c)2

Ans: We have,

(a+b+c)2−(a−b+c)= (a2+b2+c2+2ab+2bc+2ca)−(a2+(−b)2+c2−2ab−2bc+2ca)

[?(x+y+z)2 = x2+y2+z2+2xy+2yz+2xz]

= a2+b2+c2+2ab+2bc+2ca−a2−b2−c2+2ab+2bc−2ca)

= 4ab+4bc

(a+b+c)2−(a−b+c)= 4ab+4bc

Q 2.3: (a+b+c)2+(a+b−c)2+(a+b−c)2

Ans:  We have,

(a+b+c)2+(a+b−c)2+(a+b−c)= a2+b2+c2+2ab+2bc+2ca+(a2+b2+(z)2−2bc−2ab+2ca)+(a2+b2+c2−2ca−2bc+2ab)

[?(x+y+z)2 = x2+y2+z2+2xy+2yz+2xz]

= 3a2+3b2+3c2+2ab+2bc+2ca−2bc−2ab−2ca−2bc+2ab

= 3x2+3y2+3z2+2ab−2bc+2ca

(a+b+c)2+(a+b−c)2+(a−b+c)= 3a2+3b2+3c2+2ab−2bc+2ca

(a+b+c)2+(a+b−c)2+(a−b+c)= 3(a2+b2+c2)+2(ab−bc+ca)

Q 2.4: (2x+p−c)2−(2x−p+c)2

Ans: We have,

(2x+p−c)2−(2x−p+c)= [2x2+p2+(−c)2+2(2x)p+2p(−c)+2(2x)(−c)]−[4x2+(−p)2+c2+2(2x)(−p)+2c(−p)+2(2x)c]

[?(x+y+z)2 = x2+y2+z2+2xy+2yz+2xz]

(2x+p−c)2−(2x−p+c)2 = [4x2+p2+c2+4xp−2pc−4xc]−[4x2+p2+c2−4xp−2pc+4xc]

Opening the bracket,

(2x+p−c)2−(2x−p+c)2 = 4x2+p2+c2+4xp−2pc−4cx−4x2−p2−c2+4xp+2pc−4cx]

(2x+p−c)2−(2x−p+c)= 8xp−8xc

= 8x(p−c)

Hence, (2x+p−c)2−(2x−p+c)= 8x(p−c)

Q 2.5: (x2+y2+(−z)2)−(x2−y2+z2)2

Ans: We have,

(x2+y2+(−z)2)2−(x2(−y)2+z2)2

=[x4+y4+(−z)4+2x2y2+2y2(−z)2+2x2(−z)2]−[x4+(−y)4+z4−2x2y2−2y2z22+2x2z2]

[?(x+y+z)2 = x2+y2+z2+2xy+2yz+2xz]

Taking the negative sign inside,

= [x4+y4+(−z)4+2x2y2+2y2(−z)2+2x2(−z)2]−[x4+(−y)4+z4−2x2y2−2y2z2+2x2z2]

= 4x2y2–4z2x2

Hence, (x2+y2+(−z)2)2−(x2(−y)2+z2)= 4x2y2–4z2x2


Q3: If a+b+c = 0 and a2+b2+c2 = 16, find the value of ab+bc+ca:

Ans:  We know that,

[?(a+b+c)2 = a2+b2+c2+2ab+2bc+2ca]

(0)2 = 16+2(ab+bc+ca)

2(ab+bc+ca) = -16

ab+bc+ca = -8

Hence, value of required express ab+bc+ca =-8


Q4: If a2+b2+c2 = 16 and ab+bc+ca = 10, find the value of a+b+c?

Ans: We know that,

(a+b+c)2 = a2+b2+c2+2(ab+bc+ca)

(x+y+z)2 = 16+2(10)

RD Sharma Solutions Ex-4.2, Algebraic Identities, Class 9, Maths | RD Sharma Solutions for Class 9 Mathematics

Hence, value of required expression I; (a+b+c)=±8

Q5: If a+b+c = 9 and ab+bc+ca = 23, find value of a2+b2+c2

Ans: We know that,

(a+b+c)2 = a2+b2+c2+2(ab+bc+ca)

92 = a2+b2+c2+2(23)

81 = a2+b2+c2+46

a2+b2+c2 = 81−46

a2+b2+c2 = 35

Hence, value of required expression a2+b2+c2 = 35


Q6: Find the value of the equation : 4x2+y2+25z2+4xy−10yz−20zx when x = 4,y = 3,z = 2

Ans: 4x2+y2+25z2+4xy−10yz−20zx

(2x)2+y2+(−5z)2+2(2x)(y)+2(y)(−5z)+2(−5z)(2x)

(2x+y−5z)2

(2(4)+3−5(2))2

(8+3−10)2

(1)2

1

Hence value of the equation is equals to 1


Q7: Simplify each of the following expressions:

Q 7.1: RD Sharma Solutions Ex-4.2, Algebraic Identities, Class 9, Maths | RD Sharma Solutions for Class 9 Mathematics

Ans: Expanding, we get

RD Sharma Solutions Ex-4.2, Algebraic Identities, Class 9, Maths | RD Sharma Solutions for Class 9 MathematicsRD Sharma Solutions Ex-4.2, Algebraic Identities, Class 9, Maths | RD Sharma Solutions for Class 9 MathematicsRD Sharma Solutions Ex-4.2, Algebraic Identities, Class 9, Maths | RD Sharma Solutions for Class 9 MathematicsRD Sharma Solutions Ex-4.2, Algebraic Identities, Class 9, Maths | RD Sharma Solutions for Class 9 Mathematics

