Class 9 Exam  >  Class 9 Notes  >  Mathematics (Maths) Class 9  >  RD Sharma Solutions: Exponents of Real Numbers- 2

Exponents of Real Numbers- 2 RD Sharma Solutions | Mathematics (Maths) Class 9 PDF Download

RD Sharma Solutions Exercise 2.2 Exponents Of Real Numbers


Q.1. Assuming that x, y, z are positive real numbers, simplify each of the following:

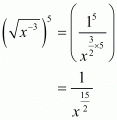
(i) (√x−3)5

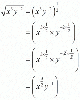
(ii) √x3 y−2

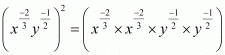
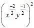
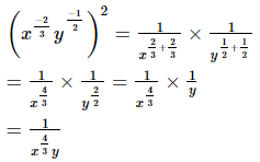
(iii) (x−2/3y−1/2)2

(iv) (√x)−2/3√y÷ √xy−1/2

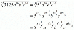
(v) 5√243 x10y5z10

(vi) Exponents of Real Numbers- 2 RD Sharma Solutions | Mathematics (Maths) Class 9

(vii) Exponents of Real Numbers- 2 RD Sharma Solutions | Mathematics (Maths) Class 9

Proof: We have to simplify the following, assuming thatExponents of Real Numbers- 2 RD Sharma Solutions | Mathematics (Maths) Class 9are positive real numbers

(i) GivenExponents of Real Numbers- 2 RD Sharma Solutions | Mathematics (Maths) Class 9

As x is positive real number then we have

Exponents of Real Numbers- 2 RD Sharma Solutions | Mathematics (Maths) Class 9

Exponents of Real Numbers- 2 RD Sharma Solutions | Mathematics (Maths) Class 9

Hence the simplified value ofExponents of Real Numbers- 2 RD Sharma Solutions | Mathematics (Maths) Class 9isExponents of Real Numbers- 2 RD Sharma Solutions | Mathematics (Maths) Class 9

(ii) GivenExponents of Real Numbers- 2 RD Sharma Solutions | Mathematics (Maths) Class 9

Exponents of Real Numbers- 2 RD Sharma Solutions | Mathematics (Maths) Class 9

By using law of rational exponentsExponents of Real Numbers- 2 RD Sharma Solutions | Mathematics (Maths) Class 9we have

Exponents of Real Numbers- 2 RD Sharma Solutions | Mathematics (Maths) Class 9

Hence the simplified value ofExponents of Real Numbers- 2 RD Sharma Solutions | Mathematics (Maths) Class 9isExponents of Real Numbers- 2 RD Sharma Solutions | Mathematics (Maths) Class 9

(iii) GivenExponents of Real Numbers- 2 RD Sharma Solutions | Mathematics (Maths) Class 9

As x and y are positive real numbers then we have 

Exponents of Real Numbers- 2 RD Sharma Solutions | Mathematics (Maths) Class 9

By using law of rational exponentsExponents of Real Numbers- 2 RD Sharma Solutions | Mathematics (Maths) Class 9we have

Exponents of Real Numbers- 2 RD Sharma Solutions | Mathematics (Maths) Class 9
Exponents of Real Numbers- 2 RD Sharma Solutions | Mathematics (Maths) Class 9

By using law of rational exponentsExponents of Real Numbers- 2 RD Sharma Solutions | Mathematics (Maths) Class 9we have

Exponents of Real Numbers- 2 RD Sharma Solutions | Mathematics (Maths) Class 9

Hence the simplified value ofExponents of Real Numbers- 2 RD Sharma Solutions | Mathematics (Maths) Class 9isExponents of Real Numbers- 2 RD Sharma Solutions | Mathematics (Maths) Class 9

(iv)Exponents of Real Numbers- 2 RD Sharma Solutions | Mathematics (Maths) Class 9

Exponents of Real Numbers- 2 RD Sharma Solutions | Mathematics (Maths) Class 9

Exponents of Real Numbers- 2 RD Sharma Solutions | Mathematics (Maths) Class 9

Exponents of Real Numbers- 2 RD Sharma Solutions | Mathematics (Maths) Class 9

by using the law of rational exponents, am ÷ an = am−n, we have

Exponents of Real Numbers- 2 RD Sharma Solutions | Mathematics (Maths) Class 9

Exponents of Real Numbers- 2 RD Sharma Solutions | Mathematics (Maths) Class 9

Exponents of Real Numbers- 2 RD Sharma Solutions | Mathematics (Maths) Class 9

(v)Exponents of Real Numbers- 2 RD Sharma Solutions | Mathematics (Maths) Class 9

=(243 × x10 × y5 × z10)1/5

=(243)1/5 × (x10)1/5 × (y5)1/5 × (z10)1/5

=(35)1/5 × x10×1/5 × y5×1/5 × z10×1/5

=3 × x2 × y × z2

=3x2yz2

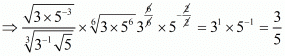
(vi)Exponents of Real Numbers- 2 RD Sharma Solutions | Mathematics (Maths) Class 9

Exponents of Real Numbers- 2 RD Sharma Solutions | Mathematics (Maths) Class 9

Exponents of Real Numbers- 2 RD Sharma Solutions | Mathematics (Maths) Class 9

Exponents of Real Numbers- 2 RD Sharma Solutions | Mathematics (Maths) Class 9

Exponents of Real Numbers- 2 RD Sharma Solutions | Mathematics (Maths) Class 9

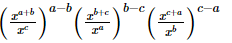
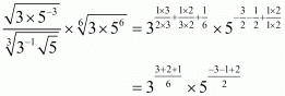
(vii)Exponents of Real Numbers- 2 RD Sharma Solutions | Mathematics (Maths) Class 9

Exponents of Real Numbers- 2 RD Sharma Solutions | Mathematics (Maths) Class 9

Exponents of Real Numbers- 2 RD Sharma Solutions | Mathematics (Maths) Class 9

Exponents of Real Numbers- 2 RD Sharma Solutions | Mathematics (Maths) Class 9

Exponents of Real Numbers- 2 RD Sharma Solutions | Mathematics (Maths) Class 9

Exponents of Real Numbers- 2 RD Sharma Solutions | Mathematics (Maths) Class 9

Exponents of Real Numbers- 2 RD Sharma Solutions | Mathematics (Maths) Class 9


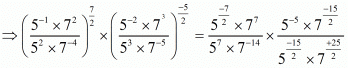
Q.2. Simplify:

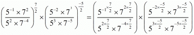
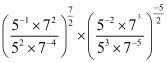
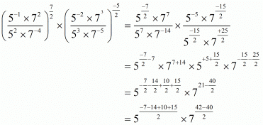
(i)Exponents of Real Numbers- 2 RD Sharma Solutions | Mathematics (Maths) Class 9

(ii)Exponents of Real Numbers- 2 RD Sharma Solutions | Mathematics (Maths) Class 9

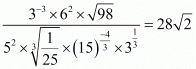
(iii)Exponents of Real Numbers- 2 RD Sharma Solutions | Mathematics (Maths) Class 9 

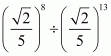
(v)Exponents of Real Numbers- 2 RD Sharma Solutions | Mathematics (Maths) Class 9

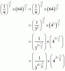
(v)Exponents of Real Numbers- 2 RD Sharma Solutions | Mathematics (Maths) Class 9

(vi)Exponents of Real Numbers- 2 RD Sharma Solutions | Mathematics (Maths) Class 9

(vii)Exponents of Real Numbers- 2 RD Sharma Solutions | Mathematics (Maths) Class 9

Proof: (1) GivenExponents of Real Numbers- 2 RD Sharma Solutions | Mathematics (Maths) Class 9

Exponents of Real Numbers- 2 RD Sharma Solutions | Mathematics (Maths) Class 9

By using law of rational exponentsExponents of Real Numbers- 2 RD Sharma Solutions | Mathematics (Maths) Class 9we have

Exponents of Real Numbers- 2 RD Sharma Solutions | Mathematics (Maths) Class 9

Hence the value ofExponents of Real Numbers- 2 RD Sharma Solutions | Mathematics (Maths) Class 9isExponents of Real Numbers- 2 RD Sharma Solutions | Mathematics (Maths) Class 9

(ii)Exponents of Real Numbers- 2 RD Sharma Solutions | Mathematics (Maths) Class 9

Exponents of Real Numbers- 2 RD Sharma Solutions | Mathematics (Maths) Class 9

Exponents of Real Numbers- 2 RD Sharma Solutions | Mathematics (Maths) Class 9

Exponents of Real Numbers- 2 RD Sharma Solutions | Mathematics (Maths) Class 9

Exponents of Real Numbers- 2 RD Sharma Solutions | Mathematics (Maths) Class 9

Exponents of Real Numbers- 2 RD Sharma Solutions | Mathematics (Maths) Class 9

Exponents of Real Numbers- 2 RD Sharma Solutions | Mathematics (Maths) Class 9

(iii) GivenExponents of Real Numbers- 2 RD Sharma Solutions | Mathematics (Maths) Class 9

Exponents of Real Numbers- 2 RD Sharma Solutions | Mathematics (Maths) Class 9

Exponents of Real Numbers- 2 RD Sharma Solutions | Mathematics (Maths) Class 9

Hence the value ofExponents of Real Numbers- 2 RD Sharma Solutions | Mathematics (Maths) Class 9isExponents of Real Numbers- 2 RD Sharma Solutions | Mathematics (Maths) Class 9

(iv) GivenExponents of Real Numbers- 2 RD Sharma Solutions | Mathematics (Maths) Class 9

Exponents of Real Numbers- 2 RD Sharma Solutions | Mathematics (Maths) Class 9

Exponents of Real Numbers- 2 RD Sharma Solutions | Mathematics (Maths) Class 9

The value ofExponents of Real Numbers- 2 RD Sharma Solutions | Mathematics (Maths) Class 9is Exponents of Real Numbers- 2 RD Sharma Solutions | Mathematics (Maths) Class 9

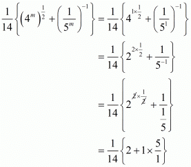
(v) GivenExponents of Real Numbers- 2 RD Sharma Solutions | Mathematics (Maths) Class 9

Exponents of Real Numbers- 2 RD Sharma Solutions | Mathematics (Maths) Class 9

(vi) GivenExponents of Real Numbers- 2 RD Sharma Solutions | Mathematics (Maths) Class 9So,

Exponents of Real Numbers- 2 RD Sharma Solutions | Mathematics (Maths) Class 9

Exponents of Real Numbers- 2 RD Sharma Solutions | Mathematics (Maths) Class 9

By using the law of rational exponentsExponents of Real Numbers- 2 RD Sharma Solutions | Mathematics (Maths) Class 9

Exponents of Real Numbers- 2 RD Sharma Solutions | Mathematics (Maths) Class 9

Exponents of Real Numbers- 2 RD Sharma Solutions | Mathematics (Maths) Class 9

Hence the value ofExponents of Real Numbers- 2 RD Sharma Solutions | Mathematics (Maths) Class 9isExponents of Real Numbers- 2 RD Sharma Solutions | Mathematics (Maths) Class 9

(vii) GivenExponents of Real Numbers- 2 RD Sharma Solutions | Mathematics (Maths) Class 9So,

Exponents of Real Numbers- 2 RD Sharma Solutions | Mathematics (Maths) Class 9

Exponents of Real Numbers- 2 RD Sharma Solutions | Mathematics (Maths) Class 9

Exponents of Real Numbers- 2 RD Sharma Solutions | Mathematics (Maths) Class 9

Exponents of Real Numbers- 2 RD Sharma Solutions | Mathematics (Maths) Class 9

Exponents of Real Numbers- 2 RD Sharma Solutions | Mathematics (Maths) Class 9

Hence the value ofExponents of Real Numbers- 2 RD Sharma Solutions | Mathematics (Maths) Class 9isExponents of Real Numbers- 2 RD Sharma Solutions | Mathematics (Maths) Class 9


Q.3. Prove that:

(i)Exponents of Real Numbers- 2 RD Sharma Solutions | Mathematics (Maths) Class 9

(ii)Exponents of Real Numbers- 2 RD Sharma Solutions | Mathematics (Maths) Class 9

(iii)Exponents of Real Numbers- 2 RD Sharma Solutions | Mathematics (Maths) Class 9

(iv)Exponents of Real Numbers- 2 RD Sharma Solutions | Mathematics (Maths) Class 9

(v)Exponents of Real Numbers- 2 RD Sharma Solutions | Mathematics (Maths) Class 9

(vi)Exponents of Real Numbers- 2 RD Sharma Solutions | Mathematics (Maths) Class 9

(vii)Exponents of Real Numbers- 2 RD Sharma Solutions | Mathematics (Maths) Class 9

(viii)Exponents of Real Numbers- 2 RD Sharma Solutions | Mathematics (Maths) Class 9

(ix)Exponents of Real Numbers- 2 RD Sharma Solutions | Mathematics (Maths) Class 9

