Class 9 Exam  >  Class 9 Notes  >  RD Sharma Solutions for Class 9 Mathematics  >  RD Sharma Solutions Ex-6.3, Factorization Of Polynomials, Class 9, Maths

RD Sharma Solutions Ex-6.3, Factorization Of Polynomials, Class 9, Maths | RD Sharma Solutions for Class 9 Mathematics PDF Download

In each of the following , using the remainder theorem, find the remainder when f(x) is divided by  g(x) and verify the by actual division : (1 – 8)

Q1. f(x) = x3+4x2–3x+10 , g(x) = x + 4

Sol :

Here,  f(x) = x3+4x2–3x+10

g(x) = x + 4

from, the remainder theorem when f(x) is divided by g(x) = x – (-4)  the remainder will be equal to f(-4)

Let , g(x) = 0

⇒ x + 4 = 0

⇒ x = -4

Substitute the value of x in f(x)

f(-4) = (−4)3+4(−4)2–3(−4)+10

= -64 + ( 4 * 16) + 12 + 10

= -64 + 64 + 12 + 10

= 12 + 10

= 22

Therefore, the remainder is 22


Q2. f(x) = 4x4–3x3–2x2+x–7 , g(x) = x – 1

Sol :

Here, f(x) = 4x4–3x3–2x2+x–7

g(x) = x – 1

from, the remainder theorem when f(x) is divided by g(x) = x – (-1) the remainder will be equal to f(1)

Let , g(x) = 0

⇒ x – 1 = 0

⇒ x = 1

Substitute the value of x in f(x)

f(1) = 4(1)4–3(1)3–2(1)2+1–7

= 4 – 3 – 2 + 1 – 7

= 5 – 12

= -7

Therefore, the remainder is 7


Q3. f(x) = 2x4–6x3+2x2–x+2 , g(x) = x + 2

Sol :

Here, f(x) = 2x4–6x3+2x2–x+2

g(x) = x + 2

from, the remainder theorem when f(x) is divided by g(x) = x – (-2) the remainder will be equal to f(-2)

Let , g(x) = 0

⇒ x + 2 = 0

⇒ x = -2

Substitute the value of x in f(x)

f(-2) = 2(−2)4–6(−2)3+2(−2)2–(−2)+2

= (2 * 16) – (6 * (-8)) + (2 * 4) + 2 + 2

= 32 + 48 + 8 + 2 + 2

= 92

Therefore, the remainder is 92


Q4. f(x) = 4x3–12x2+14x–3 , g(x) = 2x – 1

Sol:

Here, f(x) = 4x3–12x2+14x–3

g(x) = 2x – 1

from, the remainder theorem when f(x) is divided by g(x) =RD Sharma Solutions Ex-6.3, Factorization Of Polynomials, Class 9, Maths | RD Sharma Solutions for Class 9 Mathematics the remainder is equal to f(1/2)

Let , g(x) = 0

⇒ 2x – 1 = 0

⇒ 2x = 1

⇒ x = 1/2

Substitute the value of x in f(x)

RD Sharma Solutions Ex-6.3, Factorization Of Polynomials, Class 9, Maths | RD Sharma Solutions for Class 9 Mathematics
RD Sharma Solutions Ex-6.3, Factorization Of Polynomials, Class 9, Maths | RD Sharma Solutions for Class 9 Mathematics
Taking L.C.M

RD Sharma Solutions Ex-6.3, Factorization Of Polynomials, Class 9, Maths | RD Sharma Solutions for Class 9 Mathematics
Therefore, the remainder is  RD Sharma Solutions Ex-6.3, Factorization Of Polynomials, Class 9, Maths | RD Sharma Solutions for Class 9 Mathematics


Q5. f(x) = x3–6x2+2x–4 , g(x) = 1 – 2x

Sol :

Here, f(x) = x3–6x2+2x–4

g(x) = 1 – 2x

from, the remainder theorem when f(x) is divided by g(x) = -RD Sharma Solutions Ex-6.3, Factorization Of Polynomials, Class 9, Maths | RD Sharma Solutions for Class 9 Mathematics the remainder is equal to f(1/2)

