Class 9 Exam  >  Class 9 Notes  >  Mathematics (Maths) Class 9  >  RD Sharma Solutions: Exponents of Real Numbers- 1

Exponents of Real Numbers- 1 RD Sharma Solutions | Mathematics (Maths) Class 9 PDF Download

RD Sharma Solutions Exercise 2.1 Exponents Of Real Numbers

Q.1. Simplify the following:

(i) 3(a4b3)10 × 5(a2b2)3

(ii) (2x−2y3)3

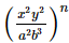
(iii)Exponents of Real Numbers- 1 RD Sharma Solutions | Mathematics (Maths) Class 9

(iv)Exponents of Real Numbers- 1 RD Sharma Solutions | Mathematics (Maths) Class 9

(v)Exponents of Real Numbers- 1 RD Sharma Solutions | Mathematics (Maths) Class 9

(vi)Exponents of Real Numbers- 1 RD Sharma Solutions | Mathematics (Maths) Class 9

Proof: (i)

3(a4b3)10×5(a2b2)3

=3×a40×b30×5×a6×b6

=15×a40×a6×b30×b6

=15×a40+6×b30+6              [am×an=am+n]

=15a46b36

(ii)

(2x−2y3)3

=23×(x−2)3×(y3)3

=8×x−6×y9

=8x−6y9

(iii)

Exponents of Real Numbers- 1 RD Sharma Solutions | Mathematics (Maths) Class 9

=3×102+(−4)

=3×10−2

=Exponents of Real Numbers- 1 RD Sharma Solutions | Mathematics (Maths) Class 9

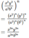
(iv)


Exponents of Real Numbers- 1 RD Sharma Solutions | Mathematics (Maths) Class 9

=−2×a2×b5×a−2×b−2
=−2×a2+(−2)×b5+(−2)

=−2×a0×b3

=−2b3

(v)

Exponents of Real Numbers- 1 RD Sharma Solutions | Mathematics (Maths) Class 9

(vi)

Exponents of Real Numbers- 1 RD Sharma Solutions | Mathematics (Maths) Class 9

=a(18n−54)×a−(2n−4)

=a18n−54×a−2n+4

=a18n−54−2n+4

=a16n−50


Q.2. If a=3 and b=−2, find the values of:

(i) aa+bb

(ii) ab+ba

(iii) (a+b)ab

Proof: (i) aa+bb

Here, a=3 and b=−2.

Put the values in the expression aa+bb.

33+(−2)−2

=27+1/(−2)2

=27+1/4

=108+1/4

=Exponents of Real Numbers- 1 RD Sharma Solutions | Mathematics (Maths) Class 9

(ii) ab+ba

Here, a=3 and b=−2.

Put the values in the expression ab+ba.

3−2+(−2)3

=(1/3)2+(−8)

=1/9 - 8

=1−72 / 9

=Exponents of Real Numbers- 1 RD Sharma Solutions | Mathematics (Maths) Class 9

(iii) (a+b)ab

Here, a=3 and b=−2.

Put the values in the expression (a+b)ab.

[3+(−2)]3(−2)

=(1)−6

=1


Q.3. Prove that:

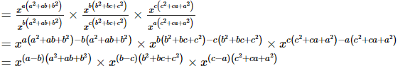
(i)Exponents of Real Numbers- 1 RD Sharma Solutions | Mathematics (Maths) Class 9Exponents of Real Numbers- 1 RD Sharma Solutions | Mathematics (Maths) Class 9 Exponents of Real Numbers- 1 RD Sharma Solutions | Mathematics (Maths) Class 9

(ii)Exponents of Real Numbers- 1 RD Sharma Solutions | Mathematics (Maths) Class 9

Proof: 

(i)Exponents of Real Numbers- 1 RD Sharma Solutions | Mathematics (Maths) Class 9Exponents of Real Numbers- 1 RD Sharma Solutions | Mathematics (Maths) Class 9 Exponents of Real Numbers- 1 RD Sharma Solutions | Mathematics (Maths) Class 9

Consider the left hand side:

Exponents of Real Numbers- 1 RD Sharma Solutions | Mathematics (Maths) Class 9

Exponents of Real Numbers- 1 RD Sharma Solutions | Mathematics (Maths) Class 9

=x(a3−b3)×x(b3−c3)×x(c3−a3)

=x(a3−b3+b3−c3+c3−a3)

=x0

=1

Left hand side is equal to right hand side.