Proof: (i) We have to prove thatExponents of Real Numbers- 2 RD Sharma Solutions | Mathematics (Maths) Class 9

By using rational exponentExponents of Real Numbers- 2 RD Sharma Solutions | Mathematics (Maths) Class 9we get,

Exponents of Real Numbers- 2 RD Sharma Solutions | Mathematics (Maths) Class 9

Exponents of Real Numbers- 2 RD Sharma Solutions | Mathematics (Maths) Class 9

Exponents of Real Numbers- 2 RD Sharma Solutions | Mathematics (Maths) Class 9

Exponents of Real Numbers- 2 RD Sharma Solutions | Mathematics (Maths) Class 9


Exponents of Real Numbers- 2 RD Sharma Solutions | Mathematics (Maths) Class 9

Exponents of Real Numbers- 2 RD Sharma Solutions | Mathematics (Maths) Class 9

Hence,Exponents of Real Numbers- 2 RD Sharma Solutions | Mathematics (Maths) Class 9

(ii) We have to prove thatExponents of Real Numbers- 2 RD Sharma Solutions | Mathematics (Maths) Class 9

Exponents of Real Numbers- 2 RD Sharma Solutions | Mathematics (Maths) Class 9

Exponents of Real Numbers- 2 RD Sharma Solutions | Mathematics (Maths) Class 9

Hence,Exponents of Real Numbers- 2 RD Sharma Solutions | Mathematics (Maths) Class 9

iii) We have to prove thatExponents of Real Numbers- 2 RD Sharma Solutions | Mathematics (Maths) Class 9

Now,

Exponents of Real Numbers- 2 RD Sharma Solutions | Mathematics (Maths) Class 9

Exponents of Real Numbers- 2 RD Sharma Solutions | Mathematics (Maths) Class 9

Exponents of Real Numbers- 2 RD Sharma Solutions | Mathematics (Maths) Class 9

Exponents of Real Numbers- 2 RD Sharma Solutions | Mathematics (Maths) Class 9

Exponents of Real Numbers- 2 RD Sharma Solutions | Mathematics (Maths) Class 9

Exponents of Real Numbers- 2 RD Sharma Solutions | Mathematics (Maths) Class 9

Hence,Exponents of Real Numbers- 2 RD Sharma Solutions | Mathematics (Maths) Class 9

(iv) We have to prove thatExponents of Real Numbers- 2 RD Sharma Solutions | Mathematics (Maths) Class 9

Let Exponents of Real Numbers- 2 RD Sharma Solutions | Mathematics (Maths) Class 9

Exponents of Real Numbers- 2 RD Sharma Solutions | Mathematics (Maths) Class 9

Exponents of Real Numbers- 2 RD Sharma Solutions | Mathematics (Maths) Class 9

Exponents of Real Numbers- 2 RD Sharma Solutions | Mathematics (Maths) Class 9

Exponents of Real Numbers- 2 RD Sharma Solutions | Mathematics (Maths) Class 9

Hence,Exponents of Real Numbers- 2 RD Sharma Solutions | Mathematics (Maths) Class 9

(v) We have to prove thatExponents of Real Numbers- 2 RD Sharma Solutions | Mathematics (Maths) Class 9

LetExponents of Real Numbers- 2 RD Sharma Solutions | Mathematics (Maths) Class 9

Exponents of Real Numbers- 2 RD Sharma Solutions | Mathematics (Maths) Class 9

Exponents of Real Numbers- 2 RD Sharma Solutions | Mathematics (Maths) Class 9

Exponents of Real Numbers- 2 RD Sharma Solutions | Mathematics (Maths) Class 9

Hence,Exponents of Real Numbers- 2 RD Sharma Solutions | Mathematics (Maths) Class 9

(vi) We have to prove thatExponents of Real Numbers- 2 RD Sharma Solutions | Mathematics (Maths) Class 9So,

LetExponents of Real Numbers- 2 RD Sharma Solutions | Mathematics (Maths) Class 9

Exponents of Real Numbers- 2 RD Sharma Solutions | Mathematics (Maths) Class 9

Exponents of Real Numbers- 2 RD Sharma Solutions | Mathematics (Maths) Class 9

Hence,Exponents of Real Numbers- 2 RD Sharma Solutions | Mathematics (Maths) Class 9

(vii) We have to prove thatExponents of Real Numbers- 2 RD Sharma Solutions | Mathematics (Maths) Class 9 So let

Exponents of Real Numbers- 2 RD Sharma Solutions | Mathematics (Maths) Class 9

Exponents of Real Numbers- 2 RD Sharma Solutions | Mathematics (Maths) Class 9

Exponents of Real Numbers- 2 RD Sharma Solutions | Mathematics (Maths) Class 9

Hence, Exponents of Real Numbers- 2 RD Sharma Solutions | Mathematics (Maths) Class 9

(viii) We have to prove thatExponents of Real Numbers- 2 RD Sharma Solutions | Mathematics (Maths) Class 9So,

LetExponents of Real Numbers- 2 RD Sharma Solutions | Mathematics (Maths) Class 9

Exponents of Real Numbers- 2 RD Sharma Solutions | Mathematics (Maths) Class 9

Exponents of Real Numbers- 2 RD Sharma Solutions | Mathematics (Maths) Class 9

Exponents of Real Numbers- 2 RD Sharma Solutions | Mathematics (Maths) Class 9

Hence,Exponents of Real Numbers- 2 RD Sharma Solutions | Mathematics (Maths) Class 9

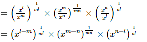
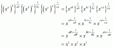
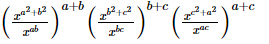
(ix) We have to prove thatExponents of Real Numbers- 2 RD Sharma Solutions | Mathematics (Maths) Class 9

LetExponents of Real Numbers- 2 RD Sharma Solutions | Mathematics (Maths) Class 9

Exponents of Real Numbers- 2 RD Sharma Solutions | Mathematics (Maths) Class 9

Exponents of Real Numbers- 2 RD Sharma Solutions | Mathematics (Maths) Class 9

Hence,Exponents of Real Numbers- 2 RD Sharma Solutions | Mathematics (Maths) Class 9


Q.4.  Show that:

(i)Exponents of Real Numbers- 2 RD Sharma Solutions | Mathematics (Maths) Class 9

(ii)Exponents of Real Numbers- 2 RD Sharma Solutions | Mathematics (Maths) Class 9

(iii)Exponents of Real Numbers- 2 RD Sharma Solutions | Mathematics (Maths) Class 9

(iv)Exponents of Real Numbers- 2 RD Sharma Solutions | Mathematics (Maths) Class 9

(v)Exponents of Real Numbers- 2 RD Sharma Solutions | Mathematics (Maths) Class 9

(vi)Exponents of Real Numbers- 2 RD Sharma Solutions | Mathematics (Maths) Class 9

(vii)Exponents of Real Numbers- 2 RD Sharma Solutions | Mathematics (Maths) Class 9

(viii)Exponents of Real Numbers- 2 RD Sharma Solutions | Mathematics (Maths) Class 9

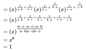
Proof: (i)

Exponents of Real Numbers- 2 RD Sharma Solutions | Mathematics (Maths) Class 9

= 1

(ii)

Exponents of Real Numbers- 2 RD Sharma Solutions | Mathematics (Maths) Class 9

Exponents of Real Numbers- 2 RD Sharma Solutions | Mathematics (Maths) Class 9

Exponents of Real Numbers- 2 RD Sharma Solutions | Mathematics (Maths) Class 9

Exponents of Real Numbers- 2 RD Sharma Solutions | Mathematics (Maths) Class 9

= 1

(iii)

Exponents of Real Numbers- 2 RD Sharma Solutions | Mathematics (Maths) Class 9

Exponents of Real Numbers- 2 RD Sharma Solutions | Mathematics (Maths) Class 9

(iv)

Exponents of Real Numbers- 2 RD Sharma Solutions | Mathematics (Maths) Class 9

Exponents of Real Numbers- 2 RD Sharma Solutions | Mathematics (Maths) Class 9

=x2(a3+b3+c3)

(v)

Exponents of Real Numbers- 2 RD Sharma Solutions | Mathematics (Maths) Class 9

Exponents of Real Numbers- 2 RD Sharma Solutions | Mathematics (Maths) Class 9

= x0

= 1

(vi)

Exponents of Real Numbers- 2 RD Sharma Solutions | Mathematics (Maths) Class 9

Exponents of Real Numbers- 2 RD Sharma Solutions | Mathematics (Maths) Class 9

Exponents of Real Numbers- 2 RD Sharma Solutions | Mathematics (Maths) Class 9

= x1

= x

(vii)

Exponents of Real Numbers- 2 RD Sharma Solutions | Mathematics (Maths) Class 9

Exponents of Real Numbers- 2 RD Sharma Solutions | Mathematics (Maths) Class 9

=a0

=1

(viii)

Exponents of Real Numbers- 2 RD Sharma Solutions | Mathematics (Maths) Class 9

Exponents of Real Numbers- 2 RD Sharma Solutions | Mathematics (Maths) Class 9

=30

=1


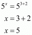
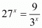
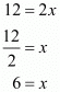
Q.5. If 27x =9/3x,  find x

Proof: We are givenExponents of Real Numbers- 2 RD Sharma Solutions | Mathematics (Maths) Class 9We have to find the value of x

SinceExponents of Real Numbers- 2 RD Sharma Solutions | Mathematics (Maths) Class 9

y using the law of exponentsExponents of Real Numbers- 2 RD Sharma Solutions | Mathematics (Maths) Class 9 we get,

Exponents of Real Numbers- 2 RD Sharma Solutions | Mathematics (Maths) Class 9

On equating the exponents we get,

Exponents of Real Numbers- 2 RD Sharma Solutions | Mathematics (Maths) Class 9

Exponents of Real Numbers- 2 RD Sharma Solutions | Mathematics (Maths) Class 9

Hence,Exponents of Real Numbers- 2 RD Sharma Solutions | Mathematics (Maths) Class 9


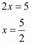
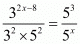
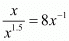
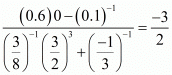
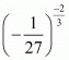
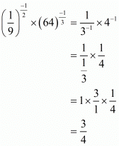
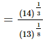
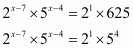
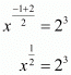
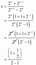
Q.6. Find the values of x in each of the following:

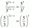
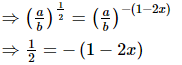
(i)Exponents of Real Numbers- 2 RD Sharma Solutions | Mathematics (Maths) Class 9

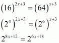
(ii)Exponents of Real Numbers- 2 RD Sharma Solutions | Mathematics (Maths) Class 9

(iii)Exponents of Real Numbers- 2 RD Sharma Solutions | Mathematics (Maths) Class 9

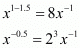
(iv)Exponents of Real Numbers- 2 RD Sharma Solutions | Mathematics (Maths) Class 9

(v)Exponents of Real Numbers- 2 RD Sharma Solutions | Mathematics (Maths) Class 9

(vi)Exponents of Real Numbers- 2 RD Sharma Solutions | Mathematics (Maths) Class 9

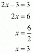
(vii) 52x+3=1

(viii)Exponents of Real Numbers- 2 RD Sharma Solutions | Mathematics (Maths) Class 9

(ix)Exponents of Real Numbers- 2 RD Sharma Solutions | Mathematics (Maths) Class 9

Proof: From the following we have to find the value of x

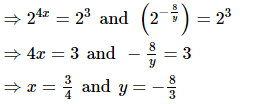
(i) Given

By using rational exponentsExponents of Real Numbers- 2 RD Sharma Solutions | Mathematics (Maths) Class 9

Exponents of Real Numbers- 2 RD Sharma Solutions | Mathematics (Maths) Class 9

Exponents of Real Numbers- 2 RD Sharma Solutions | Mathematics (Maths) Class 9

On equating the exponents we get,

Exponents of Real Numbers- 2 RD Sharma Solutions | Mathematics (Maths) Class 9

Exponents of Real Numbers- 2 RD Sharma Solutions | Mathematics (Maths) Class 9

The value of x isExponents of Real Numbers- 2 RD Sharma Solutions | Mathematics (Maths) Class 9

(ii) GivenExponents of Real Numbers- 2 RD Sharma Solutions | Mathematics (Maths) Class 9

Exponents of Real Numbers- 2 RD Sharma Solutions | Mathematics (Maths) Class 9

On equating the exponents

Exponents of Real Numbers- 2 RD Sharma Solutions | Mathematics (Maths) Class 9 

Hence the value of x isExponents of Real Numbers- 2 RD Sharma Solutions | Mathematics (Maths) Class 9

(iii) GivenExponents of Real Numbers- 2 RD Sharma Solutions | Mathematics (Maths) Class 9

