Physics Exam  >  Physics Notes  >  Modern Physics  >  Radioactive Decay

Radioactive Decay | Modern Physics PDF Download

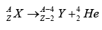
Alpha Decay 

Nuclei which contain 210 or more nucleons are so large that the short range nuclear forces that hold them together are barely able to counterbalance the mutual repulsion of their protons. Alpha decay occurs in such nuclei as a means of increasing their stability by reducing their size

Radioactive Decay | Modern Physics
To escape from nucleus, a particle must have K.E., and only the alpha particle mass is sufficiently smaller than that of its constituent nucleons for such energy to be available (α-particle have high B.E. as compared to proton or Radioactive Decay | Modern Physics nuclei).
The energy Q-released when various particles are emitted by a heavy nucleus is, i.e.
Disintegration energy Q = (mi - mf - mx)c2 where

mi =  Mass of initial nuclei,  
mf = mass of final nuclei,
mx = α -particle mass
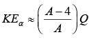
The KEα of the emitted α-particle is never quite equal to Q, since momentum must be conserved, the nucleus recoils with a small amount of kinetic energy when the α-particle emerges. Thus
Radioactive Decay | Modern Physics
since A ≥ 210, most of the disintegration energy appears as the K.E. of the α-particle.

Tunnel Theory of α-decay 


(How α-particle can actually escape the nucleus)
The height of the potential barrier is ≈ 25 MeV , which is equal to the work that must be done against the repulsive electric force to bring an α-particle from infinity to a position adjacent to the nucleus but just outside the range of its attractive forces.
We may therefore regard an α-particle in such a nucleus as being inside a box whose box requires energy of 25 MeV to be surmounted. However, decay α-particles have energies that range from 4 to 9 MeV, depending on the particular nuclide involved, 16 to 21 MeV short of the energy needed for escape.

Radioactive Decay | Modern Physics

Although α-decay is inexplicable classically, quantum mechanics provides a straight forward explanation. The basic notions of this theory are:
An α-particle may exist as an entity within a heavy nucleus. Such a particle is in constant motion and is held in the nucleus by potential barrier. There is a small but definite-likelihood that the particle may tunnel through the barrier (despite its height) each time a collision with it occurs.
The decay probability per unit time, i.e decay constant λ = vT
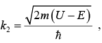
Where v = number of times per second an  -particle within a nucleus strikes the potential barrier around it  and Radioactive Decay | Modern Physics = Probability that the particle will be transmitted through the barrier.
L is the width of the barrier, wave number inside the barrier Radioactive Decay | Modern Physics where E is the K.E. , U is height of the barrier and m is the mass of α-particle. 

Beta Decay

It is a means whereby a nucleus can alter its composition to become more stable. The conservation principles of energy, linear momentum and angular momentum are all apparently violated in beta decay:  
n → p + e- 
(i) The electron energies observed in the β- decay of a particular nuclide are found to vary continuously from 0 to maximum value max KEmax characteristic of the nuclide. The maximum energy Emax = (m0c2 + KEmax) carried by the decay electron is equal to the energy equivalent of the mass difference between the parent and daughter nuclei. However an emitted electron is rarely found with energy of KEmax.
Radioactive Decay | Modern Physics

(ii) When the directions of emitted electron and of the recoiling nuclei are observed, they are almost never exactly opposite as required for linear momentum to be conserved.
(iii) The spins of the neutron, proton and electron are all 1/2. If beta decay involved just a neutron becoming a proton and an electron, spin (and hence angular momentum) is not conserved.
In 1930 Pauli proposed a "desperate remedy": If an uncharged particle of small or zero rest mass and spin 1/2 is emitted in β- - decay together with the electron, the above discrepancies would not occur. This particle is called neutrino which would carry off energy equal to the difference between KEmax and actual K.E of the electron (the recoiling nucleus carry away negligible K.E). The neutrino's linear momentum also exactly balances those of the electron and the recoiling daughter nucleus.
Thus in ordinary β- - decay Radioactive Decay | Modern Physics  (also possible outside the nucleus)
The interaction of neutrinos with matter is extremely feeble. The only interaction with matter a neutrino can experience is through a process called inverse beta decay with extremely low probability Radioactive Decay | Modern Physics
Note: Parity violates in β- - decay.