Hence proved.

(ii)Exponents of Real Numbers- 1 RD Sharma Solutions | Mathematics (Maths) Class 9

Consider the left hand side:

Exponents of Real Numbers- 1 RD Sharma Solutions | Mathematics (Maths) Class 9

= 1

Left hand side is equal to right hand side.

Hence proved.


Q.4. Prove that:

(i)Exponents of Real Numbers- 1 RD Sharma Solutions | Mathematics (Maths) Class 9

(ii) Exponents of Real Numbers- 1 RD Sharma Solutions | Mathematics (Maths) Class 9

Proof: (i) Consider the left hand side:

Exponents of Real Numbers- 1 RD Sharma Solutions | Mathematics (Maths) Class 9

= 1

Therefore left hand side is equal to the right hand side. Hence proved.

(ii)

Consider the left hand side:

Exponents of Real Numbers- 1 RD Sharma Solutions | Mathematics (Maths) Class 9

Exponents of Real Numbers- 1 RD Sharma Solutions | Mathematics (Maths) Class 9

Exponents of Real Numbers- 1 RD Sharma Solutions | Mathematics (Maths) Class 9

Exponents of Real Numbers- 1 RD Sharma Solutions | Mathematics (Maths) Class 9

Exponents of Real Numbers- 1 RD Sharma Solutions | Mathematics (Maths) Class 9

=1 

Therefore left hand side is equal to the right hand side. Hence proved.


Q.5. Prove that:

(i)Exponents of Real Numbers- 1 RD Sharma Solutions | Mathematics (Maths) Class 9= abc

(ii) (a−1+b−1)−1=Exponents of Real Numbers- 1 RD Sharma Solutions | Mathematics (Maths) Class 9

Proof: (i) Consider the left hand side:

Exponents of Real Numbers- 1 RD Sharma Solutions | Mathematics (Maths) Class 9 

Exponents of Real Numbers- 1 RD Sharma Solutions | Mathematics (Maths) Class 9

Exponents of Real Numbers- 1 RD Sharma Solutions | Mathematics (Maths) Class 9

Exponents of Real Numbers- 1 RD Sharma Solutions | Mathematics (Maths) Class 9

= abc

Therefore left hand side is equal to the right hand side. Hence proved.

(ii)

Consider the left hand side:

(a−1+b−1)−1

Exponents of Real Numbers- 1 RD Sharma Solutions | Mathematics (Maths) Class 9

Exponents of Real Numbers- 1 RD Sharma Solutions | Mathematics (Maths) Class 9

Exponents of Real Numbers- 1 RD Sharma Solutions | Mathematics (Maths) Class 9

Therefore left hand side is equal to the right hand side. Hence proved.


Q.6. If abc = 1, show thatExponents of Real Numbers- 1 RD Sharma Solutions | Mathematics (Maths) Class 9= 1

Proof: Consider the left hand side:

Exponents of Real Numbers- 1 RD Sharma Solutions | Mathematics (Maths) Class 9 

Exponents of Real Numbers- 1 RD Sharma Solutions | Mathematics (Maths) Class 9

Exponents of Real Numbers- 1 RD Sharma Solutions | Mathematics (Maths) Class 9(abc=1) 

Exponents of Real Numbers- 1 RD Sharma Solutions | Mathematics (Maths) Class 9

Exponents of Real Numbers- 1 RD Sharma Solutions | Mathematics (Maths) Class 9

=1

Hence proved.


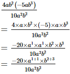
Q.7. Simplify the following:

(i)Exponents of Real Numbers- 1 RD Sharma Solutions | Mathematics (Maths) Class 9

(ii)Exponents of Real Numbers- 1 RD Sharma Solutions | Mathematics (Maths) Class 9

(iii)Exponents of Real Numbers- 1 RD Sharma Solutions | Mathematics (Maths) Class 9

(iv)Exponents of Real Numbers- 1 RD Sharma Solutions | Mathematics (Maths) Class 9

Proof: (i)

Exponents of Real Numbers- 1 RD Sharma Solutions | Mathematics (Maths) Class 9 

Exponents of Real Numbers- 1 RD Sharma Solutions | Mathematics (Maths) Class 9

Exponents of Real Numbers- 1 RD Sharma Solutions | Mathematics (Maths) Class 9

Exponents of Real Numbers- 1 RD Sharma Solutions | Mathematics (Maths) Class 9

=33n+2−3n+3

=35

=243 

(ii)

