Chemistry Exam  >  Chemistry Notes  >  Physical Chemistry  >  Series Reactions & Steady State Approximation

Series Reactions & Steady State Approximation | Physical Chemistry PDF Download

Series Reaction:

Consider the following series reaction scheme Series Reactions & Steady State Approximation | Physical Chemistry In this, the reactant A decays to four intermediate I, and this intermediate undergoes subsequent decay resulting in the formation of product P. 

  • The above series is an elementary first-order reaction.
    Then the rate law expression is :

 Series Reactions & Steady State Approximation | Physical Chemistry               …(1)
Series Reactions & Steady State Approximation | Physical Chemistry        …(2)
Series Reactions & Steady State Approximation | Physical Chemistry                         …(3)

Let only the reactant A is present at t = 0 such that

Series Reactions & Steady State Approximation | Physical Chemistry
then the rate law expression is 

 Series Reactions & Steady State Approximation | Physical Chemistry
Series Reactions & Steady State Approximation | Physical Chemistry

Series Reactions & Steady State Approximation | Physical Chemistry…(4)
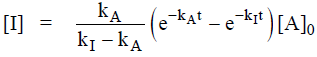
The expression for [A] is substituted into the rate law of I resulting in

 Series Reactions & Steady State Approximation | Physical Chemistry
Series Reactions & Steady State Approximation | Physical Chemistry
Series Reactions & Steady State Approximation | Physical Chemistry

This differential equation has a standard form and after setting

[I]0 = 0, the solution is

 Series Reactions & Steady State Approximation | Physical Chemistry

The expression for [P] is

[A]0 = [A] + [I] + [P]

[P] = [A]0 – [A] – [I]
So

 Series Reactions & Steady State Approximation | Physical Chemistry

Case I. Let                    kA >> kI

Series Reactions & Steady State Approximation | Physical Chemistry

then 

 kI – kA ≈ –kA
and e-kA≈ 0
∴[P] = [A]0 – [A] – [I]

 Series Reactions & Steady State Approximation | Physical Chemistry

Series Reactions & Steady State Approximation | Physical Chemistry
Series Reactions & Steady State Approximation | Physical Chemistry
Series Reactions & Steady State Approximation | Physical Chemistry

Series Reactions & Steady State Approximation | Physical Chemistry

 

The rate of formation of product can be determined by slowest step.

[A] = [A]0 e-kAt                                                          ............(1)

 Series Reactions & Steady State Approximation | Physical Chemistry
Series Reactions & Steady State Approximation | Physical Chemistry
Series Reactions & Steady State Approximation | Physical Chemistry                             ...........(2)
Series Reactions & Steady State Approximation | Physical Chemistry                          ............(3)
 

The graph representation for case I i.e. when kA >> kI.

 Series Reactions & Steady State Approximation | Physical Chemistry

Case II. kA >> kI

 kI – k≈ kI
Series Reactions & Steady State Approximation | Physical Chemistry

Series Reactions & Steady State Approximation | Physical Chemistry
The graph representation of case II i.e. when kA >> kI

 Series Reactions & Steady State Approximation | Physical Chemistry

The Steady-State Approximation.

The steady-state approximation assume that, after an initial induction period, an interval during which the concentration of intermediate ‘I’ rise from zero, and during the major part of the reaction, the rates of change of concentration of all reaction intermediate are negligibly small.

 Series Reactions & Steady State Approximation | Physical Chemistry

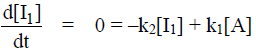
Q.1. Consider the following reaction

 Series Reactions & Steady State Approximation | Physical Chemistry

assuming that only reactant A is present at t = 0, what is the expected time dependence of [P] using the steady state approximation ?
Sol.
The differential rate expression for this reaction are:

 Series Reactions & Steady State Approximation | Physical Chemistry
Series Reactions & Steady State Approximation | Physical Chemistry
Series Reactions & Steady State Approximation | Physical Chemistry

Applying the steady state for I we get

 Series Reactions & Steady State Approximation | Physical Chemistry
Series Reactions & Steady State Approximation | Physical Chemistry
Series Reactions & Steady State Approximation | Physical Chemistry

and

 Series Reactions & Steady State Approximation | Physical Chemistry
Series Reactions & Steady State Approximation | Physical Chemistry

then

Series Reactions & Steady State Approximation | Physical Chemistry

Series Reactions & Steady State Approximation | Physical Chemistry

Series Reactions & Steady State Approximation | Physical Chemistry
Series Reactions & Steady State Approximation | Physical Chemistry
Series Reactions & Steady State Approximation | Physical Chemistry
This is expression for [P].

