Class 9 Exam  >  Class 9 Notes  >  Advance Learner Course: Mathematics (Maths) Class 9  >  RD Sharma Solutions: Polynomials (Exercise 2.2 & 2.3)

Polynomials (Exercise 2.2 & 2.3) RD Sharma Solutions | Advance Learner Course: Mathematics (Maths) Class 9 PDF Download

                                                         Exercise 2.2

Question: 1
Verify that the numbers given alongside the cubic polynomials below are their zeroes. Also, verify the relationship between the zeroes and coefficients in each of the following cases:

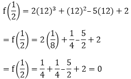
(i) f(x) = 2x3+ x2– 5x + 2; 1/2, 1, – 2
(ii)  g(x) = x3– 4x2 + 5x – 2; 2, 1, 1
Solution:
 

(i) f(x) = 2x3 + x2 – 5x + 2;  1/2, 1, – 2
(a) By putting x = 1/2 in the above equation, we will get
Polynomials (Exercise 2.2 & 2.3) RD Sharma Solutions | Advance Learner Course: Mathematics (Maths) Class 9
(b) By putting x = 1 in the above equation, we will get
f(1) = 2(1)3 + (1)2 – 5(1) + 2
= 2 + 1 – 5 + 2 = 0
(c) By putting x = -2 in the above equation, we will get
f(−2) = 2(−2)3 + (−2)2 – 5(−2) + 2
= -16 + 4 + 10 + 2 = – 16 + 16 = 0
Now,
Sum of zeroes = α + β + γ = - b/a
Polynomials (Exercise 2.2 & 2.3) RD Sharma Solutions | Advance Learner Course: Mathematics (Maths) Class 9
Product of the zeroes = αβ + βγ + αγ = c/a
Polynomials (Exercise 2.2 & 2.3) RD Sharma Solutions | Advance Learner Course: Mathematics (Maths) Class 9
Hence, verified.

(ii) g(x) = x3 – 4x2 + 5x – 2; 2, 1, 1
(a) By putting x = 2 in the given equation, we will get
g(2) = (2)3 – 4(2)2 + 5(2) – 2
= 8 – 16 + 10 – 2 = 18 – 18 = 0
(b) By putting x = 1 in the given equation, we will get
g(1) = (1)3 – 4(1)2 + 5(1) – 2
= 1 – 4 + 5 – 2
= 0
Now,
Sum of zeroes= α + β + γ =-b/a
⇒ 2 + 1 + 1 = −(−4) 
4 = 4
Product of the zeroes = αβ + βγ + αγ = c/a
2 × 1 + 1 × 1 + 1 × 2 = 5
2 + 1 + 2 = 5
5 = 5
αβγ  = –(−2)
2 × 1 × 1 = 2
2 = 2
Hence, verified.


Question: 2
Find a cubic polynomial with the sum, sum of the product of its zeroes is taken two at a time, and product of its zeroes as 3, – 1 and – 3 respectively.
Solution:
Any cubic polynomial is of the form ax3 + bx2 + cx + d:
= x3 – (sum of the zeroes) x2 + (sum of the products of its zeroes) x – (product of the zeroes)
= x3 – 3x2 + (−1)x + (−3)
= k[x3 – 3x2 – x – 3]
k is any non-zero real numbers.


Question: 3
If the zeroes of the polynomial f(x) = 2x3 – 15x2 + 37x – 30, find them.
Solution: 
Let, α = a – d, β = a and γ = a + d be the zeroes of the polynomial.
f(x) = 2x3 – 15x2 + 37x – 30
Polynomials (Exercise 2.2 & 2.3) RD Sharma Solutions | Advance Learner Course: Mathematics (Maths) Class 9
And, a (a2 + d2) = 15
Polynomials (Exercise 2.2 & 2.3) RD Sharma Solutions | Advance Learner Course: Mathematics (Maths) Class 9


Question: 4
Find the condition that the zeroes of the polynomial f(x) = x3 + 3px2 + 3qx + r may be in A.P.
Solution: 

f(x) = x3 + 3px2 + 3qx + r
Let, a – d, a, a + d be the zeroes of the polynomial.
Then,
The sum of zeroes = – b/a
a + a – d + a + d = -3p 3a = -3p a = -p Since, a is the zero of the polynomial f(x),
Therefore, f(a) = 0
f(a) = a3 + 3pa2 + 3qa + r = 0
Therefore, f(a) = 0f(a) = 0
⇒ a3 + 3pa2 + 3qa + r = 0
= ⇒ (−p)3 + 3p(−p)2 + 3q(−p) + r = 0
= − p3 + 3p3 – pq + r = 0
= 2p3 – pq + r = 0