Exponents of Real Numbers- 2 RD Sharma Solutions | Mathematics (Maths) Class 9

Exponents of Real Numbers- 2 RD Sharma Solutions | Mathematics (Maths) Class 9

Comparing exponents we have,

Exponents of Real Numbers- 2 RD Sharma Solutions | Mathematics (Maths) Class 9

Hence the value of x isExponents of Real Numbers- 2 RD Sharma Solutions | Mathematics (Maths) Class 9

(iv) GivenExponents of Real Numbers- 2 RD Sharma Solutions | Mathematics (Maths) Class 9

Exponents of Real Numbers- 2 RD Sharma Solutions | Mathematics (Maths) Class 9

On equating the exponents of 5 and 3 we get,

Exponents of Real Numbers- 2 RD Sharma Solutions | Mathematics (Maths) Class 9

And,

Exponents of Real Numbers- 2 RD Sharma Solutions | Mathematics (Maths) Class 9

The value of x isExponents of Real Numbers- 2 RD Sharma Solutions | Mathematics (Maths) Class 9

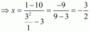
(v) GivenExponents of Real Numbers- 2 RD Sharma Solutions | Mathematics (Maths) Class 9

Exponents of Real Numbers- 2 RD Sharma Solutions | Mathematics (Maths) Class 9

On equating the exponents we get 

Exponents of Real Numbers- 2 RD Sharma Solutions | Mathematics (Maths) Class 9

And, 

Exponents of Real Numbers- 2 RD Sharma Solutions | Mathematics (Maths) Class 9

Hence the value of x isExponents of Real Numbers- 2 RD Sharma Solutions | Mathematics (Maths) Class 9

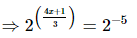
(vi)Exponents of Real Numbers- 2 RD Sharma Solutions | Mathematics (Maths) Class 9

Exponents of Real Numbers- 2 RD Sharma Solutions | Mathematics (Maths) Class 9

Exponents of Real Numbers- 2 RD Sharma Solutions | Mathematics (Maths) Class 9

On comparing we get, 

Exponents of Real Numbers- 2 RD Sharma Solutions | Mathematics (Maths) Class 9

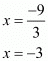
⇒4x+1 = −15

⇒4x = −16

⇒x = −4

(vii) 52x+3=1

52x+3 =50

⇒2x+3 = 0

⇒x = −3/2

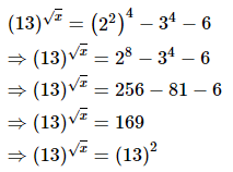
(viii) (13)√x = 4− 3− 6

Exponents of Real Numbers- 2 RD Sharma Solutions | Mathematics (Maths) Class 9

On comparing we get, 

√x = 2

on squaring both sides we get, 

x = 4

(ix) Exponents of Real Numbers- 2 RD Sharma Solutions | Mathematics (Maths) Class 9

Exponents of Real Numbers- 2 RD Sharma Solutions | Mathematics (Maths) Class 9

Exponents of Real Numbers- 2 RD Sharma Solutions | Mathematics (Maths) Class 9

On comparing we get, 

Exponents of Real Numbers- 2 RD Sharma Solutions | Mathematics (Maths) Class 9

⇒x + 1 = −6

⇒x = −7


Q.7. If 34x = (81)−1 and 101/y = 0.0001, find the value of 2−x+4y.

Proof: It is given that 34x=(81)−1 and 101/y=0.0001.

Now,

34x = (81)−1

⇒34x = (34)−1

⇒(3x)= (3−1)4

⇒x = −1

And,

101/y=0.0001

Exponents of Real Numbers- 2 RD Sharma Solutions | Mathematics (Maths) Class 9

⇒101/y = (1/10)4

⇒101/y = (10)−4

⇒1/y = −4

⇒y = −1/4

Therefore, the value of 2−x+4y is 21+4(−1/4) = 2= 1


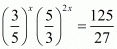
Q.8. If 53x=125 and 10y=0.001, find x and y.

Proof: It is given that 53x = 125 and 10= 0.001.

Now,

53x = 125

⇒53x = 53

⇒3x = 3

⇒x = 1

And,

10y=0.001

⇒10y = 1/1000

⇒10y = 10−3 

⇒y = −3

Hence, the values of x and y are 1 and −3, respectively.


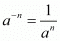
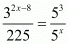
Q.9. Solve the following equations:

(i) 3x+1 = 27×34

(ii)Exponents of Real Numbers- 2 RD Sharma Solutions | Mathematics (Maths) Class 9

(iii) 3x−1 × 52y−3 = 225

(iv) 8x+1 = 16y+2 and, (1/2)3+x = (1/4)3y

(v) 4x−1 × (0.5)3−2x = (178)x

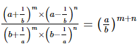
(vi)Exponents of Real Numbers- 2 RD Sharma Solutions | Mathematics (Maths) Class 9where a and b are distinct primes

Proof: (i)

3x+1 = 27×34

⇒3x+= 33×34

⇒3x+1 = 33+4

⇒3x+1 = 37

⇒x+1 = 7

⇒x = 6

(ii)

Exponents of Real Numbers- 2 RD Sharma Solutions | Mathematics (Maths) Class 9

Exponents of Real Numbers- 2 RD Sharma Solutions | Mathematics (Maths) Class 9

Exponents of Real Numbers- 2 RD Sharma Solutions | Mathematics (Maths) Class 9

(iii) 

3x−1 × 52y−3 = 225

⇒3x−1 × 52y−3 = 3 × 3 × 5 × 5

⇒3x−1 × 52y−3 = 3× 52

⇒x − 1 = 2 and 2y − 3 = 2

⇒ x = 3 and y = 5/2

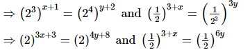
(iv)

Exponents of Real Numbers- 2 RD Sharma Solutions | Mathematics (Maths) Class 9

Exponents of Real Numbers- 2 RD Sharma Solutions | Mathematics (Maths) Class 9

⇒3x+3 = 4y+8 and 3+x = 6y

Now,

3+x = 6y ⇒ x = 6y − 3

Putting x = 6y − 3 in 3x − 4y = 5, we get

3(6y−3)−4y = 5

⇒18y − 9 − 4y = 5

⇒14y = 14

⇒y = 1

Putting y = 1 in x=6y−3, we get

x=6×1−3=3

(v)

Exponents of Real Numbers- 2 RD Sharma Solutions | Mathematics (Maths) Class 9

Exponents of Real Numbers- 2 RD Sharma Solutions | Mathematics (Maths) Class 9

⇒4x − 5 = −3x

⇒7x = 5

⇒x = 5/7

(vi)

Exponents of Real Numbers- 2 RD Sharma Solutions | Mathematics (Maths) Class 9

Exponents of Real Numbers- 2 RD Sharma Solutions | Mathematics (Maths) Class 9

⇒1/2 = 2x − 1

⇒3/2 = 2x

⇒x = 3/4


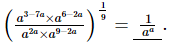
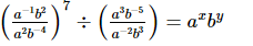
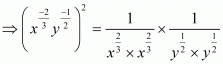
Q.10. If a and b are distinct primes such thatExponents of Real Numbers- 2 RD Sharma Solutions | Mathematics (Maths) Class 9= axb2y, find x and y.

Proof: Given: Exponents of Real Numbers- 2 RD Sharma Solutions | Mathematics (Maths) Class 9= axb2y

Exponents of Real Numbers- 2 RD Sharma Solutions | Mathematics (Maths) Class 9

Exponents of Real Numbers- 2 RD Sharma Solutions | Mathematics (Maths) Class 9


Q.11. If a and b are different positive primes such that

(i)Exponents of Real Numbers- 2 RD Sharma Solutions | Mathematics (Maths) Class 9= axby, find x and y.


(ii)Exponents of Real Numbers- 2 RD Sharma Solutions | Mathematics (Maths) Class 9= axby, find x + y + 2.

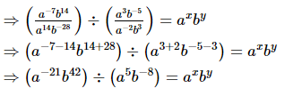
Proof: (i)

Exponents of Real Numbers- 2 RD Sharma Solutions | Mathematics (Maths) Class 9

Exponents of Real Numbers- 2 RD Sharma Solutions | Mathematics (Maths) Class 9

⇒a−21−5b42+8 = axby

⇒a−26b50 = axby

⇒x = −26  and  y = 50

(ii)

Exponents of Real Numbers- 2 RD Sharma Solutions | Mathematics (Maths) Class 9

Exponents of Real Numbers- 2 RD Sharma Solutions | Mathematics (Maths) Class 9

⇒(ab)−1 = axby

⇒a−1b−1 = axby

⇒x=−1  and  y=−1

Therefore, the value of x + y + 2 is −1 −1 + 2 = 0.


Q.12. If 2x × 3y × 5z = 2160, find x , y and z. Hence, compute the value of 3× 2− y × 5− z.

Proof: Given: 2× 3× 5= 2160

First, find out the prime factorization of 2160.

Exponents of Real Numbers- 2 RD Sharma Solutions | Mathematics (Maths) Class 9

It can be observed that 2160 can be written as 2× 3× 51.

Also,

2× 3× 5= 24 × 33 × 51

⇒x = 4, y = 3, z = 1

Therefore, the value of 3× 2−y × 5−z is 3× 2−3 × 5= 81 Exponents of Real Numbers- 2 RD Sharma Solutions | Mathematics (Maths) Class 9


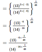
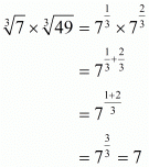
Q.13. If 1176 = 2a × 3b × 7c, find the values of a, b and c. Hence, compute the value of 2a × 3b × 7−c as a fraction.

Proof: First find the prime factorisation of 1176.

Exponents of Real Numbers- 2 RD Sharma Solutions | Mathematics (Maths) Class 9

It can be observed that 1176 can be written as 2× 31 × 72.

1176 = 2a3b7c = 233172

So, a = 3, b = 1 and c = 2.

Therefore, the value of 2a × 3b × 7−c  is 23 × 31 × 7−2= 8 x 3 x 1/49 = Exponents of Real Numbers- 2 RD Sharma Solutions | Mathematics (Maths) Class 9


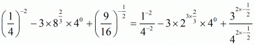
Q.14. Simplify:

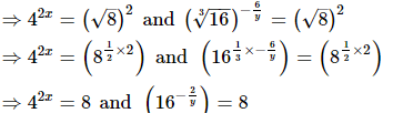
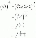
(i)Exponents of Real Numbers- 2 RD Sharma Solutions | Mathematics (Maths) Class 9

(ii)Exponents of Real Numbers- 2 RD Sharma Solutions | Mathematics (Maths) Class 9

Proof: (i)

Exponents of Real Numbers- 2 RD Sharma Solutions | Mathematics (Maths) Class 9 

Exponents of Real Numbers- 2 RD Sharma Solutions | Mathematics (Maths) Class 9

Exponents of Real Numbers- 2 RD Sharma Solutions | Mathematics (Maths) Class 9

Exponents of Real Numbers- 2 RD Sharma Solutions | Mathematics (Maths) Class 9

= 1

(ii)

Exponents of Real Numbers- 2 RD Sharma Solutions | Mathematics (Maths) Class 9 

Exponents of Real Numbers- 2 RD Sharma Solutions | Mathematics (Maths) Class 9

Exponents of Real Numbers- 2 RD Sharma Solutions | Mathematics (Maths) Class 9

= x0

= 1


Q.15. Show that: Exponents of Real Numbers- 2 RD Sharma Solutions | Mathematics (Maths) Class 9

Proof:  

Exponents of Real Numbers- 2 RD Sharma Solutions | Mathematics (Maths) Class 9

Exponents of Real Numbers- 2 RD Sharma Solutions | Mathematics (Maths) Class 9

Exponents of Real Numbers- 2 RD Sharma Solutions | Mathematics (Maths) Class 9

Exponents of Real Numbers- 2 RD Sharma Solutions | Mathematics (Maths) Class 9

Exponents of Real Numbers- 2 RD Sharma Solutions | Mathematics (Maths) Class 9


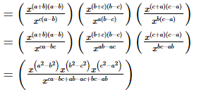
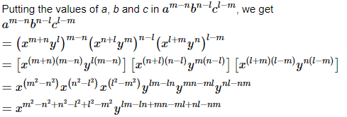
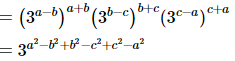
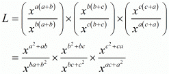
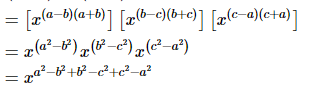
Q.16. (i) If a = xm+nyl, b = xn+lym and c = xl+myn, prove that am−nbn−lcl−m = 1.

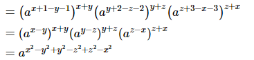
(ii) If x = am+n, y = an+l and z = al+m, prove that xmynzl=xnylzm.