Positron emission


It is the conversion of a nuclear proton into a neutron, a positron and a neutrino:
p → n + e+ + v   (Possible only within a nucleus) 

Electron capture


It is closely connected with positron emission. In electron capture a nucleus absorbs one of its inner atomic electron, with the result that a nuclear proton becomes a neutron and neutrino is emitted:
p + e- → n + v.
Usually the absorbed electron comes from the K-shell, and an X-ray photon is emitted when one of the atoms outer electrons falls into the resulting vacant state. The wavelength of the photon will be one of those characteristic of daughter element, not of the original one, and the process can be recognized on that basis.
Note: 
1. Electron capture is competitive with positron emission since both processes lead to the same nuclear transformation.
2. Electron capture occurs more often than positron emission in heavy nuclides because the electrons in such nuclides are relatively close to the nucleus, which promotes their interaction with it. 

Gamma Decay 


Nuclei can exist in definite energy levels just as an atom can. Due to α or β-emission, nuclei get into an excited state. These excited nuclei return to their ground state by emitting photons whose energies correspond to energy difference between the various initial and final states in the transition involved called γ-ray.

Radioactive Decay | Modern Physics

γ-rays characteristics
1. It is an electromagnetic wave.
2. Very short wavelength (≈400Ao to 0.4Ao).
3. No electric charge and so not detected by magnetic and electric field.
When a beam of γ-rays photons passes through matter, the intensity of beam decreases exponentially i.e. I = I0e-μx where I0 : Initial Intensity, µ: absorption coefficient of substance, x : thickness of absorber. 

Various processes by which γ-rays can lose its energy


Three separate processes responsible for the decrease in intensity of γ-rays.
1. Photoelectric absorption
In this all the energy of γ-ray photon is transferred to a bound electron and γ-ray photon ceases to exist. The ejected electron may either escape from the absorber or may get reabsorbed due to collision. At low photon energies (8 KeV for Al and 500 KeV for Pb) the photoelectric effect is chiefly responsible for the γ-ray absorption.
2. Compton Scattering 
At energies in neighborhood of 1 MeV, Compton Scattering becomes the chief cause of removal of photons form the γ-ray beam.
3. Pair production 
At high enough energies pair production becomes important. In this a γ-ray photon passing close to an atomic nucleus in the absorbing matter disappears and an electron positron pair is created:
γ → e + e+   
The charge is conserved in the reaction. The rest mass m0 and hence the rest mass energy of e- and e+ are same i.e. 0.51 MeV. The energy of the γ-ray photon must be at least 2x0.51 MeV = 1.02 MeV for pair production to be possible. If hv greater than 1.02 MeV , the balance of the energy appears as K.E. of particles.

Internal Conversion 


“Process of Internal Conversion is an alternative to γ-decay”. Internal conversion is a process which enables an excited nuclear state to come down to some lower state without the emission of γ-photon. The energy ΔE involved in this nuclear transition gets transferred directly to a bound electron of the atom. Such an electron gets knocked out of the atom. Electrons like this are called “internal conversion” electrons.
This probability is highest for the K-shell electrons which are closest to the nucleus. For such a case, the nucleus may not de-excite by γ-emission but by giving the excitation energy ΔE directly to a K-shell electron. Internal conversion is also possible (though less, as compared to K-shell) for higher atomic shells L, M etc.
The kinetic energy of the converted electron is Ke = ΔE - Be, where ΔE = Ei - Ef = Nuclear excitation energy between initial state i (higher) and final state f(lower)  and Be = atomic binding energy of electron.
We know that the β-spectrum is continuous; usually this continuous β- spectra are superimposed by discrete lines due to conversion electrons. These lines are called ‘internal conversion’ lines.
γ-ray emission and internal conversion are competing process for de-excitation of nucleus. If we neglect the small recoil energy of the γ-emitter nucleus, the energy of the γ-ray is given by hv =  ΔE = Ei - Ef ; where v is the frequency of the γ-photon.