Question: 5
If zeroes of the polynomial f(x) = ax3 + 3bx2 + 3cx + d are tin A.P., prove that 2b3 – 3abc + a2d = 0.
Solution:

f(x) = x3 + 3px2 + 3qx + r
Let, a – d, a, a + d be the zeroes of the polynomial.
Then,
The sum of zeroes = - b/a
a + a – d + a + d = – 3b/a
Polynomials (Exercise 2.2 & 2.3) RD Sharma Solutions | Advance Learner Course: Mathematics (Maths) Class 9
Since, f(a) = 0
⇒ a(a2) + 3b(a)2 + 3c(a) + d = 0
⇒ a(a2) + 3b(a)2 + 3c(a) + d = 0 
Polynomials (Exercise 2.2 & 2.3) RD Sharma Solutions | Advance Learner Course: Mathematics (Maths) Class 9


Question: 6
If the zeroes of the polynomial f(x) = x3 – 12x2 + 39x + k are in A.P., find the value of k.
Solution: 

f(x) = x3 – 12x2 + 39x + k
Let, a-d, a, a + d be the zeroes of the polynomial f(x).
The sum of the zeroes = 12
3a = 12
a = 4
Now,
f(a) = 0
f(a) = a3 – 12a2 + 39a + k f(4) = 43 – 12(4)2 + 39(4) + k = 0
f(4) = 43 –12(4)2 + 39(4) + k = 0
64 – 192 + 156 + k = 0
k = – 28


                                                        Exercise 2.3

Question: 1
Apply division algorithm to find the quotient q(x) and remainder r(x) on dividing f(x) by g(x) in each of the following:
(i) f(x) = x3 – 6x2 + 11x – 6, g(x) = x2 + x + 1
(ii) f(x) = 10x4 + 17x3 – 62x2 + 30x – 105, g(x) = 2x2 + 7x + 1
(iii) f(x) = 4x3 + 8x2 + 8x + 7, g(x) = 2x2 – x + 1
(iv) f(x) = 15x3 – 20x2 + 13x – 12, g(x) = x2 – 2x + 2
Solution: 
(i) f(x) = x3 – 6x2 + 11x – 6 and g(x) = x2 + x + 1
Polynomials (Exercise 2.2 & 2.3) RD Sharma Solutions | Advance Learner Course: Mathematics (Maths) Class 9
(ii) f(x) = 10x4 + 17x3 – 62x2 + 30x – 105, g(x) = 2x2 + 7x + 1
Polynomials (Exercise 2.2 & 2.3) RD Sharma Solutions | Advance Learner Course: Mathematics (Maths) Class 9
(iii) f(x) = 4x3 + 8x2 + 8x + 7, g(x) = 2x2 – x + 1
Polynomials (Exercise 2.2 & 2.3) RD Sharma Solutions | Advance Learner Course: Mathematics (Maths) Class 9
(iv) f(x) = 15x3 – 20x2 + 13x – 12, g(x) = x2 – 2x + 2
Polynomials (Exercise 2.2 & 2.3) RD Sharma Solutions | Advance Learner Course: Mathematics (Maths) Class 9


Question: 2
Check whether the first polynomial is a factor of the second polynomial by applying the division algorithm:
(i) g(t) = t2 – 3; f(t) = 2t4 + 3t3 – 2t2 – 9t – 12
(ii) g(x) = x2 – 3x + 1; f(x) = x5 – 4x3 + x2 + 3x + 1
(iii) g(x) = 2x2 – x + 3; f(x) = 6x5 − x4 + 4x3 – 5x2 – x – 15
Solution:

(i) g(t) = t2 – 3; f(t) = 2t4 + 3t3 – 2t2 – 9t – 12
Polynomials (Exercise 2.2 & 2.3) RD Sharma Solutions | Advance Learner Course: Mathematics (Maths) Class 9
g(t) = t2 – 3g(t) = t2 – 3 f(t) = 2t4 + 3t3 – 2t2 – 9t Therefore, g(t) is the factor of f(t).
(ii) g(x) = x2 – 3x + 1; f(x) = x5 – 4x3 + x2 + 3x + 1