Proof: (i) Given: a = xm+nyl, b = xn+lym and c = xl+myn

Exponents of Real Numbers- 2 RD Sharma Solutions | Mathematics (Maths) Class 9

= x0y0

= 1

(ii) Given:x = am+n, y = an+l and z = al+m

Putting the values of x, y and z in xmynzl, we get

xmynzl

Exponents of Real Numbers- 2 RD Sharma Solutions | Mathematics (Maths) Class 9

=am2+n2+l2+nm+ln+lm

Putting the values of x, y and z in xnylzm, we get

xnylzm

Exponents of Real Numbers- 2 RD Sharma Solutions | Mathematics (Maths) Class 9

So, xmynz= xnylzm


Multiple Choice Questions(MCQs)


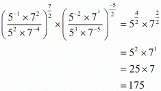
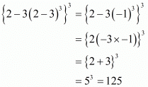
Q.1. The value ofExponents of Real Numbers- 2 RD Sharma Solutions | Mathematics (Maths) Class 9is

(a) 5

(b) 125

(c) 1/5

(d) -125

Proof: We have to find the value ofExponents of Real Numbers- 2 RD Sharma Solutions | Mathematics (Maths) Class 9

So,

Exponents of Real Numbers- 2 RD Sharma Solutions | Mathematics (Maths) Class 9

The value ofExponents of Real Numbers- 2 RD Sharma Solutions | Mathematics (Maths) Class 9is 125

Hence the correct choice isExponents of Real Numbers- 2 RD Sharma Solutions | Mathematics (Maths) Class 9


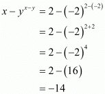
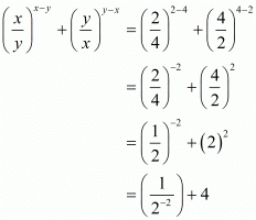
Q.2. The value of x − yx-y when x = 2 and y = −2 is

(a) 18

(b) −18

(c) 14

(d) −14

Proof: GivenExponents of Real Numbers- 2 RD Sharma Solutions | Mathematics (Maths) Class 9

Here x = 2, y = -2

By substitutingExponents of Real Numbers- 2 RD Sharma Solutions | Mathematics (Maths) Class 9 in we get

Exponents of Real Numbers- 2 RD Sharma Solutions | Mathematics (Maths) Class 9

The value ofExponents of Real Numbers- 2 RD Sharma Solutions | Mathematics (Maths) Class 9is -14

Hence the correct choice isExponents of Real Numbers- 2 RD Sharma Solutions | Mathematics (Maths) Class 9


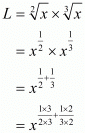
Q.3. The product of the square root of x with the cube root of x is

(a) cube root of the square root of x

(b) sixth root of the fifth power of x

(c) fifth root of the sixth power of x

(d) sixth root of x

Proof: We have to find the product (say L) of the square root of x with the cube root of x is. So, 

Exponents of Real Numbers- 2 RD Sharma Solutions | Mathematics (Maths) Class 9

Exponents of Real Numbers- 2 RD Sharma Solutions | Mathematics (Maths) Class 9

The product of the square root of x with the cube root of x isExponents of Real Numbers- 2 RD Sharma Solutions | Mathematics (Maths) Class 9

Hence the correct alternative isExponents of Real Numbers- 2 RD Sharma Solutions | Mathematics (Maths) Class 9


Q.4. The seventh root of x divided by the eighth root of x is

(a) x

(b) √x

(c)Exponents of Real Numbers- 2 RD Sharma Solutions | Mathematics (Maths) Class 9 

(d)Exponents of Real Numbers- 2 RD Sharma Solutions | Mathematics (Maths) Class 9 

Proof: We have to find he seventh root of x divided by the eighth root of x, so let it be L. So, 

Exponents of Real Numbers- 2 RD Sharma Solutions | Mathematics (Maths) Class 9

Exponents of Real Numbers- 2 RD Sharma Solutions | Mathematics (Maths) Class 9

The seventh root of x divided by the eighth root of x isExponents of Real Numbers- 2 RD Sharma Solutions | Mathematics (Maths) Class 9

Hence the correct choice isExponents of Real Numbers- 2 RD Sharma Solutions | Mathematics (Maths) Class 9


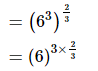
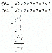
Q.5. The square root of 64 divided by the cube root of 64 is

(a) 64

(b) 2

(c) 1/2

(d) 642/3

Proof: We have to find the value ofExponents of Real Numbers- 2 RD Sharma Solutions | Mathematics (Maths) Class 9

So,

Exponents of Real Numbers- 2 RD Sharma Solutions | Mathematics (Maths) Class 9

Exponents of Real Numbers- 2 RD Sharma Solutions | Mathematics (Maths) Class 9

The value ofExponents of Real Numbers- 2 RD Sharma Solutions | Mathematics (Maths) Class 9is 2

Hence the correct choice isExponents of Real Numbers- 2 RD Sharma Solutions | Mathematics (Maths) Class 9


Q.6. Which of the following is (are) not equal toExponents of Real Numbers- 2 RD Sharma Solutions | Mathematics (Maths) Class 9

(a)Exponents of Real Numbers- 2 RD Sharma Solutions | Mathematics (Maths) Class 9 

(b)Exponents of Real Numbers- 2 RD Sharma Solutions | Mathematics (Maths) Class 9

(c)Exponents of Real Numbers- 2 RD Sharma Solutions | Mathematics (Maths) Class 9

(d)Exponents of Real Numbers- 2 RD Sharma Solutions | Mathematics (Maths) Class 9

Proof: We have to find the value ofExponents of Real Numbers- 2 RD Sharma Solutions | Mathematics (Maths) Class 9

So,

Exponents of Real Numbers- 2 RD Sharma Solutions | Mathematics (Maths) Class 9

Exponents of Real Numbers- 2 RD Sharma Solutions | Mathematics (Maths) Class 9

Hence the correct choice isExponents of Real Numbers- 2 RD Sharma Solutions | Mathematics (Maths) Class 9


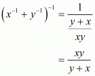
Q.7. When simplified (x−1+y−1)−1 is equal to

(a) xy

(b) x+y

(c) xy/x+y

(d) x+y/xy

Proof: We have to simplifyExponents of Real Numbers- 2 RD Sharma Solutions | Mathematics (Maths) Class 9

So,

Exponents of Real Numbers- 2 RD Sharma Solutions | Mathematics (Maths) Class 9

Exponents of Real Numbers- 2 RD Sharma Solutions | Mathematics (Maths) Class 9

The value ofExponents of Real Numbers- 2 RD Sharma Solutions | Mathematics (Maths) Class 9isExponents of Real Numbers- 2 RD Sharma Solutions | Mathematics (Maths) Class 9

Hence the correct choice isExponents of Real Numbers- 2 RD Sharma Solutions | Mathematics (Maths) Class 9


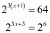
Q.8. If 8x+1 = 64 , what is the value of 32x+1 ?

(a) 1

(b) 3

(c) 9

(d) 27

Proof: We have to find the value ofExponents of Real Numbers- 2 RD Sharma Solutions | Mathematics (Maths) Class 9providedExponents of Real Numbers- 2 RD Sharma Solutions | Mathematics (Maths) Class 9

So,

Exponents of Real Numbers- 2 RD Sharma Solutions | Mathematics (Maths) Class 9

Equating the exponents we get

Exponents of Real Numbers- 2 RD Sharma Solutions | Mathematics (Maths) Class 9

Exponents of Real Numbers- 2 RD Sharma Solutions | Mathematics (Maths) Class 9

By substitute inExponents of Real Numbers- 2 RD Sharma Solutions | Mathematics (Maths) Class 9we get 

Exponents of Real Numbers- 2 RD Sharma Solutions | Mathematics (Maths) Class 9

The real value ofExponents of Real Numbers- 2 RD Sharma Solutions | Mathematics (Maths) Class 9is 27

Hence the correct choice isExponents of Real Numbers- 2 RD Sharma Solutions | Mathematics (Maths) Class 9


Q.9. If (23)2 = 4x, then 3x =

(a) 3

(b) 6

(c) 9

(d) 27

Proof: We have to find the value of 3x provided(23)2 = 4x

So,

23x2 = 22x

2= 22x

By equating the exponents we get

Exponents of Real Numbers- 2 RD Sharma Solutions | Mathematics (Maths) Class 9

By substituting in 3x we get

Exponents of Real Numbers- 2 RD Sharma Solutions | Mathematics (Maths) Class 9 

The value of 3x is 27

Hence the correct choice isExponents of Real Numbers- 2 RD Sharma Solutions | Mathematics (Maths) Class 9


Q.10. If x-2 = 64, then x1/3+x0 =

(a) 2

(b) 3

(c) 3/2

(d) 2/3

Proof: We have to find the value of Exponents of Real Numbers- 2 RD Sharma Solutions | Mathematics (Maths) Class 9if Exponents of Real Numbers- 2 RD Sharma Solutions | Mathematics (Maths) Class 9

Consider,

Exponents of Real Numbers- 2 RD Sharma Solutions | Mathematics (Maths) Class 9

Exponents of Real Numbers- 2 RD Sharma Solutions | Mathematics (Maths) Class 9

MultiplyExponents of Real Numbers- 2 RD Sharma Solutions | Mathematics (Maths) Class 9 on both sides of powers we get

Exponents of Real Numbers- 2 RD Sharma Solutions | Mathematics (Maths) Class 9

By taking reciprocal on both sides we get,

Exponents of Real Numbers- 2 RD Sharma Solutions | Mathematics (Maths) Class 9

SubstitutingExponents of Real Numbers- 2 RD Sharma Solutions | Mathematics (Maths) Class 9inExponents of Real Numbers- 2 RD Sharma Solutions | Mathematics (Maths) Class 9we get,

Exponents of Real Numbers- 2 RD Sharma Solutions | Mathematics (Maths) Class 9

By taking least common multiply we get

Exponents of Real Numbers- 2 RD Sharma Solutions | Mathematics (Maths) Class 9 

Hence the correct choice isExponents of Real Numbers- 2 RD Sharma Solutions | Mathematics (Maths) Class 9


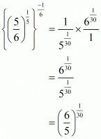
Q.11. When simplifiedExponents of Real Numbers- 2 RD Sharma Solutions | Mathematics (Maths) Class 9is

(a) 9

(b) −9

(c) 1/9

(d) −1/9

Proof: We have to find the value ofExponents of Real Numbers- 2 RD Sharma Solutions | Mathematics (Maths) Class 9

So,

Exponents of Real Numbers- 2 RD Sharma Solutions | Mathematics (Maths) Class 9

Exponents of Real Numbers- 2 RD Sharma Solutions | Mathematics (Maths) Class 9

Hence the correct choice isExponents of Real Numbers- 2 RD Sharma Solutions | Mathematics (Maths) Class 9


Q.12. Which one of the following is not equal toExponents of Real Numbers- 2 RD Sharma Solutions | Mathematics (Maths) Class 9?

(a)Exponents of Real Numbers- 2 RD Sharma Solutions | Mathematics (Maths) Class 9

(b)Exponents of Real Numbers- 2 RD Sharma Solutions | Mathematics (Maths) Class 9

(c)Exponents of Real Numbers- 2 RD Sharma Solutions | Mathematics (Maths) Class 9

(d)Exponents of Real Numbers- 2 RD Sharma Solutions | Mathematics (Maths) Class 9

Proof: We have to find the value ofExponents of Real Numbers- 2 RD Sharma Solutions | Mathematics (Maths) Class 9

So,

Exponents of Real Numbers- 2 RD Sharma Solutions | Mathematics (Maths) Class 9

Exponents of Real Numbers- 2 RD Sharma Solutions | Mathematics (Maths) Class 9

Also,Exponents of Real Numbers- 2 RD Sharma Solutions | Mathematics (Maths) Class 9

Hence the correct alternative isExponents of Real Numbers- 2 RD Sharma Solutions | Mathematics (Maths) Class 9


Q.13. Which one of the following is not equal toExponents of Real Numbers- 2 RD Sharma Solutions | Mathematics (Maths) Class 9?

(a)Exponents of Real Numbers- 2 RD Sharma Solutions | Mathematics (Maths) Class 9

(b)Exponents of Real Numbers- 2 RD Sharma Solutions | Mathematics (Maths) Class 9

(c)Exponents of Real Numbers- 2 RD Sharma Solutions | Mathematics (Maths) Class 9

(d)Exponents of Real Numbers- 2 RD Sharma Solutions | Mathematics (Maths) Class 9

Proof: We have to find the value ofExponents of Real Numbers- 2 RD Sharma Solutions | Mathematics (Maths) Class 9

So,

Exponents of Real Numbers- 2 RD Sharma Solutions | Mathematics (Maths) Class 9

Exponents of Real Numbers- 2 RD Sharma Solutions | Mathematics (Maths) Class 9

Since,Exponents of Real Numbers- 2 RD Sharma Solutions | Mathematics (Maths) Class 9is equal to Exponents of Real Numbers- 2 RD Sharma Solutions | Mathematics (Maths) Class 9,Exponents of Real Numbers- 2 RD Sharma Solutions | Mathematics (Maths) Class 9,Exponents of Real Numbers- 2 RD Sharma Solutions | Mathematics (Maths) Class 9

Hence the correct choice isExponents of Real Numbers- 2 RD Sharma Solutions | Mathematics (Maths) Class 9


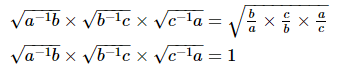
Q.14. If a, b, c are positive real numbers, thenExponents of Real Numbers- 2 RD Sharma Solutions | Mathematics (Maths) Class 9 is equal to 

(a) 1

(b) abc

(c) √abc

(d) 1/abc

Proof: We have to find the value ofExponents of Real Numbers- 2 RD Sharma Solutions | Mathematics (Maths) Class 9 when a, b, c are positive real numbers.