Pair Production (Energy into matter) 


In a collision a photon can give an electron all of its energy (the photoelectric effect) or only part (the Compton Effect). It is also possible for a photon to materialize into an electron and a positron. In this process, electromagnetic energy is converted into matter.
This process is called pair production.
No conservation principles are violated when an electron-positron pair is created near an atomic nucleus.
The rest energy m0c2 of an electron or positron is 0.51 MeV , hence pair production requires photon energy of at least 1.02 MeV. Any additional photon energy becomes K.E. of the electron and positron.
Radioactive Decay | Modern Physics

Pair Annihilation
The inverse of pair production occurs when a positron is near an electron and the two come together under the influence of their opposite electric charges. Both particles vanish simultaneously with the lost mass becoming energy in the form of two gamma ray photon.
e+ + e- → γ + γ
The total mass of the positron and electron is equivalent to 1.02 MeV , and each photon has energy h of 0.51 MeV plus half the K.E. of the particles relative to their center of mass.
Note: 
1. The directions of the photons are such as to conserve both energy and linear momentum.
2. No nucleus or other particles is needed for this pair annihilation to take place. 

Massbauer Effect  


“It is the recoilless emission and absorption of photon” The emission of gamma rays is generally accompanied by the emission of an α or β particle. If after the emission of an α or β particle the product nucleus is left in an excited state, it reaches the ground state by releasing or emitting photons called γ-rays. When a nucleus emits a photon it recoils in the opposite direction. This reduces the energy of the γ-ray from its usual transition energy E0 to E0 - R , where R is the recoil energy.
Mossbauer Effect almost eliminates the energy of recoil by using solid state properties of a crystal lattice.  Also, such recoil-less emission of γ-rays makes it possible to construct a source of essentially mono-energetic and hence monochromatic photons. The isotope of iron, Fe57 is the most often used nucleus to study Mossbauer Effect. 

Activity 


The activity of a sample of any radioactive nuclide is the rate at which the nuclei of its constituent atoms decay. If N is the number of nuclei present in the sample at a certain time, its activity R is given by  
Radioactive Decay | Modern Physics
1 Becquerel = 1 Bq = 1 decay/sec.
The traditional unit of activity is the curie (Ci),
1 Curie = 3.7 × 1010 decay/sec = 37 GBq (1Ci is activity of 1 g of radium Radioactive Decay | Modern Physics)
Let λ be the probability per unit time for the decay of each nucleus of given nuclide. Then λdt is the probability that any nucleus will undergo decay in a time interval dt. If a sample contains N undecayed nuclei, the number dN that decay in a time dt is
dN = -Nλdt
Radioactive Decay | Modern Physics
Radioactive Decay | Modern Physics
Half Life:
Radioactive Decay | Modern Physics
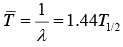
Mean Time:
Radioactive Decay | Modern Physics

Successive Growth and Decay Process 


In a successive growth/decay process A → B → C, element C is a stable nucleus. The following parameters are given for the process:
Radioactive Decay | Modern Physics
where λ1 and λ2 are decay constant, N0 is the concentration of A at t = 0 and N1 , N2 , Nare concentration of A, B, C at any time t.
Radioactive Decay | Modern PhysicsThus
Radioactive Decay | Modern Physics
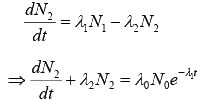
Rate equation for B:
Radioactive Decay | Modern Physics
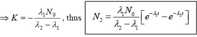
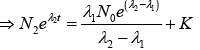
Multiply both side by Radioactive Decay | Modern Physics and then integrate
Radioactive Decay | Modern Physics
At t = 0, N2 = 0
Radioactive Decay | Modern Physics
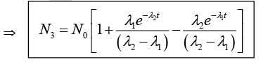
If C is a stable nucleus, the rate of decay of atoms of B into i.e dN3/dt is given by,
Radioactive Decay | Modern Physics
Radioactive Decay | Modern Physics
Then the time at which concentration of intermediate member (B) will reach maxima is:
Radioactive Decay | Modern Physics 

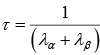
Branching 

A given type of of nuclei will normally decay by one particular mode; say by emission of β-particles. But many cases have been found in which a smaller percentage of nuclei will decay by a different mode such as α-emission.
Let us denote the probability of α-emission by one nucleus, in dime dt emission by λαdt and that of β-emission by λβdt.
Then the probability of decay of a nucleus in time dt by either α or β-emission is: (λα + λβ)dt.
Hence the activity is dN/dt 