RD Sharma Solutions Ex-4.2, Algebraic Identities, Class 9, Maths | RD Sharma Solutions for Class 9 MathematicsRD Sharma Solutions Ex-4.2, Algebraic Identities, Class 9, Maths | RD Sharma Solutions for Class 9 MathematicsRD Sharma Solutions Ex-4.2, Algebraic Identities, Class 9, Maths | RD Sharma Solutions for Class 9 Mathematics

Rearranging coefficients ,

RD Sharma Solutions Ex-4.2, Algebraic Identities, Class 9, Maths | RD Sharma Solutions for Class 9 MathematicsRD Sharma Solutions Ex-4.2, Algebraic Identities, Class 9, Maths | RD Sharma Solutions for Class 9 Mathematics

RD Sharma Solutions Ex-4.2, Algebraic Identities, Class 9, Maths | RD Sharma Solutions for Class 9 Mathematics

RD Sharma Solutions Ex-4.2, Algebraic Identities, Class 9, Maths | RD Sharma Solutions for Class 9 MathematicsRD Sharma Solutions Ex-4.2, Algebraic Identities, Class 9, Maths | RD Sharma Solutions for Class 9 Mathematics

Q 7.2: (x+y−2z)2−x2−y2−3z2+4xy

Ans:  (x+y−2z)2−x2−y2−3z2+4xy

= [x2+y2+4z2+2xy+2y(−2z)+2a(−2c)]−x2−y2−3z2+4xy

= z2+6xy−4yz−4zx

(x+y−2z)2−x2−y2−3z2+4xy = z2+6xy−4yz−4zx


Q 7.3: [x2−x+1]2−[x2+x+1]2

Ans:  [x2−x+1]2−[x2+x+1]2

=(x2)2+(−x)2+12+2(x2)(−x)+2(−x)(1)+2x2)−[(x2)2+x2+1+2x2x+2x(1)+2x2(1)]

[?(x+y+z)2 = x2+y2+z2+2xy+2yz+2xz]

= x4+y2+1−2x3−2x+2x2−x2−x4−1−2x3−2x−2x2

= −4x3−4x

= −4x(x2+1)

Hence simplified equation = [x2−x+1]2−[x2+x+1]2 = −4x(x2+1)

The document RD Sharma Solutions Ex-4.2, Algebraic Identities, Class 9, Maths | RD Sharma Solutions for Class 9 Mathematics is a part of the Class 9 Course RD Sharma Solutions for Class 9 Mathematics.
All you need of Class 9 at this link: Class 9
91 docs

FAQs on RD Sharma Solutions Ex-4.2, Algebraic Identities, Class 9, Maths - RD Sharma Solutions for Class 9 Mathematics

1. What are algebraic identities?
Ans. Algebraic identities are mathematical expressions that remain true for any values of the variables involved. They are used to simplify and solve algebraic equations.
2. What are some common algebraic identities used in Class 9 Maths?
Ans. Some common algebraic identities used in Class 9 Maths are: - (a + b)^2 = a^2 + 2ab + b^2 - (a - b)^2 = a^2 - 2ab + b^2 - a^2 - b^2 = (a + b)(a - b) - (a + b + c)^2 = a^2 + b^2 + c^2 + 2ab + 2ac + 2bc - (a + b)^3 = a^3 + 3a^2b + 3ab^2 + b^3
3. How can algebraic identities be used to simplify expressions?
Ans. Algebraic identities can be used to simplify expressions by replacing complex expressions with simpler ones. By applying the appropriate identity, we can expand or factorize expressions, making them easier to manipulate and solve.
4. Are algebraic identities only applicable in algebra?
Ans. No, algebraic identities are not only applicable in algebra. They have applications in various mathematical fields, such as geometry, calculus, and number theory. They are used to simplify equations, prove theorems, and solve problems in these areas.
5. Can algebraic identities be used to solve real-life problems?
Ans. Yes, algebraic identities can be used to solve real-life problems. They provide a framework for representing and manipulating mathematical relationships, which can be applied to various real-world scenarios. For example, they can be used to solve problems in physics, economics, and engineering by modeling the relationships between variables and finding solutions analytically.
Related Searches

RD Sharma Solutions Ex-4.2

,

Important questions

,

past year papers

,

Algebraic Identities

,

Sample Paper

,

Algebraic Identities

,

Class 9

,

Class 9

,

video lectures

,

Maths | RD Sharma Solutions for Class 9 Mathematics

,

Extra Questions

,

Objective type Questions

,

Maths | RD Sharma Solutions for Class 9 Mathematics

,

Exam

,

RD Sharma Solutions Ex-4.2

,

Previous Year Questions with Solutions

,

mock tests for examination

,

Summary

,

shortcuts and tricks

,

RD Sharma Solutions Ex-4.2

,

MCQs

,

Class 9

,

ppt

,

Semester Notes

,

Viva Questions

,

pdf

,

Algebraic Identities

,

Maths | RD Sharma Solutions for Class 9 Mathematics

,

study material

,

practice quizzes

,

Free

;