So,

Exponents of Real Numbers- 2 RD Sharma Solutions | Mathematics (Maths) Class 9

Taking square root as common we get

Exponents of Real Numbers- 2 RD Sharma Solutions | Mathematics (Maths) Class 9

Hence the correct alternative isExponents of Real Numbers- 2 RD Sharma Solutions | Mathematics (Maths) Class 9


Q.15. Exponents of Real Numbers- 2 RD Sharma Solutions | Mathematics (Maths) Class 9, then x =

(a) 2

(b) 3

(c) 4

(d) 1

Proof: We have to find value of x providedExponents of Real Numbers- 2 RD Sharma Solutions | Mathematics (Maths) Class 9

So,

Exponents of Real Numbers- 2 RD Sharma Solutions | Mathematics (Maths) Class 9

Exponents of Real Numbers- 2 RD Sharma Solutions | Mathematics (Maths) Class 9

Equating exponents of power we get x = 4

Hence the correct alternative isExponents of Real Numbers- 2 RD Sharma Solutions | Mathematics (Maths) Class 9


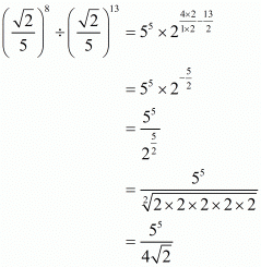
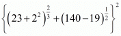
Q.16. The value ofExponents of Real Numbers- 2 RD Sharma Solutions | Mathematics (Maths) Class 9 is

(a) 1/2

(b) 2

(c) 1/4

(d) 4

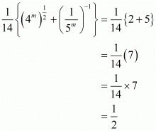
Proof: Find the value ofExponents of Real Numbers- 2 RD Sharma Solutions | Mathematics (Maths) Class 9

Exponents of Real Numbers- 2 RD Sharma Solutions | Mathematics (Maths) Class 9

Exponents of Real Numbers- 2 RD Sharma Solutions | Mathematics (Maths) Class 9

Hence the correct choice isExponents of Real Numbers- 2 RD Sharma Solutions | Mathematics (Maths) Class 9


Q.17. If a, b, c are positive real numbers, thenExponents of Real Numbers- 2 RD Sharma Solutions | Mathematics (Maths) Class 9is equal to

(a) 5a2bc2

(b) 25ab2c

(c) 5a3bc3

(d) 125a2bc2

Proof: Find value of Exponents of Real Numbers- 2 RD Sharma Solutions | Mathematics (Maths) Class 9

Exponents of Real Numbers- 2 RD Sharma Solutions | Mathematics (Maths) Class 9

Exponents of Real Numbers- 2 RD Sharma Solutions | Mathematics (Maths) Class 9

Hence the correct choice isExponents of Real Numbers- 2 RD Sharma Solutions | Mathematics (Maths) Class 9


Q.18. If a, m, n are positive integers, thenExponents of Real Numbers- 2 RD Sharma Solutions | Mathematics (Maths) Class 9is equal to

(a) amn

(b) a

(c) am/n

(d) 1

Proof: Find the value ofExponents of Real Numbers- 2 RD Sharma Solutions | Mathematics (Maths) Class 9

So,

Exponents of Real Numbers- 2 RD Sharma Solutions | Mathematics (Maths) Class 9

Exponents of Real Numbers- 2 RD Sharma Solutions | Mathematics (Maths) Class 9

Exponents of Real Numbers- 2 RD Sharma Solutions | Mathematics (Maths) Class 9

Hence the correct choice isExponents of Real Numbers- 2 RD Sharma Solutions | Mathematics (Maths) Class 9


Q.19. If x = 2 and y = 4, thenExponents of Real Numbers- 2 RD Sharma Solutions | Mathematics (Maths) Class 9=

(a) 4

(b) 8

(c) 12

(d) 2

Proof: We have to find the value ofExponents of Real Numbers- 2 RD Sharma Solutions | Mathematics (Maths) Class 9

Substitute x = 2, y = 4 inExponents of Real Numbers- 2 RD Sharma Solutions | Mathematics (Maths) Class 9to get

Exponents of Real Numbers- 2 RD Sharma Solutions | Mathematics (Maths) Class 9

Exponents of Real Numbers- 2 RD Sharma Solutions | Mathematics (Maths) Class 9

Hence the correct choice isExponents of Real Numbers- 2 RD Sharma Solutions | Mathematics (Maths) Class 9


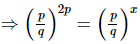
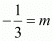
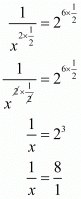
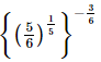
Q.20. The value of m for whichExponents of Real Numbers- 2 RD Sharma Solutions | Mathematics (Maths) Class 9=7m,  is

(a) −1/3

(b) 1/4

(c) −3

(d) 2

Proof:  We have to find the value of forExponents of Real Numbers- 2 RD Sharma Solutions | Mathematics (Maths) Class 9

Exponents of Real Numbers- 2 RD Sharma Solutions | Mathematics (Maths) Class 9

By using rational exponentsExponents of Real Numbers- 2 RD Sharma Solutions | Mathematics (Maths) Class 9

7−1/3=7m

Equating power of exponents we getExponents of Real Numbers- 2 RD Sharma Solutions | Mathematics (Maths) Class 9

Hence the correct choice isExponents of Real Numbers- 2 RD Sharma Solutions | Mathematics (Maths) Class 9


Q.21. The value ofExponents of Real Numbers- 2 RD Sharma Solutions | Mathematics (Maths) Class 9, is

(a) 196

(b) 289

(c) 324

(d) 400

Proof: We have to find the value of Exponents of Real Numbers- 2 RD Sharma Solutions | Mathematics (Maths) Class 9

Exponents of Real Numbers- 2 RD Sharma Solutions | Mathematics (Maths) Class 9

Exponents of Real Numbers- 2 RD Sharma Solutions | Mathematics (Maths) Class 9

Exponents of Real Numbers- 2 RD Sharma Solutions | Mathematics (Maths) Class 9

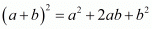
By using the identityExponents of Real Numbers- 2 RD Sharma Solutions | Mathematics (Maths) Class 9 we get,

Exponents of Real Numbers- 2 RD Sharma Solutions | Mathematics (Maths) Class 9

Hence correct choice isExponents of Real Numbers- 2 RD Sharma Solutions | Mathematics (Maths) Class 9


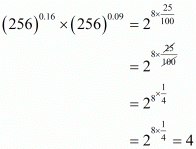
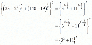
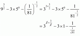
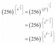
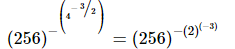
Q.22. (256)0.16 × (256)0.09

(a) 4

(b) 16

(c) 64

(d) 256.25

Proof: We have to find the value ofExponents of Real Numbers- 2 RD Sharma Solutions | Mathematics (Maths) Class 9

By using law of rational exponents

Exponents of Real Numbers- 2 RD Sharma Solutions | Mathematics (Maths) Class 9

Exponents of Real Numbers- 2 RD Sharma Solutions | Mathematics (Maths) Class 9

Exponents of Real Numbers- 2 RD Sharma Solutions | Mathematics (Maths) Class 9

The value ofExponents of Real Numbers- 2 RD Sharma Solutions | Mathematics (Maths) Class 9is 4

Hence the correct choice isExponents of Real Numbers- 2 RD Sharma Solutions | Mathematics (Maths) Class 9


Q.23. If , then 10-y equals

(a) −1/5

(b) 1/50

(c) 1/625

(d) 1/5

Proof: We have to find the value of 10-y

Given that 102y = 25 therefore,

Exponents of Real Numbers- 2 RD Sharma Solutions | Mathematics (Maths) Class 9

Exponents of Real Numbers- 2 RD Sharma Solutions | Mathematics (Maths) Class 9

Hence the correct option isExponents of Real Numbers- 2 RD Sharma Solutions | Mathematics (Maths) Class 9.


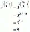
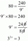
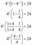
Q.24. If 9x+2 = 240 + 9x, then x  = z

(a) 0.5

(b) 0.2

(c) 0.4

(d) 0.1

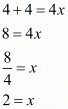
Proof: We have to find the value of x

Given, 9x+2 = 240 + 9x

Exponents of Real Numbers- 2 RD Sharma Solutions | Mathematics (Maths) Class 9

Exponents of Real Numbers- 2 RD Sharma Solutions | Mathematics (Maths) Class 9

32x = 31

By equating the exponents we get 

2x = 1

x = 1/2

x = 0.5

Hence the correct alternative isExponents of Real Numbers- 2 RD Sharma Solutions | Mathematics (Maths) Class 9.


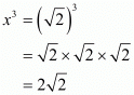
Q.25. If x is a positive real number and x2 = 2, then x3 =

(a) √2

(b) 2√2

(c) 3√2

(d) 4

Proof: We have to find x3 provided x2 = 2. So,

By raising both sides to the power 1/2

Exponents of Real Numbers- 2 RD Sharma Solutions | Mathematics (Maths) Class 9

By substitutingExponents of Real Numbers- 2 RD Sharma Solutions | Mathematics (Maths) Class 9in x3 we get

Exponents of Real Numbers- 2 RD Sharma Solutions | Mathematics (Maths) Class 9

The value of x3 isExponents of Real Numbers- 2 RD Sharma Solutions | Mathematics (Maths) Class 9

Hence the correct choice isExponents of Real Numbers- 2 RD Sharma Solutions | Mathematics (Maths) Class 9.


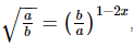
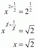
Q.26. IfExponents of Real Numbers- 2 RD Sharma Solutions | Mathematics (Maths) Class 9and x > 0, then x =

(a) √2/4

(b) 2√2

(c) 4

(d) 64  

Proof: ForExponents of Real Numbers- 2 RD Sharma Solutions | Mathematics (Maths) Class 9, we have to find the value of x

So,

Exponents of Real Numbers- 2 RD Sharma Solutions | Mathematics (Maths) Class 9

Exponents of Real Numbers- 2 RD Sharma Solutions | Mathematics (Maths) Class 9

Exponents of Real Numbers- 2 RD Sharma Solutions | Mathematics (Maths) Class 9

Exponents of Real Numbers- 2 RD Sharma Solutions | Mathematics (Maths) Class 9

By raising both sides to the power 2 we get

Exponents of Real Numbers- 2 RD Sharma Solutions | Mathematics (Maths) Class 9

The value of x  is 64

Hence the correct alternative isExponents of Real Numbers- 2 RD Sharma Solutions | Mathematics (Maths) Class 9


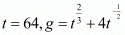
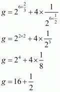
Q.27. If g = t2/3 + 4t − 1/2, What is the value of g when t = 64?

(a) 21/2

(b) 33/2

(c) 16

(d) 257/16

Proof: GivenExponents of Real Numbers- 2 RD Sharma Solutions | Mathematics (Maths) Class 9We have to find the value of 

So,

Exponents of Real Numbers- 2 RD Sharma Solutions | Mathematics (Maths) Class 9

Exponents of Real Numbers- 2 RD Sharma Solutions | Mathematics (Maths) Class 9

Exponents of Real Numbers- 2 RD Sharma Solutions | Mathematics (Maths) Class 9

The value of g is 33/2

Hence the correct choice isExponents of Real Numbers- 2 RD Sharma Solutions | Mathematics (Maths) Class 9


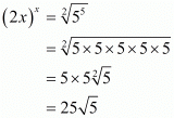
Q.28. If 4x − 4x−1 = 24, then (2x)x equals

(a) 5√5

(b) √5

(c) 25√5

(d) 125

Proof: We have to find the value ofExponents of Real Numbers- 2 RD Sharma Solutions | Mathematics (Maths) Class 9

So,

Taking 4x as common factor we get 

Exponents of Real Numbers- 2 RD Sharma Solutions | Mathematics (Maths) Class 9

Exponents of Real Numbers- 2 RD Sharma Solutions | Mathematics (Maths) Class 9

By equating powers of exponents we get

Exponents of Real Numbers- 2 RD Sharma Solutions | Mathematics (Maths) Class 9 

By substitutingExponents of Real Numbers- 2 RD Sharma Solutions | Mathematics (Maths) Class 9in Exponents of Real Numbers- 2 RD Sharma Solutions | Mathematics (Maths) Class 9we get

Exponents of Real Numbers- 2 RD Sharma Solutions | Mathematics (Maths) Class 9

Exponents of Real Numbers- 2 RD Sharma Solutions | Mathematics (Maths) Class 9

Hence the correct choice isExponents of Real Numbers- 2 RD Sharma Solutions | Mathematics (Maths) Class 9


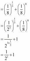
Q.29. When simplifiedExponents of Real Numbers- 2 RD Sharma Solutions | Mathematics (Maths) Class 9is

(a) 8

(b) 1/8

(c) 2

(d) 1/2

Proof: Exponents of Real Numbers- 2 RD Sharma Solutions | Mathematics (Maths) Class 9

Exponents of Real Numbers- 2 RD Sharma Solutions | Mathematics (Maths) Class 9

Exponents of Real Numbers- 2 RD Sharma Solutions | Mathematics (Maths) Class 9

Exponents of Real Numbers- 2 RD Sharma Solutions | Mathematics (Maths) Class 9

Exponents of Real Numbers- 2 RD Sharma Solutions | Mathematics (Maths) Class 9

Hence the correct choice isExponents of Real Numbers- 2 RD Sharma Solutions | Mathematics (Maths) Class 9.