Let , g(x) = 0

⇒ 1 – 2x  = 0

⇒ -2x = -1

⇒ 2x = 1

⇒ x = 1/2

Substitute the value of x in f(x)

RD Sharma Solutions Ex-6.3, Factorization Of Polynomials, Class 9, Maths | RD Sharma Solutions for Class 9 Mathematics

Taking L.C.M

RD Sharma Solutions Ex-6.3, Factorization Of Polynomials, Class 9, Maths | RD Sharma Solutions for Class 9 Mathematics

Therefore, the remainder is RD Sharma Solutions Ex-6.3, Factorization Of Polynomials, Class 9, Maths | RD Sharma Solutions for Class 9 Mathematics


Q6. f(x) = x4–3x2+4 , g(x) = x – 2

Sol :

Here, f(x) = x4–3x2+4

g(x) = x – 2

from, the remainder theorem when f(x) is divided by g(x) = x – 2 the remainder will be equal to f(2)

let , g(x) = 0

⇒ x – 2 = 0

⇒ x = 2

Substitute the value of x in f(x)

f(2) = 24–3(2)2+4

= 16 – (3* 4) + 4

= 16 – 12 + 4

= 20 – 12

= 8

Therefore, the remainder is 8


Q7. f(x) = 9x3–3x2+x–5 , g(x) RD Sharma Solutions Ex-6.3, Factorization Of Polynomials, Class 9, Maths | RD Sharma Solutions for Class 9 Mathematics

Sol :

Here, f(x) = 9x3–3x2+x–5

g(x) = RD Sharma Solutions Ex-6.3, Factorization Of Polynomials, Class 9, Maths | RD Sharma Solutions for Class 9 Mathematics

from, the remainder theorem when f(x) is divided by g(x) =  RD Sharma Solutions Ex-6.3, Factorization Of Polynomials, Class 9, Maths | RD Sharma Solutions for Class 9 Mathematics the remainder will be equal to f(1/2) substitute the value of x in f(x)

RD Sharma Solutions Ex-6.3, Factorization Of Polynomials, Class 9, Maths | RD Sharma Solutions for Class 9 Mathematics
RD Sharma Solutions Ex-6.3, Factorization Of Polynomials, Class 9, Maths | RD Sharma Solutions for Class 9 Mathematics

Therefore, the remainder is -3


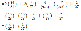
Q8.  RD Sharma Solutions Ex-6.3, Factorization Of Polynomials, Class 9, Maths | RD Sharma Solutions for Class 9 Mathematics

Sol :

RD Sharma Solutions Ex-6.3, Factorization Of Polynomials, Class 9, Maths | RD Sharma Solutions for Class 9 Mathematics

RD Sharma Solutions Ex-6.3, Factorization Of Polynomials, Class 9, Maths | RD Sharma Solutions for Class 9 Mathematics

from remainder theorem when f(x) is divided by g(x) RD Sharma Solutions Ex-6.3, Factorization Of Polynomials, Class 9, Maths | RD Sharma Solutions for Class 9 Mathematics the remainder is equal to  RD Sharma Solutions Ex-6.3, Factorization Of Polynomials, Class 9, Maths | RD Sharma Solutions for Class 9 Mathematics substitute the value of x in f(x)

RD Sharma Solutions Ex-6.3, Factorization Of Polynomials, Class 9, Maths | RD Sharma Solutions for Class 9 Mathematics
RD Sharma Solutions Ex-6.3, Factorization Of Polynomials, Class 9, Maths | RD Sharma Solutions for Class 9 Mathematics

= 0

Therefore, the remainder is 0


Q9. If the polynomial 2x3+ax2+3x–5 and x3+x2–4x+a leave the same remainder when divided by x – 2 , Find the value of a

Sol :

Given , the polymials are

f(x) = 2x3+ax2+3x–5

p(x) = x3+x2–4x+a

The remainders are f(2) and p(2) when f(x) and p(x) are divided by x – 2

We know that,

f(2) = p(2)   (given in problem)

we need to  calculate f(2) and p(2)

for, f(2)

substitute (x = 2) in f(x)

f(2) =  2(2)3+a(2)2+3(2)–5

= (2 * 8) + a4 + 6 – 5

= 16 + 4a + 1

= 4a + 17 ——- 1

for, p(2)

substitute (x = 2) in p(x)

p(2) = 23+22–4(2)+a

= 8 + 4 – 8 + a

= 4 + a  ——— 2

Since, f(2) = p(2)