Radioactive Decay | Modern Physics
Giving mean life Radioactive Decay | Modern Physics and Branching Ratio λαβ 

Determination of the Age of the Earth 


Let us consider successive growth decay process

Radioactive Decay | Modern Physics
(Stable Product, λpb = 0)
The half life of U238 is 4.5 x 109 Years. Hence after sufficient time the only element present in any appreciable amount will be uranium and lead.
Radioactive Decay | Modern Physics
Here λ1 = λU , λ2 = λPb = 0 , N2 = NPb and N0 = Nv
Thus
Radioactive Decay | Modern Physics
N0 = Nv = Present no. of Pb atoms+Present no. of U atoms ⇒ Nv = NPb + NU 
Radioactive Decay | Modern Physics

Example: Half life of P is 14.3 days. If you have 1.00 g of P today, then what would be the amount remaining in 10 days

Radioactive Decay | Modern Physics

N = Noe-λt ⇒ N = (1.00)e-0.04847x10 ⇒ N = 0.616 g or N = 616mg

Example: A radioactive nucleus has a half life of 100 years. If the number of nuclei t = 0 is N0 , then find the number of nuclei that have decayed in 300 years.

Number of nuclei present after 300 year

Radioactive Decay | Modern Physics

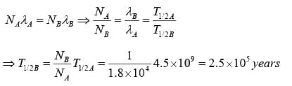
Example: The atomic ratio between the uranium isotopes 238U and 234U in a mineral sample is found to be 1.8 x 104. The half life of 238U is 4.5 x 109 years , then find the  half life of 234U.

Radioactive Decay | Modern Physics

Example: A radioactive sample contains 1.00 mg of radon 222Rn , whose atomic mass is 222 u. The half life of the radon is 3.8 day. Then find the activity of the radon.

Radioactive Decay | Modern Physics
Number of atoms in 1.00 mg is
Radioactive Decay | Modern Physics
Radioactive Decay | Modern Physics
Hence, activity R = λN = 2.1x10-6 x 2.7 x1018 = 5.7 x 1012 decay / sec

The document Radioactive Decay | Modern Physics is a part of the Physics Course Modern Physics.
All you need of Physics at this link: Physics
37 videos|17 docs|19 tests

FAQs on Radioactive Decay - Modern Physics

1. What is alpha decay?
Ans. Alpha decay is a type of radioactive decay in which an atomic nucleus emits an alpha particle, which consists of two protons and two neutrons. This process reduces the atomic number of the nucleus by two and the mass number by four.
2. What is beta decay?
Ans. Beta decay is a type of radioactive decay in which a beta particle is emitted from an atomic nucleus. There are two types of beta decay: beta-minus decay, where a neutron is converted into a proton and an electron is emitted, and beta-plus decay, where a proton is converted into a neutron and a positron is emitted.
3. What is gamma decay?
Ans. Gamma decay is a type of radioactive decay in which a nucleus releases gamma radiation. Gamma radiation consists of high-energy electromagnetic waves and does not change the atomic number or mass number of the nucleus. It is often emitted after alpha or beta decay to stabilize the nucleus.
4. What is activity in the context of radioactive decay?
Ans. Activity refers to the rate at which a radioactive substance undergoes radioactive decay. It is measured in becquerels (Bq) or curies (Ci) and represents the number of radioactive decays occurring per unit of time. The higher the activity, the more radioactive the substance is.
5. How is radioactive decay relevant to the IIT JAM exam?
Ans. Radioactive decay is a fundamental concept in nuclear physics, which is an important topic covered in the IIT JAM exam. Understanding the different types of radioactive decay and their properties is crucial for solving questions related to nuclear reactions, half-life, and radioactive dating.
Related Searches

mock tests for examination

,

Extra Questions

,

Radioactive Decay | Modern Physics

,

Free

,

Radioactive Decay | Modern Physics

,

Important questions

,

Objective type Questions

,

study material

,

Previous Year Questions with Solutions

,

Semester Notes

,

Summary

,

MCQs

,

practice quizzes

,

Exam

,

pdf

,

Viva Questions

,

Radioactive Decay | Modern Physics

,

Sample Paper

,

video lectures

,

shortcuts and tricks

,

past year papers

,

ppt

;