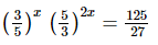
Q.30. IfExponents of Real Numbers- 2 RD Sharma Solutions | Mathematics (Maths) Class 9,  then x =

(a) 2

(b) 3

(c) 5

(d) 4

Proof: We have to find the value of x providedExponents of Real Numbers- 2 RD Sharma Solutions | Mathematics (Maths) Class 9

So,

Exponents of Real Numbers- 2 RD Sharma Solutions | Mathematics (Maths) Class 9

By cross multiplication we get

Exponents of Real Numbers- 2 RD Sharma Solutions | Mathematics (Maths) Class 9

By equating exponents we get 

Exponents of Real Numbers- 2 RD Sharma Solutions | Mathematics (Maths) Class 9

And,

Exponents of Real Numbers- 2 RD Sharma Solutions | Mathematics (Maths) Class 9

Hence the correct choice isExponents of Real Numbers- 2 RD Sharma Solutions | Mathematics (Maths) Class 9


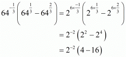
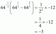
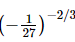
Q.31. The value of 64-1/3 (641/3-642/3), is

(a) 1

(b) 1/3

(c) −3

(d) −2

Proof: Find the value ofExponents of Real Numbers- 2 RD Sharma Solutions | Mathematics (Maths) Class 9

So,

Exponents of Real Numbers- 2 RD Sharma Solutions | Mathematics (Maths) Class 9

Exponents of Real Numbers- 2 RD Sharma Solutions | Mathematics (Maths) Class 9

Hence the correct statement isExponents of Real Numbers- 2 RD Sharma Solutions | Mathematics (Maths) Class 9.


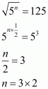
Q.32. If √5= 125, thenExponents of Real Numbers- 2 RD Sharma Solutions | Mathematics (Maths) Class 9 =

(a) 25

(b) 1/125

(c) 625

(d) 1/5

Proof: We have to findExponents of Real Numbers- 2 RD Sharma Solutions | Mathematics (Maths) Class 9providedExponents of Real Numbers- 2 RD Sharma Solutions | Mathematics (Maths) Class 9

So,

Exponents of Real Numbers- 2 RD Sharma Solutions | Mathematics (Maths) Class 9

Substitute n = 6  inExponents of Real Numbers- 2 RD Sharma Solutions | Mathematics (Maths) Class 9 to get

Exponents of Real Numbers- 2 RD Sharma Solutions | Mathematics (Maths) Class 9

Hence the value ofExponents of Real Numbers- 2 RD Sharma Solutions | Mathematics (Maths) Class 9is 25

The correct choice isExponents of Real Numbers- 2 RD Sharma Solutions | Mathematics (Maths) Class 9


Q.33. If (16)2x+3 =(64)x+3, then 42x-2 =

(a) 64

(b) 256

(c) 32

(d) 512

Proof: We have to find the value of 42x-2 providedExponents of Real Numbers- 2 RD Sharma Solutions | Mathematics (Maths) Class 9

So,

Exponents of Real Numbers- 2 RD Sharma Solutions | Mathematics (Maths) Class 9

Equating the power of exponents we get

Exponents of Real Numbers- 2 RD Sharma Solutions | Mathematics (Maths) Class 9

x = 3

The value of 42x-2 is

Exponents of Real Numbers- 2 RD Sharma Solutions | Mathematics (Maths) Class 9

Hence the correct alternative isExponents of Real Numbers- 2 RD Sharma Solutions | Mathematics (Maths) Class 9


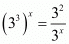
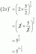
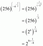
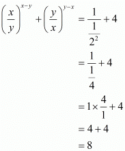
Q.34. If Exponents of Real Numbers- 2 RD Sharma Solutions | Mathematics (Maths) Class 9thenExponents of Real Numbers- 2 RD Sharma Solutions | Mathematics (Maths) Class 9is equal to

(a) 1/2

(b) 2  

(c) 4

(d) −1/4

Proof: We have to find the value ofExponents of Real Numbers- 2 RD Sharma Solutions | Mathematics (Maths) Class 9provided Exponents of Real Numbers- 2 RD Sharma Solutions | Mathematics (Maths) Class 9

Consider,

Exponents of Real Numbers- 2 RD Sharma Solutions | Mathematics (Maths) Class 9

Equating the power of exponents we get 

2m = 2

m = 2/2

m = 1

By substitutingExponents of Real Numbers- 2 RD Sharma Solutions | Mathematics (Maths) Class 9 we get 

Exponents of Real Numbers- 2 RD Sharma Solutions | Mathematics (Maths) Class 9

Exponents of Real Numbers- 2 RD Sharma Solutions | Mathematics (Maths) Class 9

Hence the correct choice isExponents of Real Numbers- 2 RD Sharma Solutions | Mathematics (Maths) Class 9.


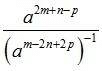
Q.35. IfExponents of Real Numbers- 2 RD Sharma Solutions | Mathematics (Maths) Class 9,Exponents of Real Numbers- 2 RD Sharma Solutions | Mathematics (Maths) Class 9and a = 21/10 , thenExponents of Real Numbers- 2 RD Sharma Solutions | Mathematics (Maths) Class 9=

a) 2

(b) 1/4

(c) 9

(d) 1/8

Proof: Given :Exponents of Real Numbers- 2 RD Sharma Solutions | Mathematics (Maths) Class 9,Exponents of Real Numbers- 2 RD Sharma Solutions | Mathematics (Maths) Class 9 and a = 21/10

To find : Exponents of Real Numbers- 2 RD Sharma Solutions | Mathematics (Maths) Class 9

Find :Exponents of Real Numbers- 2 RD Sharma Solutions | Mathematics (Maths) Class 9

By using rational componentsExponents of Real Numbers- 2 RD Sharma Solutions | Mathematics (Maths) Class 9 We get

Exponents of Real Numbers- 2 RD Sharma Solutions | Mathematics (Maths) Class 9

By equating rational exponents we get

Exponents of Real Numbers- 2 RD Sharma Solutions | Mathematics (Maths) Class 9 

Now,Exponents of Real Numbers- 2 RD Sharma Solutions | Mathematics (Maths) Class 9= (a2m+n−p).(am−2n+2p) we get

=a2m+n−p+m−2n+2p

=a3m−n+p

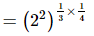
Now putting value of a = 21/10 we get,

Exponents of Real Numbers- 2 RD Sharma Solutions | Mathematics (Maths) Class 9

On comparing LHS and RHS we get, p - n = 4.

Now, 

Exponents of Real Numbers- 2 RD Sharma Solutions | Mathematics (Maths) Class 9= a3m - n + p

Exponents of Real Numbers- 2 RD Sharma Solutions | Mathematics (Maths) Class 9

= 2

So, option (a) is the correct answer.


Q.36. IfExponents of Real Numbers- 2 RD Sharma Solutions | Mathematics (Maths) Class 9=37 , then x 

(a) 3

(b) −3

(c) 1/3

(d) −1/3

Proof:  We have to find the value of x providedExponents of Real Numbers- 2 RD Sharma Solutions | Mathematics (Maths) Class 9

So,

Exponents of Real Numbers- 2 RD Sharma Solutions | Mathematics (Maths) Class 9

By using law of rational exponents we get

Exponents of Real Numbers- 2 RD Sharma Solutions | Mathematics (Maths) Class 9

By equating exponents we get

Exponents of Real Numbers- 2 RD Sharma Solutions | Mathematics (Maths) Class 9

Exponents of Real Numbers- 2 RD Sharma Solutions | Mathematics (Maths) Class 9

Hence the correct choice isExponents of Real Numbers- 2 RD Sharma Solutions | Mathematics (Maths) Class 9.


Q.37. If o <y <x, which statement must be true?

(a) √x−√y = √x−y

(b) √x + √x = √2x

(c) x√y = y√x

(d) √xy = √x√y

Proof: We have to find which statement must be true?

Given 0<y<x,

Option (a) :

Left hand side:

Exponents of Real Numbers- 2 RD Sharma Solutions | Mathematics (Maths) Class 9

Left hand side is not equal to right hand side 

The statement is wrong. 

Option (b) : 

Exponents of Real Numbers- 2 RD Sharma Solutions | Mathematics (Maths) Class 9

Left hand side:

Exponents of Real Numbers- 2 RD Sharma Solutions | Mathematics (Maths) Class 9

Right Hand side:

Exponents of Real Numbers- 2 RD Sharma Solutions | Mathematics (Maths) Class 9

Left hand side is not equal to right hand side 

The statement is wrong.

Option (c) : 

Exponents of Real Numbers- 2 RD Sharma Solutions | Mathematics (Maths) Class 9

Left hand side:

Exponents of Real Numbers- 2 RD Sharma Solutions | Mathematics (Maths) Class 9

Right Hand side:

Exponents of Real Numbers- 2 RD Sharma Solutions | Mathematics (Maths) Class 9

Left hand side is not equal to right hand side 

The statement is wrong.

Option (d) :

Exponents of Real Numbers- 2 RD Sharma Solutions | Mathematics (Maths) Class 9 

Left hand side:

Exponents of Real Numbers- 2 RD Sharma Solutions | Mathematics (Maths) Class 9 

Right Hand side:

Exponents of Real Numbers- 2 RD Sharma Solutions | Mathematics (Maths) Class 9

Left hand side is equal to right hand side 

The statement is true.

Hence the correct choice isExponents of Real Numbers- 2 RD Sharma Solutions | Mathematics (Maths) Class 9


Q.38. If 10x = 64, what is the value of 10x/2+1 ?

(a) 18

(b) 42

(c) 80

(d) 81

Proof: We have to find the value ofExponents of Real Numbers- 2 RD Sharma Solutions | Mathematics (Maths) Class 9providedExponents of Real Numbers- 2 RD Sharma Solutions | Mathematics (Maths) Class 9

So,

Exponents of Real Numbers- 2 RD Sharma Solutions | Mathematics (Maths) Class 9

By substitutingExponents of Real Numbers- 2 RD Sharma Solutions | Mathematics (Maths) Class 9 we get

Exponents of Real Numbers- 2 RD Sharma Solutions | Mathematics (Maths) Class 9

Hence the correct choice isExponents of Real Numbers- 2 RD Sharma Solutions | Mathematics (Maths) Class 9.


Q.39. Exponents of Real Numbers- 2 RD Sharma Solutions | Mathematics (Maths) Class 9 is equal to

(a) 5/3

(b) −5/3

(c) 3/5

(d) −3/5

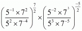
Proof: We have to simplifyExponents of Real Numbers- 2 RD Sharma Solutions | Mathematics (Maths) Class 9

Taking 5n as a common factor we get

Exponents of Real Numbers- 2 RD Sharma Solutions | Mathematics (Maths) Class 9

Hence the correct alternative isExponents of Real Numbers- 2 RD Sharma Solutions | Mathematics (Maths) Class 9.


Q.40. IfExponents of Real Numbers- 2 RD Sharma Solutions | Mathematics (Maths) Class 9thenExponents of Real Numbers- 2 RD Sharma Solutions | Mathematics (Maths) Class 9=

(a) 3

(b) 9

(c) 27

(d) 81

Proof: We have to findExponents of Real Numbers- 2 RD Sharma Solutions | Mathematics (Maths) Class 9

GivenExponents of Real Numbers- 2 RD Sharma Solutions | Mathematics (Maths) Class 9

Exponents of Real Numbers- 2 RD Sharma Solutions | Mathematics (Maths) Class 9

Equating powers of rational exponents we get 

Exponents of Real Numbers- 2 RD Sharma Solutions | Mathematics (Maths) Class 9

Substituting inExponents of Real Numbers- 2 RD Sharma Solutions | Mathematics (Maths) Class 9we get

Exponents of Real Numbers- 2 RD Sharma Solutions | Mathematics (Maths) Class 9

Hence the correct choice isExponents of Real Numbers- 2 RD Sharma Solutions | Mathematics (Maths) Class 9.


