Class 9 Exam  >  Class 9 Notes  >  RD Sharma Solutions for Class 9 Mathematics  >  RD Sharma Solutions Ex-6.1, Factorization Of Polynomials, Class 9, Maths

RD Sharma Solutions Ex-6.1, Factorization Of Polynomials, Class 9, Maths | RD Sharma Solutions for Class 9 Mathematics PDF Download

Q1. Which of the following expressions are polynomials in one variable and which are not?

1. 3x2–4x+15
2. y2+2√3
3. 3√x+√2x
4. RD Sharma Solutions Ex-6.1, Factorization Of Polynomials, Class 9, Maths | RD Sharma Solutions for Class 9 Mathematics
5. x12+y2+t50

Sol :

1. 3x2–4x+15 – it is a polynomial of x

2. y2+2√3 – it is a polynomial of y

3. 3√x+√2x – it is not a polynomial since the exponent of 3√x is not a positive term

4.  RD Sharma Solutions Ex-6.1, Factorization Of Polynomials, Class 9, Maths | RD Sharma Solutions for Class 9 Mathematics it is not a polynomial since the exponent of RD Sharma Solutions Ex-6.1, Factorization Of Polynomials, Class 9, Maths | RD Sharma Solutions for Class 9 Mathematics is not a positive term

5. x12+y2+t50 – it is a three variable polynomial which variables of x, y, t


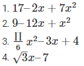
Q2. Write the coefficients of x2 in each of the following

RD Sharma Solutions Ex-6.1, Factorization Of Polynomials, Class 9, Maths | RD Sharma Solutions for Class 9 Mathematics

Sol :

Given , to find the coefficients of x2

1. 17–2x+7x2 – the coefficient is 7

2. 9–12x+x2 – the coefficient is 0

3.  RD Sharma Solutions Ex-6.1, Factorization Of Polynomials, Class 9, Maths | RD Sharma Solutions for Class 9 Mathematics the coefficient is RD Sharma Solutions Ex-6.1, Factorization Of Polynomials, Class 9, Maths | RD Sharma Solutions for Class 9 Mathematics

4. RD Sharma Solutions Ex-6.1, Factorization Of Polynomials, Class 9, Maths | RD Sharma Solutions for Class 9 Mathematics the coefficient is 0


Q3. Write the degrees of each of the following polynomials :

1. 7x3+4x2–3x+12
2. 12–x+2x2
3. 5y–√2
4. 7−7x0
5. 0

Sol :

Given , to find degrees of the polynomials

Degree is highest power in the polynomial

1. 7x3+4x2–3x+12 – the degree is 3

2. 12–x+2x3 – the degree is 3

3. 5y–√2 – the degree is 1

4. 7−7x0 – the degree is 0

5. 0 – the degree of 0 is not defined


Q4. Classify the following polynomials as linear, quadratic, cuboc and biquadratic polynomials :

1. x+x2+4
2. 3x – 2
3. 2x+x2
4. 3y
5. t2+1

f . 7t4+4t2+3t–2

Sol :

Given

1. x+x2+4 – it is a quadratic polynomial as its degree is 2

2. 3x – 2 – it is a linear polynomial as its degree is 1

3. 2x+x2 – it is a quadratic polynomial as its degree is 2

4. 3y – it is a linear polynomial as its degree is 1

5. t2+1 – it is a quadratic polynomial as its degree is 2

f . 7t4+4t2+3t–2 – it is a bi- quadratic polynomial as its degree is 4


Q5. Classify the following polynomials as polynomials in one variables, two – variables etc :

1. x2–xy+7y2
2. x2–2tx+7t2–x+t
3. t3–3t2+4t–5
4. xy + yz + zx

Sol :

Given

1. x2–xy+7y2 – it is a polynomial in two variables x and y

2. x2–2tx+7t2–x+t – it is a polynomial in two variables x and t

3. t3–3t2+4t–5– it is a polynomial in one variable t

4. xy+yz+zx – it is a polynomial in 3 variables in x , y and z


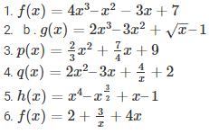
Q6. Identify the polynomials in the following :

RD Sharma Solutions Ex-6.1, Factorization Of Polynomials, Class 9, Maths | RD Sharma Solutions for Class 9 Mathematics

Sol :

Given

1. f(x) = 4x3–x2−3x+7 – it is a polynomial

2. b. g(x) = 2x3–3x2+√x–1 – it is not a polynomial since the exponent of √x is a negative integer

3.  RD Sharma Solutions Ex-6.1, Factorization Of Polynomials, Class 9, Maths | RD Sharma Solutions for Class 9 Mathematics it is a polynomial as it has positive integers as exponents 

4.  RD Sharma Solutions Ex-6.1, Factorization Of Polynomials, Class 9, Maths | RD Sharma Solutions for Class 9 Mathematics it is not a polynomial since the exponent of 4/x is a negative integer