Polynomials (Exercise 2.2 & 2.3) RD Sharma Solutions | Advance Learner Course: Mathematics (Maths) Class 9
g(x) = x2 – 3x + 1 g(x) = x2 – 3x + 1 f(x) = x5 – 4x3 + x2 + 3x + 1.Therefore, g(x) is not the factor of f(x).
(iii) g(x) = 2x2 – x + 3; f(x) = 6x5 − x4 + 4x3 – 5x2 – x – 15

Polynomials (Exercise 2.2 & 2.3) RD Sharma Solutions | Advance Learner Course: Mathematics (Maths) Class 9
g(x) = 2x2 – x + 3 g(x) = 2x– x + 3 f(x) = 6x− x4 + 4x3 – 5x2 – x – 15


Question: 3
Obtain all zeroes of the polynomial f(x) = f(x) = 2x4 + x3 – 14x2 – 19x – 6, if two of its zeroes are -2 and -1.
Solution:

f(x) = 2x4 + x3 – 14x2 – 19x – 6
If the two zeroes of the polynomial are -2 and -1, then its factors are (x + 2) and (x + 1)
(x + 2)(x + 1) = x2 + x + 2x + 2 = x2 + 3x + 2
Polynomials (Exercise 2.2 & 2.3) RD Sharma Solutions | Advance Learner Course: Mathematics (Maths) Class 9
f(x) = 2x4 + x3 – 14x2 – 19x – 6 = (2x2 – 5x – 3)(x2 + 3x + 2)
= (2x + 1)(x – 3)(x + 2)(x + 1)
Therefore, zeroes of the polynomial = - 1/2, 3, -2 , -1


Question: 4
Obtain all zeroes of f(x) = x3 + 13x2 + 32x + 20, if one of its zeroes is -2.
Solution:

f(x) = x3 + 13x2 + 32x + 20
Since, the zero of the polynomial is -2 so, it means its factor is (x + 2).
Polynomials (Exercise 2.2 & 2.3) RD Sharma Solutions | Advance Learner Course: Mathematics (Maths) Class 9

So, f(x) = x3 + 13x2 + 32x + 20 =  (x2 + 11x + 10)(x + 2)
= (x2 + 10x + x + 10)(x + 2)

= (x + 10)(x + 1)(x + 2)
Therefore, the zeroes of the polynomial are – 1, – 10, – 2.


Question: 5
Obtain all zeroes of the polynomial f(x) = x4 – 3x3 – x2 + 9x – 6, if the two of its zeroes are – √3 and √3.
Solution:

f(x) = x4 – 3x3 – x2 + 9x – 6 Since, two of the zeroes of polynomial are -√3 and √3 so,(x + √3)(x – √3) = x2– 3x2 – 3
Polynomials (Exercise 2.2 & 2.3) RD Sharma Solutions | Advance Learner Course: Mathematics (Maths) Class 9
So, f(x) = x4 – 3x2 – x2 + 9x – 6 = (x2 – 3)(x2 – 3x + 2)
= (x + √3)(x – √3)x2– 2x – 2 + 2)

= (x + √3)(x – √3)(x – 1)(x – 2)
Therefore, the zeroes of the polynomial are - √3, √3, 1, 2.


Question: 6
Obtain all zeroes of the polynomial f(x) = 2x4 – 2x3 – 7x2 + x – 1, if the two of its zeroes are – √(3/2) and √(3/2).
Solution:

f(x) = 2x4 – 2x3 – 7x2 + x – 1 Since, - √(3/2)  and √(3/2) are the zeroes of the polynomial, so the factors are
Polynomials (Exercise 2.2 & 2.3) RD Sharma Solutions | Advance Learner Course: Mathematics (Maths) Class 9
Polynomials (Exercise 2.2 & 2.3) RD Sharma Solutions | Advance Learner Course: Mathematics (Maths) Class 9
So, f(x) = 2x4– 2x3–7x2+ x – 1
Polynomials (Exercise 2.2 & 2.3) RD Sharma Solutions | Advance Learner Course: Mathematics (Maths) Class 9
Therefore, the zeroes of the polynomial = x = -1, 2, -√(3/2) and √(3/2).