Fill in the Blanks Types of Questions(FBQs)


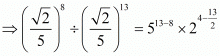
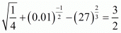
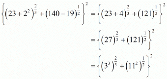
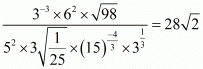
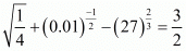
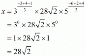
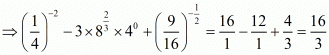
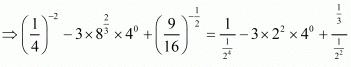
Q.1. (212 – 152)2/3 is equal to ________.

Proof: Exponents of Real Numbers- 2 RD Sharma Solutions | Mathematics (Maths) Class 9

Exponents of Real Numbers- 2 RD Sharma Solutions | Mathematics (Maths) Class 9

Exponents of Real Numbers- 2 RD Sharma Solutions | Mathematics (Maths) Class 9

= (6)2

= 36

Hence, (21– 152)2/3 is equal to 36.


Q.2. 811/4 × 93/2 × 27–4/3 is equal to _________.

Proof: Exponents of Real Numbers- 2 RD Sharma Solutions | Mathematics (Maths) Class 9

Exponents of Real Numbers- 2 RD Sharma Solutions | Mathematics (Maths) Class 9

Exponents of Real Numbers- 2 RD Sharma Solutions | Mathematics (Maths) Class 9

Exponents of Real Numbers- 2 RD Sharma Solutions | Mathematics (Maths) Class 9

Exponents of Real Numbers- 2 RD Sharma Solutions | Mathematics (Maths) Class 9

= 1

Hence, 811/4 × 93/2 × 27–4/3 is equal to 1.


Q.3. Exponents of Real Numbers- 2 RD Sharma Solutions | Mathematics (Maths) Class 9= __________. 

Proof: Exponents of Real Numbers- 2 RD Sharma Solutions | Mathematics (Maths) Class 9

Exponents of Real Numbers- 2 RD Sharma Solutions | Mathematics (Maths) Class 9

Exponents of Real Numbers- 2 RD Sharma Solutions | Mathematics (Maths) Class 9

Exponents of Real Numbers- 2 RD Sharma Solutions | Mathematics (Maths) Class 9

Hence,Exponents of Real Numbers- 2 RD Sharma Solutions | Mathematics (Maths) Class 9


Q.4. If x = 82/3 × 32–2/5, then x–5 = ________.

Proof: Let x = Exponents of Real Numbers- 2 RD Sharma Solutions | Mathematics (Maths) Class 9

⇒x = Exponents of Real Numbers- 2 RD Sharma Solutions | Mathematics (Maths) Class 9

⇒x = Exponents of Real Numbers- 2 RD Sharma Solutions | Mathematics (Maths) Class 9

⇒x = Exponents of Real Numbers- 2 RD Sharma Solutions | Mathematics (Maths) Class 9

⇒x =Exponents of Real Numbers- 2 RD Sharma Solutions | Mathematics (Maths) Class 9

⇒x = 1

Now,

Exponents of Real Numbers- 2 RD Sharma Solutions | Mathematics (Maths) Class 9

= 1

Hence, if x = 82/3 × 32–2/5, then x–5 = 1.


Q.5. If 6= 1296, then 6n–3 = _________.

Proof: Let 6n=1296

⇒6n = 64

⇒n = 4

Now,

6n−3=64−3       

=6      

=6

Hence, if 6n = 1296, then 6n–3 = 6.


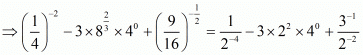
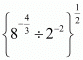
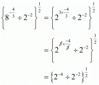
Q.6. The value of 4 × (256)–1/4 ÷ (243)1/5 is ________.

Proof: Let x=Exponents of Real Numbers- 2 RD Sharma Solutions | Mathematics (Maths) Class 9

⇒x =Exponents of Real Numbers- 2 RD Sharma Solutions | Mathematics (Maths) Class 9

⇒x =Exponents of Real Numbers- 2 RD Sharma Solutions | Mathematics (Maths) Class 9

⇒x =Exponents of Real Numbers- 2 RD Sharma Solutions | Mathematics (Maths) Class 9

⇒x =Exponents of Real Numbers- 2 RD Sharma Solutions | Mathematics (Maths) Class 9

⇒x = 1 ÷ 3

⇒x = 1/3

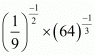
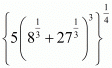
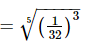
Hence, the value of 4 × (256)–1/4 ÷ (243)1/5 isExponents of Real Numbers- 2 RD Sharma Solutions | Mathematics (Maths) Class 9


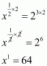
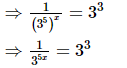
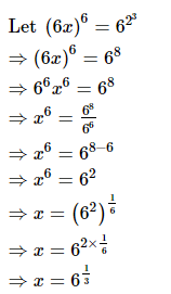
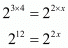
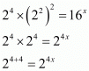
Q.7. If (6x)6=623, then x = ________.

Proof: 

Exponents of Real Numbers- 2 RD Sharma Solutions | Mathematics (Maths) Class 9

Hence, ifExponents of Real Numbers- 2 RD Sharma Solutions | Mathematics (Maths) Class 9


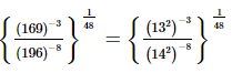
Q.8. Exponents of Real Numbers- 2 RD Sharma Solutions | Mathematics (Maths) Class 9= ___________.

Proof: 

Exponents of Real Numbers- 2 RD Sharma Solutions | Mathematics (Maths) Class 9

Exponents of Real Numbers- 2 RD Sharma Solutions | Mathematics (Maths) Class 9(using the identity: a2−b2=(a+b)(a−b))

Exponents of Real Numbers- 2 RD Sharma Solutions | Mathematics (Maths) Class 9

Hence,Exponents of Real Numbers- 2 RD Sharma Solutions | Mathematics (Maths) Class 9


Q.9. Exponents of Real Numbers- 2 RD Sharma Solutions | Mathematics (Maths) Class 9then x =_________.

Proof: 

Exponents of Real Numbers- 2 RD Sharma Solutions | Mathematics (Maths) Class 9

Exponents of Real Numbers- 2 RD Sharma Solutions | Mathematics (Maths) Class 9

Exponents of Real Numbers- 2 RD Sharma Solutions | Mathematics (Maths) Class 9

Exponents of Real Numbers- 2 RD Sharma Solutions | Mathematics (Maths) Class 9

Exponents of Real Numbers- 2 RD Sharma Solutions | Mathematics (Maths) Class 9

Exponents of Real Numbers- 2 RD Sharma Solutions | Mathematics (Maths) Class 9

Exponents of Real Numbers- 2 RD Sharma Solutions | Mathematics (Maths) Class 9

Exponents of Real Numbers- 2 RD Sharma Solutions | Mathematics (Maths) Class 9

⇒2p = x

⇒x = 2p

Hence, ifExponents of Real Numbers- 2 RD Sharma Solutions | Mathematics (Maths) Class 9 then x=2p.


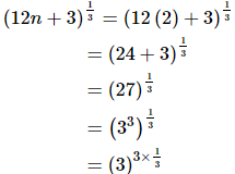
Q.10. If 5n+2 = 625, then (12n + 3)1/3 = _________.

Proof: Let 5n+2=625

⇒5n+2 = 54

⇒n+2 =4

⇒n = 2

Now,


Exponents of Real Numbers- 2 RD Sharma Solutions | Mathematics (Maths) Class 9

= 3

Hence, if 5n+2 = 625, then (12n + 3)1/3 = 3.


Q.11. IfExponents of Real Numbers- 2 RD Sharma Solutions | Mathematics (Maths) Class 9= __________.

Proof: 

Exponents of Real Numbers- 2 RD Sharma Solutions | Mathematics (Maths) Class 9

Exponents of Real Numbers- 2 RD Sharma Solutions | Mathematics (Maths) Class 9

Exponents of Real Numbers- 2 RD Sharma Solutions | Mathematics (Maths) Class 9

Exponents of Real Numbers- 2 RD Sharma Solutions | Mathematics (Maths) Class 9

=(a)−a

Exponents of Real Numbers- 2 RD Sharma Solutions | Mathematics (Maths) Class 9

Hence,Exponents of Real Numbers- 2 RD Sharma Solutions | Mathematics (Maths) Class 9


Q.12. IfExponents of Real Numbers- 2 RD Sharma Solutions | Mathematics (Maths) Class 9=33 , then 5x + 6y = __________.

Proof: Given:Exponents of Real Numbers- 2 RD Sharma Solutions | Mathematics (Maths) Class 9 =33

Exponents of Real Numbers- 2 RD Sharma Solutions | Mathematics (Maths) Class 9

Exponents of Real Numbers- 2 RD Sharma Solutions | Mathematics (Maths) Class 9

⇒3−5x = 33

⇒−5x = 3

⇒5x = −3           ...(1)

(729)= 33

⇒(36)y = 33

⇒36= 33

⇒6y = 3               ...(2)

Adding (1) and (2), we get

5x + 6y=−3 + 3          

=0

Hence, 5x + 6y = 0.


Q.13. If 6x–y = 36 and 3x+y = 729, then x2 – y2 = _________.

Proof: Given: 6x−y = 36

and 3x+y = 729 

6x−y = 36

⇒ 6x−y = 62

⇒x−y = 2              ...(1)

3x+y = 729

⇒3x+y = 36

⇒x+y = 6               ...(2)

Adding (1) and (2), we get

2x = 8

⇒x = 4

Substituting the value of x in (2), we get

4+y = 6

⇒y = 2

Now,

x2−y= 42−22          

=16 − 4          

=12

Hence, x2 – y2 = 12.


Q.14. Exponents of Real Numbers- 2 RD Sharma Solutions | Mathematics (Maths) Class 9equals __________.

Proof: 

Exponents of Real Numbers- 2 RD Sharma Solutions | Mathematics (Maths) Class 9

Exponents of Real Numbers- 2 RD Sharma Solutions | Mathematics (Maths) Class 9

Exponents of Real Numbers- 2 RD Sharma Solutions | Mathematics (Maths) Class 9

=(2)1/6

Hence,Exponents of Real Numbers- 2 RD Sharma Solutions | Mathematics (Maths) Class 9 equalsExponents of Real Numbers- 2 RD Sharma Solutions | Mathematics (Maths) Class 9


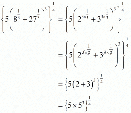
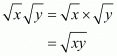
Q.15. The productExponents of Real Numbers- 2 RD Sharma Solutions | Mathematics (Maths) Class 9is equal to ________.

Proof: Exponents of Real Numbers- 2 RD Sharma Solutions | Mathematics (Maths) Class 9

Exponents of Real Numbers- 2 RD Sharma Solutions | Mathematics (Maths) Class 9

Exponents of Real Numbers- 2 RD Sharma Solutions | Mathematics (Maths) Class 9

= (2)1                     

= 2

Hence, the productExponents of Real Numbers- 2 RD Sharma Solutions | Mathematics (Maths) Class 9 is equal to 2.


Q.16. Exponents of Real Numbers- 2 RD Sharma Solutions | Mathematics (Maths) Class 9is equal to _________.

Proof: Exponents of Real Numbers- 2 RD Sharma Solutions | Mathematics (Maths) Class 9

Exponents of Real Numbers- 2 RD Sharma Solutions | Mathematics (Maths) Class 9

= (3)−2             

= 1/32             

= 1/9

Hence,Exponents of Real Numbers- 2 RD Sharma Solutions | Mathematics (Maths) Class 9  is equal toExponents of Real Numbers- 2 RD Sharma Solutions | Mathematics (Maths) Class 9


Q.17. The value of (256)0.16  × (256)0.09 is ________.

Proof: (256)0.16 × (256)0.09 = (256)0.16+0.09

= (256)0.25

Exponents of Real Numbers- 2 RD Sharma Solutions | Mathematics (Maths) Class 9

= (2)2                            

= 4

Hence, the value of (256)0.16  × (256)0.09 is 4.


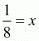
Very Short Answer Type Questions(VSAQs)


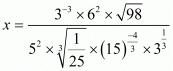
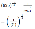
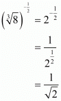
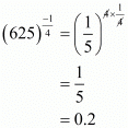
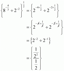
Q.1. Write (625)−1/4 in decimal form.

Proof: We have to write (625)−1/4 in decimal form. So,

Exponents of Real Numbers- 2 RD Sharma Solutions | Mathematics (Maths) Class 9

Exponents of Real Numbers- 2 RD Sharma Solutions | Mathematics (Maths) Class 9

Hence the decimal form ofExponents of Real Numbers- 2 RD Sharma Solutions | Mathematics (Maths) Class 9is Exponents of Real Numbers- 2 RD Sharma Solutions | Mathematics (Maths) Class 9


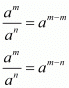
Q.2. State the product law of exponents.