5. RD Sharma Solutions Ex-6.1, Factorization Of Polynomials, Class 9, Maths | RD Sharma Solutions for Class 9 Mathematics it is not a polynomial since the exponent of RD Sharma Solutions Ex-6.1, Factorization Of Polynomials, Class 9, Maths | RD Sharma Solutions for Class 9 Mathematics  is a negative integer 

6.  RD Sharma Solutions Ex-6.1, Factorization Of Polynomials, Class 9, Maths | RD Sharma Solutions for Class 9 Mathematics it is not a polynomial since the exponent of 3/x is a negative integer


Q7. Identify constant , linear , quadratic abd cubic polynomial from the following polynomials :

1. f(x) = 0
2. g(x) = 2x3–7x+4
3. RD Sharma Solutions Ex-6.1, Factorization Of Polynomials, Class 9, Maths | RD Sharma Solutions for Class 9 Mathematics
4. p(x) = 2x2–x+4
5. q(x) = 4x+3
6. r(x) = 3x3+4x2+5x–7

Sol :

Given ,

1. f(x) = 0 – as 0 is constant , it is a constant variable

2. g(x) = 2x3–7x+4 – since the degree is 3 , it is a cubic polynomial

3. RD Sharma Solutions Ex-6.1, Factorization Of Polynomials, Class 9, Maths | RD Sharma Solutions for Class 9 Mathematics – since the degree is 1 , it is a linear polynomial

4. p(x) = 2x2–x+4 – since the degree is 2 , it is a quadratic polynomial

5. q(x) = 4x+3 – since the degree is 1 , it is a linear polynomial

6. r(x) = 3x3+4x2+5x–7 – since the degree is 3 , it is a cubic polynomial


Q8. Give one example each of a binomial of degree 25, and of a monomial of degree 100

Sol :

Given , to write the examples for binomial and monomial with the given degrees

Example of a binomial with degree 25 – 7x35–5

Example of a monomial with degree 100 – 2t100

The document RD Sharma Solutions Ex-6.1, Factorization Of Polynomials, Class 9, Maths | RD Sharma Solutions for Class 9 Mathematics is a part of the Class 9 Course RD Sharma Solutions for Class 9 Mathematics.
All you need of Class 9 at this link: Class 9
91 docs

FAQs on RD Sharma Solutions Ex-6.1, Factorization Of Polynomials, Class 9, Maths - RD Sharma Solutions for Class 9 Mathematics

1. How do I factorize a polynomial?
Ans. To factorize a polynomial, you can use various methods such as grouping, common factors, difference of squares, and quadratic formula. The specific method you should use depends on the type of polynomial you are dealing with. For example, if the polynomial has a common factor, you can factor it out and then proceed with further factorization. Similarly, if the polynomial is a quadratic expression, you can use the quadratic formula or try to factor it as the difference of squares.
2. Can all polynomials be factorized?
Ans. No, not all polynomials can be factorized. Some polynomials, especially those with prime numbers or irreducible quadratic expressions, cannot be further factorized into simpler polynomials. However, most polynomials can be factorized using appropriate methods.
3. Is there a general formula for factorizing polynomials?
Ans. Unlike quadratic equations, there is no general formula for factorizing polynomials. Factorization of polynomials depends on various factors such as the degree of the polynomial, the presence of common factors, and the specific terms of the polynomial. Hence, different methods need to be applied based on the characteristics of the polynomial to be factorized.
4. What is the importance of factorizing polynomials?
Ans. Factorizing polynomials is important for several reasons. Firstly, it helps us simplify complex expressions by breaking them down into simpler factors. This simplification allows us to perform calculations more easily. Secondly, factorization helps us find the roots or zeros of a polynomial, which are the values that make the polynomial equal to zero. These roots have significant applications in various mathematical and scientific problems.
5. Can factorization of polynomials be used in real-life situations?
Ans. Yes, factorization of polynomials has practical applications in real-life situations. For example, in finance and economics, factorization is used to analyze complex financial equations and models. In engineering, factorization is used to solve problems related to mechanics, electricity, and control systems. Furthermore, factorization is also employed in cryptography and data encryption techniques for secure communication. Thus, factorization plays a crucial role in various fields beyond mathematics.
Related Searches

Summary

,

study material

,

Factorization Of Polynomials

,

video lectures

,

Maths | RD Sharma Solutions for Class 9 Mathematics

,

RD Sharma Solutions Ex-6.1

,

Viva Questions

,

Previous Year Questions with Solutions

,

Maths | RD Sharma Solutions for Class 9 Mathematics

,

shortcuts and tricks

,

Class 9

,

past year papers

,

Factorization Of Polynomials

,

Important questions

,

ppt

,

Extra Questions

,

mock tests for examination

,

Objective type Questions

,

pdf

,

Class 9

,

Factorization Of Polynomials

,

RD Sharma Solutions Ex-6.1

,

Free

,

Class 9

,

RD Sharma Solutions Ex-6.1

,

Sample Paper

,

Maths | RD Sharma Solutions for Class 9 Mathematics

,

Semester Notes

,

practice quizzes

,

Exam

,

MCQs

;