Exponents of Real Numbers- 1 RD Sharma Solutions | Mathematics (Maths) Class 9

Exponents of Real Numbers- 1 RD Sharma Solutions | Mathematics (Maths) Class 9 

Exponents of Real Numbers- 1 RD Sharma Solutions | Mathematics (Maths) Class 9

Exponents of Real Numbers- 1 RD Sharma Solutions | Mathematics (Maths) Class 9

Exponents of Real Numbers- 1 RD Sharma Solutions | Mathematics (Maths) Class 9

=4/24

=1/6

(iii)

Exponents of Real Numbers- 1 RD Sharma Solutions | Mathematics (Maths) Class 9 

Exponents of Real Numbers- 1 RD Sharma Solutions | Mathematics (Maths) Class 9

Exponents of Real Numbers- 1 RD Sharma Solutions | Mathematics (Maths) Class 9

Exponents of Real Numbers- 1 RD Sharma Solutions | Mathematics (Maths) Class 9

= 19

(iv)

Exponents of Real Numbers- 1 RD Sharma Solutions | Mathematics (Maths) Class 9 

Exponents of Real Numbers- 1 RD Sharma Solutions | Mathematics (Maths) Class 9

Exponents of Real Numbers- 1 RD Sharma Solutions | Mathematics (Maths) Class 9

Exponents of Real Numbers- 1 RD Sharma Solutions | Mathematics (Maths) Class 9

Exponents of Real Numbers- 1 RD Sharma Solutions | Mathematics (Maths) Class 9

Exponents of Real Numbers- 1 RD Sharma Solutions | Mathematics (Maths) Class 9

= 4


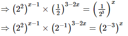
Q.8. Solve the following equations for x:

(i) 72x+3=1

(ii) 2x+1=4x−3

(iii) 25x+3=8x+3

(iv) 42x=1/32

(v) 4x−1×(0.5)3−2x=(1/8)x

(vi) 23x−7=256

Proof: (i)

72x+3=1

⇒72x+3=70

⇒2x+3=0

⇒2x=−3

⇒x=−3/2

(ii)

2x+1=4x−3

⇒2x+1=(22)x−3

⇒2x+1=(22x−6)

⇒x+1=2x−6

⇒x=7

(iii)

25x+3=8x+3

⇒25x+3=(23)x+3

⇒25x+3=23x+9

⇒5x+3=3x+9

⇒2x=6

⇒x=3

(iv)

42x=1/32

⇒(22)2x=1/25

⇒24x×25=1

⇒24x+5=20

⇒4x+5=0

⇒x=−5/4

(v)

4x−1×(0.5)3−2x=(1/8)x

Exponents of Real Numbers- 1 RD Sharma Solutions | Mathematics (Maths) Class 9

⇒22x−2×22x−3=2−3x

⇒22x−2+2x−3=2−3x

⇒24x−5=2−3x

⇒4x−5= −3x

⇒7x= 5

⇒x= 5/7

(vi)

23x−7=256

⇒23x−7=28

⇒3x−7=8

⇒3x=15

⇒x=5


Q.9. Solve the following equations for x:

(i) 22x−2x+3+24=0

(ii) 32x+4+1=2.3x+2

Proof: (i) 

22x−2x+3+24=0

⇒(2x)2−(2x×23)+(22)2=0

⇒(2x)2−2×2x×22+(22)2=0

⇒(2x−22)2=0

⇒2x−22=0

⇒2x=22

⇒x=2

(ii)

32x+4+1=2.3x+2

⇒(3x+2)2−2.3x+2+1=0

⇒(3x+2−1)2=0

⇒3x+2−1=0

⇒3x+2=1=30

⇒x+2=0

⇒x=−2


Q.10. If 49392=a4b2c3, find the values of a, b and c, where a, b and c are different positive primes.

Proof: First find out the prime factorization of 49392.

Exponents of Real Numbers- 1 RD Sharma Solutions | Mathematics (Maths) Class 9

It can be observed that 49392 can be written as 24×32×73, where 2, 3 and 7 are positive primes.

∴49392 = 24327= a4b2c3

⇒a=2, b=3, c=7


Q.11. If 1176=2a3b7c, find a, b and c.

Proof: First find out the prime factorization of 1176.