Proof: 

State the product law of exponents.

If is any real number and m ,n  are positive integers, then

Exponents of Real Numbers- 2 RD Sharma Solutions | Mathematics (Maths) Class 9

By definition, we have

Exponents of Real Numbers- 2 RD Sharma Solutions | Mathematics (Maths) Class 9

am x an = am+n

Thus the exponent "product rule" tells us that, when multiplying two powers that have the same base, we can add the exponents. 


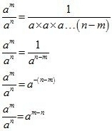
Q.3. State the quotient law of exponents.

Proof: The quotient rule tells us that we can divide two powers with the same base by subtracting the exponents. If a is a non-zero real number and m, n are positive integers, thenExponents of Real Numbers- 2 RD Sharma Solutions | Mathematics (Maths) Class 9

We shall divide the proof into three parts 

(i) when m > n

(ii) when m = n

(iii) when m < n

Case 1

when m > n

We have 

Exponents of Real Numbers- 2 RD Sharma Solutions | Mathematics (Maths) Class 9

Case 2

when m = n

We get

Exponents of Real Numbers- 2 RD Sharma Solutions | Mathematics (Maths) Class 9

Cancelling common factors in numerator and denominator we get,

Exponents of Real Numbers- 2 RD Sharma Solutions | Mathematics (Maths) Class 9

By definition we can write 1 as a0

Exponents of Real Numbers- 2 RD Sharma Solutions | Mathematics (Maths) Class 9

Case 3

when m < n

In this case, we have 

Exponents of Real Numbers- 2 RD Sharma Solutions | Mathematics (Maths) Class 9

HenceExponents of Real Numbers- 2 RD Sharma Solutions | Mathematics (Maths) Class 9, whether m > n,m = n or, m < n


Q.4. State the power law of exponents.

Proof: The "power rule" tell us that to raise a power to a power, just multiply the exponents. 

If a is any real number and m, n are positive integers, thenExponents of Real Numbers- 2 RD Sharma Solutions | Mathematics (Maths) Class 9

We have,

Exponents of Real Numbers- 2 RD Sharma Solutions | Mathematics (Maths) Class 9factors

Exponents of Real Numbers- 2 RD Sharma Solutions | Mathematics (Maths) Class 9factors

Exponents of Real Numbers- 2 RD Sharma Solutions | Mathematics (Maths) Class 9

Hence,Exponents of Real Numbers- 2 RD Sharma Solutions | Mathematics (Maths) Class 9


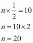
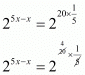
Q.5. If 24 × 42 =16x, then find the value of x.

Proof: We have to find the value of x provided 24 × 42 =16x

So,

Exponents of Real Numbers- 2 RD Sharma Solutions | Mathematics (Maths) Class 9

By equating the exponents we get

Exponents of Real Numbers- 2 RD Sharma Solutions | Mathematics (Maths) Class 9

Hence the value of x is Exponents of Real Numbers- 2 RD Sharma Solutions | Mathematics (Maths) Class 9.


Q.6. If 3x-1 = 9 and 4y+2 = 64, what is the value of x/y ?

Proof: We have to find the value ofExponents of Real Numbers- 2 RD Sharma Solutions | Mathematics (Maths) Class 9for Exponents of Real Numbers- 2 RD Sharma Solutions | Mathematics (Maths) Class 9

So,

Exponents of Real Numbers- 2 RD Sharma Solutions | Mathematics (Maths) Class 9

By equating the exponent we get

Exponents of Real Numbers- 2 RD Sharma Solutions | Mathematics (Maths) Class 9

Let’s takeExponents of Real Numbers- 2 RD Sharma Solutions | Mathematics (Maths) Class 9

Exponents of Real Numbers- 2 RD Sharma Solutions | Mathematics (Maths) Class 9

By equating the exponent we get

Exponents of Real Numbers- 2 RD Sharma Solutions | Mathematics (Maths) Class 9

By substituting x = 3, y = 1 we get 3 / 1

Hence the value of x/y is 3.


Q.7. Write the value ofExponents of Real Numbers- 2 RD Sharma Solutions | Mathematics (Maths) Class 9

Proof: We have to find the value of Exponents of Real Numbers- 2 RD Sharma Solutions | Mathematics (Maths) Class 9  So,

Exponents of Real Numbers- 2 RD Sharma Solutions | Mathematics (Maths) Class 9

By using law rational exponentsExponents of Real Numbers- 2 RD Sharma Solutions | Mathematics (Maths) Class 9we get

Exponents of Real Numbers- 2 RD Sharma Solutions | Mathematics (Maths) Class 9

Hence the value ofExponents of Real Numbers- 2 RD Sharma Solutions | Mathematics (Maths) Class 9is Exponents of Real Numbers- 2 RD Sharma Solutions | Mathematics (Maths) Class 9


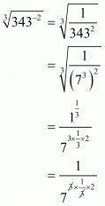
Q.8. WriteExponents of Real Numbers- 2 RD Sharma Solutions | Mathematics (Maths) Class 9as a rational number.

Proof: We have to find the value of Exponents of Real Numbers- 2 RD Sharma Solutions | Mathematics (Maths) Class 9

So,

Exponents of Real Numbers- 2 RD Sharma Solutions | Mathematics (Maths) Class 9

Exponents of Real Numbers- 2 RD Sharma Solutions | Mathematics (Maths) Class 9

Hence the value of the value ofExponents of Real Numbers- 2 RD Sharma Solutions | Mathematics (Maths) Class 9isExponents of Real Numbers- 2 RD Sharma Solutions | Mathematics (Maths) Class 9.


Q.9. Write the value ofExponents of Real Numbers- 2 RD Sharma Solutions | Mathematics (Maths) Class 9

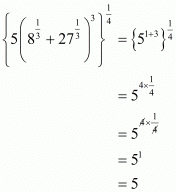
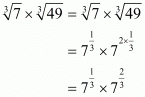
Proof: We have to find the value ofExponents of Real Numbers- 2 RD Sharma Solutions | Mathematics (Maths) Class 9 So,

Exponents of Real Numbers- 2 RD Sharma Solutions | Mathematics (Maths) Class 9= = 5×3 =15

Hence the value of the value ofExponents of Real Numbers- 2 RD Sharma Solutions | Mathematics (Maths) Class 9 isExponents of Real Numbers- 2 RD Sharma Solutions | Mathematics (Maths) Class 9


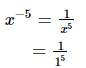
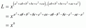
Q.10. For any positive real number x, find the value of

Exponents of Real Numbers- 2 RD Sharma Solutions | Mathematics (Maths) Class 9

Proof: We have to find the value of L = Exponents of Real Numbers- 2 RD Sharma Solutions | Mathematics (Maths) Class 9

Exponents of Real Numbers- 2 RD Sharma Solutions | Mathematics (Maths) Class 9

By using rational exponentsExponents of Real Numbers- 2 RD Sharma Solutions | Mathematics (Maths) Class 9we get

Exponents of Real Numbers- 2 RD Sharma Solutions | Mathematics (Maths) Class 9

By using rational exponentsExponents of Real Numbers- 2 RD Sharma Solutions | Mathematics (Maths) Class 9we get 

Exponents of Real Numbers- 2 RD Sharma Solutions | Mathematics (Maths) Class 9

By definition we can write x0 as 1

Hence the value of expression isExponents of Real Numbers- 2 RD Sharma Solutions | Mathematics (Maths) Class 9.


Q.11. Write the value ofExponents of Real Numbers- 2 RD Sharma Solutions | Mathematics (Maths) Class 9

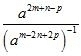
Proof: We have to find the value ofExponents of Real Numbers- 2 RD Sharma Solutions | Mathematics (Maths) Class 9 So,

Exponents of Real Numbers- 2 RD Sharma Solutions | Mathematics (Maths) Class 9

By using rational exponentsExponents of Real Numbers- 2 RD Sharma Solutions | Mathematics (Maths) Class 9  we get

Exponents of Real Numbers- 2 RD Sharma Solutions | Mathematics (Maths) Class 9

Hence the simplified value ofExponents of Real Numbers- 2 RD Sharma Solutions | Mathematics (Maths) Class 9isExponents of Real Numbers- 2 RD Sharma Solutions | Mathematics (Maths) Class 9.


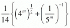
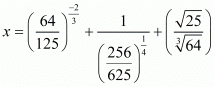
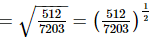
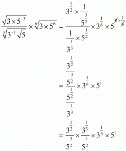
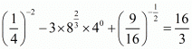
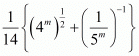
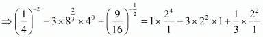
Q.12. SimplifyExponents of Real Numbers- 2 RD Sharma Solutions | Mathematics (Maths) Class 9

Proof: We have to simplifyExponents of Real Numbers- 2 RD Sharma Solutions | Mathematics (Maths) Class 9 So,

Exponents of Real Numbers- 2 RD Sharma Solutions | Mathematics (Maths) Class 9

Exponents of Real Numbers- 2 RD Sharma Solutions | Mathematics (Maths) Class 9

Hence, the value ofExponents of Real Numbers- 2 RD Sharma Solutions | Mathematics (Maths) Class 9is Exponents of Real Numbers- 2 RD Sharma Solutions | Mathematics (Maths) Class 9.


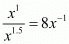
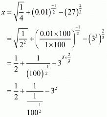
Q.13. For any positive real number x, write the value of

Exponents of Real Numbers- 2 RD Sharma Solutions | Mathematics (Maths) Class 9

Proof: We have to simplifyExponents of Real Numbers- 2 RD Sharma Solutions | Mathematics (Maths) Class 9So,

Exponents of Real Numbers- 2 RD Sharma Solutions | Mathematics (Maths) Class 9

By using rational exponentsExponents of Real Numbers- 2 RD Sharma Solutions | Mathematics (Maths) Class 9, we get

Exponents of Real Numbers- 2 RD Sharma Solutions | Mathematics (Maths) Class 9

Hence the value ofExponents of Real Numbers- 2 RD Sharma Solutions | Mathematics (Maths) Class 9is x3.


Q.14. If (x − 1)3 = 8, What is the value of (x + 1)?

Proof: We have to find the value of  (x + 1)2, where (x − 1)3 = 8

Consider (x − 1)3 =23

By equating the base, we get

x - 2 = 1

x = 2 + 1

x = 3

By substituting x = 3 in (x + 1)2

= (x + 1)2

= (3 + 1)2is 

= 42

= 16

Hence the value of(x + 1)2 is 16.

The document Exponents of Real Numbers- 2 RD Sharma Solutions | Mathematics (Maths) Class 9 is a part of the Class 9 Course Mathematics (Maths) Class 9.
All you need of Class 9 at this link: Class 9
40 videos|471 docs|57 tests

FAQs on Exponents of Real Numbers- 2 RD Sharma Solutions - Mathematics (Maths) Class 9

1. What are exponents of real numbers?
Ans. Exponents of real numbers are a way to express repeated multiplication of a number by itself. In simple terms, an exponent represents the number of times a base number is multiplied by itself.
2. How do you simplify expressions with exponents?
Ans. To simplify expressions with exponents, you can use the rules of exponents. These rules include multiplying exponents with the same base, dividing exponents with the same base, and raising a power to a power. By applying these rules, you can simplify the expression to its simplest form.
3. What is the meaning of a negative exponent?
Ans. A negative exponent indicates the reciprocal of a number raised to a positive exponent. For example, if a number is raised to the power of -2, it means the reciprocal of that number raised to the power of 2. Negative exponents are used to represent fractions or decimals that are less than 1.
4. Can exponents be applied to any real number?
Ans. Yes, exponents can be applied to any real number. The base number can be positive, negative, or zero. However, when dealing with negative or fractional exponents, it is important to consider the rules of exponents and understand their implications.
5. How are exponents used in real-life situations?
Ans. Exponents are used in various real-life situations, such as compound interest calculations, population growth, scientific notation, and exponential decay. They help simplify and represent large or small numbers more efficiently and accurately. For example, exponential growth can be observed in the spread of viruses or the growth of a population over time.
Related Searches

Exam

,

Viva Questions

,

MCQs

,

Sample Paper

,

video lectures

,

Important questions

,

Exponents of Real Numbers- 2 RD Sharma Solutions | Mathematics (Maths) Class 9

,

Objective type Questions

,

study material

,

Previous Year Questions with Solutions

,

Semester Notes

,

Exponents of Real Numbers- 2 RD Sharma Solutions | Mathematics (Maths) Class 9

,

ppt

,

practice quizzes

,

Extra Questions

,

shortcuts and tricks

,

Free

,

pdf

,

Summary

,

past year papers

,

mock tests for examination

,

Exponents of Real Numbers- 2 RD Sharma Solutions | Mathematics (Maths) Class 9

;