Question: 7
Find all the zeroes of the polynomial x4 + x3 – 34x2 – 4x + 120, if the two of its zeroes are 2 and – 2.
Solution:

x4 + x3 – 34x2 – 4x + 120 Since, the two zeroes of the polynomial given is 2 and – 2 So, factors are (x + 2)(x – 2) =  x2 + 2x – 2x – 4 = x2 – 4x2 – 4
Polynomials (Exercise 2.2 & 2.3) RD Sharma Solutions | Advance Learner Course: Mathematics (Maths) Class 9    
So, x4 + x3 – 34x2 – 4x + 120 = (x2 – 4)(x2 + x – 30)
= (x – 2)(x + 2)(x2 + 6x – 5x – 30)
=  (x – 2)(x + 2)(x + 6)(x – 5)
Therefore, the zeroes of the polynomial = x = 2, – 2, – 6, 5


Question: 8 
Find all the zeroes of the polynomial 2x4 + 7x3 – 19x2 – 14x + 30, if the two of its zeroes are √2 and - √2.
Solution:

2x4 + 7x3 – 19x2 – 14x + 302 Since, √2 and-√2 are the zeroes of the polynomial given. So, factors are (x + √2) and (x - √2)
= x2+√2x – √2x – 2 = x2 – 2
Polynomials (Exercise 2.2 & 2.3) RD Sharma Solutions | Advance Learner Course: Mathematics (Maths) Class 9
So, 2x4 + 7x3 – 19x2 – 14x + 30 = (x2 – 2)(2x2 + 7x – 15)
= (2x2+ 10x – 3x – 15)(x + √2)(x – √2)
= (2x – 3)(x + 5)(x + √2)(x – √2)
Therefore, the zeroes of the polynomial is √2,- √2,-5, 3/2.


Question: 9
Find all the zeroes of the polynomial f(x) = 2x3 + x2 – 6x – 3, if two of its zeroes are – √3 and √3.
Solution: 

f(x) = 2x3 + x2 – 6x – 3 Since, -√3 and √3 are the zeroes of the given polynomial So, factors are (x - √3) and (x + √3)
= (x2– √3x + √3x – 3) = (x2 – 3)
Polynomials (Exercise 2.2 & 2.3) RD Sharma Solutions | Advance Learner Course: Mathematics (Maths) Class 9

So, f(x) = 2x3 + x2 – 6x – 3 = (x2 – 3)(2x + 1)
= (x – √3)(x + √3)(2x + 1)
Therefore, set of zeroes for the given polynomial = √3,– √3, –1/2


Question: 10
Find all the zeroes of the polynomial f(x) = x3 + 3x2 – 2x – 6, if the two of its zeroes are √2 and - √2.
Solution:

f(x) = x3 + 3x2 – 2x – 6 Since, √2 and -√2 are the two zeroes of the given polynomial. So, factors are (x + √2) and (x - √2)
= x2+ √2x – √2x – 2 = x2 – 2
Polynomials (Exercise 2.2 & 2.3) RD Sharma Solutions | Advance Learner Course: Mathematics (Maths) Class 9
By division algorithm, we have:
f(x) = x3 + 3x2 – 2x – 6 = (x2 – 2)(x + 3)
= (x – √2)(x + √2)(x + 3)
Therefore, the zeroes of the given polynomial is - √2, √2 and – 3.


Question: 11
What must be added to the polynomial f(x) = x4 + 2x3 – 2x2 + x − 1 so that the resulting polynomial is exactly divisible by g(x) = x2 + 2x − 3.
Solution:

f(x) = x4 + 2x3 – 2x2 + x − 1
Polynomials (Exercise 2.2 & 2.3) RD Sharma Solutions | Advance Learner Course: Mathematics (Maths) Class 9
We must add (x – 2) in order to get the resulting polynomial exactly divisible by g(x) = x2 + 2x − 3.


Question: 12
What must be subtracted from the polynomial f(x) = x4 + 2x3 – 13x2 –12x + 21 so that the resulting polynomial is exactly divisible by g(x) = x2 – 4x + 3.
Solution:

f(x) = x4 + 2x3 – 13x2 – 12x + 21
Polynomials (Exercise 2.2 & 2.3) RD Sharma Solutions | Advance Learner Course: Mathematics (Maths) Class 9
We must subtract (2x – 3) in order to get the resulting polynomial exactly divisible by g(x) = x2 – 4x + 3.