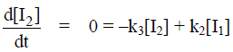
Q.2. Using steady-state approximation find the rate law for Series Reactions & Steady State Approximation | Physical Chemistry   for the following given equation.

Series Reactions & Steady State Approximation | Physical Chemistry

Sol.

 Series Reactions & Steady State Approximation | Physical Chemistry
Series Reactions & Steady State Approximation | Physical Chemistry
Series Reactions & Steady State Approximation | Physical Chemistry
Series Reactions & Steady State Approximation | Physical Chemistry

I1 & I2 are intermediate & apply steady state approximation on intermediate, we get

 Series Reactions & Steady State Approximation | Physical Chemistry
Series Reactions & Steady State Approximation | Physical Chemistry
Series Reactions & Steady State Approximation | Physical Chemistry
Series Reactions & Steady State Approximation | Physical Chemistry
Series Reactions & Steady State Approximation | Physical Chemistry

and 

Series Reactions & Steady State Approximation | Physical Chemistry
Series Reactions & Steady State Approximation | Physical Chemistry
Series Reactions & Steady State Approximation | Physical Chemistry

Q.3. Using steady state approximation, derive the rate law for the decomposition of 

N2O5. 2N2O5(g) → 4NO2(g) + O2(g) 

On the basis of following mechanism. 

Series Reactions & Steady State Approximation | Physical Chemistry
Series Reactions & Steady State Approximation | Physical Chemistry
Sol. The intermediate are NO & NO3.
 The rate law are:

Series Reactions & Steady State Approximation | Physical Chemistry= kb[NO2[[NO3] – kc [NO][N2O5] = 0
Series Reactions & Steady State Approximation | Physical Chemistry= ka[N2O5] – ka’ [NO2][NO3] – kb[NO2][NO3] = 0
Series Reactions & Steady State Approximation | Physical Chemistry = –ka[N2O5] + ka’[NO2][NO3] – kc[NO][N2O5]

and replacing the concentration of intermediate by using the equation above gives 

Series Reactions & Steady State Approximation | Physical Chemistry

The document Series Reactions & Steady State Approximation | Physical Chemistry is a part of the Chemistry Course Physical Chemistry.
All you need of Chemistry at this link: Chemistry
84 videos|142 docs|67 tests

FAQs on Series Reactions & Steady State Approximation - Physical Chemistry

1. What is the steady-state approximation in series reactions?
Ans. The steady-state approximation is a method used to simplify the mathematical description of series reactions. It assumes that the concentration of intermediate species remains constant over time, allowing for easier calculation of reaction rates.
2. How does the steady-state approximation simplify the analysis of series reactions?
Ans. By assuming that the concentration of intermediate species is constant, the steady-state approximation allows for the elimination of complex differential equations. This simplification enables the use of simpler algebraic equations to determine reaction rates and understand the overall behavior of the system.
3. When is the steady-state approximation applicable in series reactions?
Ans. The steady-state approximation is commonly applied in series reactions when the rate of formation of intermediate species is much higher than their rate of consumption. This assumption holds when the concentration of the intermediate species remains relatively constant throughout the reaction.
4. What are the limitations of the steady-state approximation in series reactions?
Ans. The steady-state approximation may not accurately predict the behavior of series reactions when the concentration of intermediate species significantly changes over time. Additionally, it assumes that the reaction is in a steady state, which may not always be the case in dynamic systems or when reactant concentrations vary.
5. How is the steady-state approximation used in practical applications and research?
Ans. The steady-state approximation is widely used in various fields, including chemical engineering and biochemistry, to simplify the analysis of complex reaction networks. It allows researchers to gain insights into reaction kinetics and design efficient processes or develop models that describe real-world phenomena accurately.
Related Searches

Series Reactions & Steady State Approximation | Physical Chemistry

,

Objective type Questions

,

Exam

,

shortcuts and tricks

,

Extra Questions

,

past year papers

,

Important questions

,

video lectures

,

practice quizzes

,

Free

,

Series Reactions & Steady State Approximation | Physical Chemistry

,

Viva Questions

,

Semester Notes

,

Sample Paper

,

mock tests for examination

,

Summary

,

study material

,

pdf

,

MCQs

,

ppt

,

Series Reactions & Steady State Approximation | Physical Chemistry

,

Previous Year Questions with Solutions

;