Equate eqn 1 and 2

⇒ 4a + 17 = 4 + a

⇒ 4a – a = 4 – 17

⇒ 3a = -13

⇒  RD Sharma Solutions Ex-6.3, Factorization Of Polynomials, Class 9, Maths | RD Sharma Solutions for Class 9 Mathematics


Q10. If polynomials ax3+3x2–3 and 2x3–5x+a when divided by (x – 4) leave the remainders as Rand R2 respectively. Find the values of a in each of the following cases, if

1. R1 = R2
 2. R1+R2 = 0
 3. 2R1–R2 = 0

Sol :

Here, the polynomials are

f(x) = ax3+3x2–3

p(x) = 2x3–5x+a

let,

R1 is the remainder when f(x) is divided by x – 4

⇒  R1 = f(4)

⇒ R1 = a(4)3+3(4)2–3

= 64a + 48 – 3

= 64a + 45               ——— 1

Now , let

R2 is the remainder when p(x) is divided by x – 4

⇒ R2 = p(4)

⇒ R2 = 2(4)3–5(4)+a

= 128 – 20 + a

= 108 + a    ——– 2

1. Given , R1 = R2

⇒ 64a + 45 = 108 + a

⇒ 63a = 63

⇒ a = 1

2. Given, R1+R2 = 0

⇒ 64a + 45 + 108 + a = 0

⇒ 65a + 153 = 0

⇒  RD Sharma Solutions Ex-6.3, Factorization Of Polynomials, Class 9, Maths | RD Sharma Solutions for Class 9 Mathematics

3.Given, 2R1–R2 = 0

⇒ 2(64a + 45) – 108 – a = 0

⇒ 128a + 90 – 108 – a = 0

⇒ 127a – 18 = 0

⇒  a = 18/127


Q11. If the polynomials ax3+3x2–13 and 2x3–5x+a when divided by (x – 2) leave the same remainder, Find the value of a

Sol :

Here , the polynomials are

f(x) =  ax3+3x2–13

p(x) = 2x3–5x+a

equate , x – 2 = 0

x = 2

substitute the value of x in f(x) and p(x)

f(2) = (2)3+3(2)2–13

= 8a + 12 – 13

= 8a – 1            ———- 1

p(2) = 2(2)3–5(2)+a

= 16 – 10 + a

= 6 + a               ———– 2

f(2) = p(2)

⇒ 8a – 1 = 6 + a

⇒ 8a – a = 6 + 1

⇒ 7a = 7

⇒ a = 1

The value of a = 1


Q12. Find the remainder when x3+3x3+3x+1 is divided by,

1. x + 1
 2. RD Sharma Solutions Ex-6.3, Factorization Of Polynomials, Class 9, Maths | RD Sharma Solutions for Class 9 Mathematics
 3. x
 4. x + π
 5. 5 + 2x

Sol :

Here, f(x) =  x3+3x2+3x+1

by remainder theorem

1. ⇒ x + 1 = 0

⇒ x = -1

substitute the value of x in f(x)

f(-1) = (−1)3+3(−1)2+3(−1)+1

= -1  + 3 – 3 + 1

= 0

RD Sharma Solutions Ex-6.3, Factorization Of Polynomials, Class 9, Maths | RD Sharma Solutions for Class 9 Mathematics

Here, f(x) =  x3+3x2+3x+1

By remainder theorem

⇒ RD Sharma Solutions Ex-6.3, Factorization Of Polynomials, Class 9, Maths | RD Sharma Solutions for Class 9 Mathematics

⇒  RD Sharma Solutions Ex-6.3, Factorization Of Polynomials, Class 9, Maths | RD Sharma Solutions for Class 9 Mathematics

substitute the value of x in f(x)

RD Sharma Solutions Ex-6.3, Factorization Of Polynomials, Class 9, Maths | RD Sharma Solutions for Class 9 Mathematics

= 27/8

3. x

Sol :