Question: 13
Given that √2 is a zero of the cubic polynomial f(x) = 6x3+ √2x2– 10x – 4√2, find its other two zeroes.
Solution:

f(x) = 6x3+√2x2 – 10x – 4√2 Since, √2 is a zero of the cubic polynomial So, factor is (x–√2)
Polynomials (Exercise 2.2 & 2.3) RD Sharma Solutions | Advance Learner Course: Mathematics (Maths) Class 9
Polynomials (Exercise 2.2 & 2.3) RD Sharma Solutions | Advance Learner Course: Mathematics (Maths) Class 9
Polynomials (Exercise 2.2 & 2.3) RD Sharma Solutions | Advance Learner Course: Mathematics (Maths) Class 9


Question: 14
Given that x – √5 is a factor of the cubic polynomial Polynomials (Exercise 2.2 & 2.3) RD Sharma Solutions | Advance Learner Course: Mathematics (Maths) Class 9 find all the zeroes of the polynomial.
Solution: 

Polynomials (Exercise 2.2 & 2.3) RD Sharma Solutions | Advance Learner Course: Mathematics (Maths) Class 9
In the question, it’s given that x – √5 is a factor of the cubic polynomial.
Polynomials (Exercise 2.2 & 2.3) RD Sharma Solutions | Advance Learner Course: Mathematics (Maths) Class 9
Polynomials (Exercise 2.2 & 2.3) RD Sharma Solutions | Advance Learner Course: Mathematics (Maths) Class 9
So, the zeroes of the polynomial Polynomials (Exercise 2.2 & 2.3) RD Sharma Solutions | Advance Learner Course: Mathematics (Maths) Class 9    

The document Polynomials (Exercise 2.2 & 2.3) RD Sharma Solutions | Advance Learner Course: Mathematics (Maths) Class 9 is a part of the Class 9 Course Advance Learner Course: Mathematics (Maths) Class 9.
All you need of Class 9 at this link: Class 9
13 videos|79 docs|29 tests

FAQs on Polynomials (Exercise 2.2 & 2.3) RD Sharma Solutions - Advance Learner Course: Mathematics (Maths) Class 9

1. What are polynomials and how are they defined?
Ans. Polynomials are algebraic expressions that consist of variables, coefficients, and exponents. They are defined as the sum of terms, where each term is a product of a coefficient and a variable raised to a non-negative integer exponent.
2. How can we classify polynomials based on their degrees?
Ans. Polynomials can be classified based on their degrees, which is the highest power of the variable in the expression. If the degree is 0, the polynomial is a constant. If the degree is 1, it is a linear polynomial. If the degree is 2, it is a quadratic polynomial. Similarly, if the degree is 3, 4, 5, and so on, it is a cubic, quartic, quintic, and so on, respectively.
3. Can a polynomial have more than one variable?
Ans. Yes, a polynomial can have more than one variable. In such cases, each term of the polynomial will still be a product of a coefficient and the variables raised to non-negative integer exponents. For example, a polynomial with two variables could be 3x^2y + 5xy^2 - 2x^3.
4. How can we perform operations like addition, subtraction, and multiplication on polynomials?
Ans. To perform addition or subtraction of polynomials, we simply combine the like terms by adding or subtracting their coefficients. For multiplication of polynomials, we use the distributive property to multiply each term of one polynomial by each term of the other polynomial, and then combine like terms if any.
5. What are the zeros of a polynomial and how can we find them?
Ans. The zeros of a polynomial are the values of the variable that make the polynomial equal to zero. To find the zeros, we set the polynomial equal to zero and solve the resulting equation. The solutions of the equation are the zeros of the polynomial, and they can be found by factoring, using the quadratic formula, or synthetic division, depending on the degree of the polynomial.
Related Searches

Polynomials (Exercise 2.2 & 2.3) RD Sharma Solutions | Advance Learner Course: Mathematics (Maths) Class 9

,

Important questions

,

past year papers

,

Summary

,

Objective type Questions

,

Free

,

practice quizzes

,

study material

,

ppt

,

MCQs

,

Polynomials (Exercise 2.2 & 2.3) RD Sharma Solutions | Advance Learner Course: Mathematics (Maths) Class 9

,

Polynomials (Exercise 2.2 & 2.3) RD Sharma Solutions | Advance Learner Course: Mathematics (Maths) Class 9

,

Sample Paper

,

Previous Year Questions with Solutions

,

Viva Questions

,

shortcuts and tricks

,

Exam

,

video lectures

,

mock tests for examination

,

pdf

,

Extra Questions

,

Semester Notes

;