Exponents of Real Numbers- 1 RD Sharma Solutions | Mathematics (Maths) Class 9

It can be observed that 1176 can be written as 23×31×72.

1176 = 233172 = 2a3b7c

Hence, a = 3, b = 1 and c = 2.


Q.12. Given 4725=3a5b7c, find

(i) the integral values of a, b and c

(ii) the value of 2−a3b7c

Proof: (i) Given 4725=3a5b7c

First find out the prime factorization of 4725.

Exponents of Real Numbers- 1 RD Sharma Solutions | Mathematics (Maths) Class 9

It can be observed that 4725 can be written as 33×52×71.

∴4725 = 3a5b7= 335271

Hence, a = 3, b = 2 and c = 1.

(ii)

When a = 3, b = 2 and c = 1,

2−a3b7= 2−3×32×7= 1/8 × 9 × 7=63/8

Hence, the value of 2−a3b7c isExponents of Real Numbers- 1 RD Sharma Solutions | Mathematics (Maths) Class 9


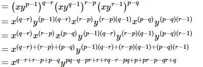
Q.13. If a = xyp−1,b = xyq−1 and c = xyr−1, prove that aq−rbr−pcp−q = 1.

Proof: It is given that a = xyp−1,b = xyq−1 and c = xyr−1

Exponents of Real Numbers- 1 RD Sharma Solutions | Mathematics (Maths) Class 9

Exponents of Real Numbers- 1 RD Sharma Solutions | Mathematics (Maths) Class 9

=x0y0

=1

The document Exponents of Real Numbers- 1 RD Sharma Solutions | Mathematics (Maths) Class 9 is a part of the Class 9 Course Mathematics (Maths) Class 9.
All you need of Class 9 at this link: Class 9
40 videos|470 docs|56 tests

FAQs on Exponents of Real Numbers- 1 RD Sharma Solutions - Mathematics (Maths) Class 9

1. What are exponents and how are they used in real numbers?
Ans. Exponents are a way of expressing repeated multiplication of a number by itself. In real numbers, exponents are used to represent the power to which a number is raised. For example, in the expression 2^3, the number 2 is the base and 3 is the exponent. It means that 2 is multiplied by itself three times: 2 x 2 x 2 = 8.
2. How do you simplify expressions with exponents in real numbers?
Ans. To simplify expressions with exponents in real numbers, you can use the properties of exponents. If you have the same base raised to different exponents, you can multiply the exponents. For example, if you have 2^3 x 2^4, you can simplify it as 2^(3+4) = 2^7. Similarly, if you have a power raised to another power, you can multiply the exponents. For example, (2^3)^4 can be simplified as 2^(3x4) = 2^12.
3. What is the meaning of a negative exponent in real numbers?
Ans. A negative exponent in real numbers represents the reciprocal of the number raised to the positive exponent. For example, if you have 2^-3, it means the reciprocal of 2^3, which is 1/(2^3) = 1/8. So, a negative exponent indicates that the number should be divided instead of multiplied.
4. How do you simplify expressions with negative exponents in real numbers?
Ans. To simplify expressions with negative exponents in real numbers, you can rewrite the expression using positive exponents and then simplify it. For example, if you have 2^-3, you can rewrite it as 1/(2^3) = 1/8. Similarly, if you have a fraction with a negative exponent in the numerator or denominator, you can move it to the opposite location and change the sign of the exponent. For example, 1/(2^-3) can be rewritten as 2^3.
5. Can exponents be applied to all real numbers?
Ans. Exponents can be applied to any real number, including both positive and negative numbers. The rules and properties of exponents also apply to real numbers. However, it is important to note that some operations with exponents, such as raising a negative number to a fractional exponent, may result in complex numbers.
Related Searches

Exponents of Real Numbers- 1 RD Sharma Solutions | Mathematics (Maths) Class 9

,

Objective type Questions

,

practice quizzes

,

Exam

,

Summary

,

Sample Paper

,

Important questions

,

ppt

,

past year papers

,

Previous Year Questions with Solutions

,

Semester Notes

,

shortcuts and tricks

,

Exponents of Real Numbers- 1 RD Sharma Solutions | Mathematics (Maths) Class 9

,

Exponents of Real Numbers- 1 RD Sharma Solutions | Mathematics (Maths) Class 9

,

Free

,

pdf

,

mock tests for examination

,

video lectures

,

Viva Questions

,

Extra Questions

,

study material

,

MCQs

;