Here, f(x) =  x3+3x2+3x+1

by remainder theorem

⇒ x = 0

substitute the value of x in f(x)

f(0) =  03+3(0)2+3(0)+1

= 0 + 0 + 0 + 1

= 1

4. x + π

Sol :

Here, f(x) =  x3+3x2+3x+1

by remainder theorem

⇒ x + π = 0

⇒ x =  -π

Substitute the value of x in f(x)

f(-π) =  (−π)3+3(−π)2+3(−π)+1

= –(π)3+3(π)2–3(π)+1

5. 5 + 2x

Sol :

Here, f(x) =  x3+3x2+3x+1

by remainder theorem

5 + 2x = 0

2x = -5

x = -5/2

substitute the value of x in f(x)

RD Sharma Solutions Ex-6.3, Factorization Of Polynomials, Class 9, Maths | RD Sharma Solutions for Class 9 Mathematics

Taking L.C.M

RD Sharma Solutions Ex-6.3, Factorization Of Polynomials, Class 9, Maths | RD Sharma Solutions for Class 9 Mathematics

The document RD Sharma Solutions Ex-6.3, Factorization Of Polynomials, Class 9, Maths | RD Sharma Solutions for Class 9 Mathematics is a part of the Class 9 Course RD Sharma Solutions for Class 9 Mathematics.
All you need of Class 9 at this link: Class 9
91 docs

FAQs on RD Sharma Solutions Ex-6.3, Factorization Of Polynomials, Class 9, Maths - RD Sharma Solutions for Class 9 Mathematics

1. What is the importance of factorization of polynomials in mathematics?
Ans. Factorization of polynomials is important in mathematics as it helps in simplifying complex expressions and solving polynomial equations. It allows us to break down a polynomial into its factors, making it easier to understand and manipulate in various mathematical operations.
2. How can factorization of polynomials be used to solve real-world problems?
Ans. Factorization of polynomials can be used to solve real-world problems by representing the problem in the form of a polynomial equation and then factoring it to find the solutions. For example, it can be used to solve problems related to area, perimeter, volume, and other geometric or algebraic concepts.
3. What are the methods used for factorization of polynomials?
Ans. There are several methods used for factorization of polynomials, including: - Factorization by grouping: This method involves grouping the terms of a polynomial in a way that allows common factors to be factored out. - Factorization using common factors: This method involves identifying common factors among the terms of a polynomial and factoring them out. - Factorization by trial and error: This method involves trying different factor combinations to find the factors of a polynomial. - Factorization using special identities: This method involves using special identities such as the difference of squares, perfect square trinomials, and the sum/difference of cubes to factorize polynomials.
4. Can all polynomials be factored completely?
Ans. No, not all polynomials can be factored completely. Some polynomials may have factors that cannot be factored further, while others may have factors that can be factored but still leave a non-factorable expression. However, there are certain types of polynomials, such as quadratic trinomials and perfect square trinomials, that can always be factored completely.
5. How does factorization of polynomials relate to finding the roots of a polynomial equation?
Ans. The factorization of a polynomial can help in finding the roots of a polynomial equation. Once a polynomial is factored, the roots can be determined by setting each factor equal to zero and solving for the variables. This is because the roots of a polynomial equation are the values of the variables that make the polynomial equal to zero. Therefore, factorizing a polynomial can provide valuable information about its roots and help in solving polynomial equations.
Related Searches

shortcuts and tricks

,

study material

,

Maths | RD Sharma Solutions for Class 9 Mathematics

,

Important questions

,

MCQs

,

video lectures

,

Class 9

,

ppt

,

RD Sharma Solutions Ex-6.3

,

Factorization Of Polynomials

,

RD Sharma Solutions Ex-6.3

,

Extra Questions

,

Semester Notes

,

Free

,

Exam

,

Class 9

,

Factorization Of Polynomials

,

RD Sharma Solutions Ex-6.3

,

Sample Paper

,

Maths | RD Sharma Solutions for Class 9 Mathematics

,

Class 9

,

Factorization Of Polynomials

,

mock tests for examination

,

Previous Year Questions with Solutions

,

pdf

,

Viva Questions

,

practice quizzes

,

Maths | RD Sharma Solutions for Class 9 Mathematics

,

Summary

,

past year papers

,

Objective type Questions

;