Physics Exam  >  Physics Notes  >  Physics for IIT JAM, UGC - NET, CSIR NET  >  Spin-Statistics Theorem - System of Identical Particles, Quantum Mechanics, CSIR-NET

Spin-Statistics Theorem - System of Identical Particles, Quantum Mechanics, CSIR-NET | Physics for IIT JAM, UGC - NET, CSIR NET PDF Download

In quantum mechanics, the spin–statistics theorem relates the intrinsic spin of a particle (angular momentum not due to the orbital motion) to the particle statistics it obeys. In units of the reduced Planck constant ħ, all particles have either integer spin or half-integerspin.

  

Quantum states and indistinguishable particles 

In a quantum system, a physical state is described by a state vector. A pair of distinct (occupying separate points) state vectors are physically equivalent if their absolute value is equal, ignoring other interactions. A pair of indistinguishable particles such as this have only one state. This means that if the positions of the particles are exchanged (i.e., they undergo a permutation), this does not identify a new physical state, but rather one matching the original physical state. In fact, one cannot tell which particle is in which position.

While the physical state does not change under the exchange of the particles' positions, it is possible for the state vector to be negated as a result of an exchange. Since this does not change the absolute value of the state vector, this negation does not affect the physical state.

The essential ingredient in proving the spin/statistics relation is relativity, that the physical laws do not change under Lorentz transformations. The field operators transform under Lorentz transformations according to the spin of the particle that they create, by definition.

Additionally, the assumption (known as microcausality) that spacelike separated fields either commute or anticommute can be made only for relativistic theories with a time direction. Otherwise, the notion of being spacelike is meaningless. However, the proof involves looking at a Euclidean version of spacetime, in which the time direction is treated as a spatial one, as will be now explained.

Lorentz transformations include 3-dimensional rotations as well as boosts. A boost transfers to a frame of reference with a different velocity, and is mathematically like a rotation into time. By analytic continuation of the correlation functions of a quantum field theory, the time coordinate may become imaginary, and then boosts become rotations. The new "spacetime" has only spatial directions and is termed Euclidean.

 

Exchange symmetry 

Bosons are particles whose wavefunction is symmetric under such an exchange or permutation, so if we swap the particles the wavefunction does not change. Fermions are particles whose wavefunction is antisymmetric, so under such a swap the wavefunction gets a minus sign, meaning that the amplitude for two identical fermions to occupy the same state must be zero. This is the Pauli exclusion principle: two identical fermions cannot occupy the same state. This rule does not hold for bosons.

In quantum field theory, a state or a wavefunction is described by field operators operating on some basic state called the vacuum. In order for the operators to project out the symmetric or antisymmetric component of the creating wavefunction, they must have the appropriate commutation law. The operator (with φ an operator and ψ(x,y) a numerical function) creates a two-particle state with wavefunction ψ(x,y), and depending on the commutation properties of the fields, either only the antisymmetric parts or the symmetric parts matter.

Let us assume that x ≠ y and the two operators take place at the same time; more generally, they may have spacelike separation, as is explained hereafter.

If the fields commute, meaning that the following holds:

 then only the symmetric part of ψ contributes, so that ψ(x,y) = ψ(y, x) and the field will create bosonic particles.

On the other hand, if the fields anti-commute, meaning that φ has the property that

  φ(x)φ(y) = - φ(y)φ(x), 

then only the antisymmetric part of ψ contributes, so that ψ(x,y) = - ψ(y, x) and the particles will be fermionic.

Naively, neither has anything to do with the spin, which determines the rotation properties of the particles, not the exchange properties.

Spin–statistics relation 

The spin–statistics relation was first formulated in 1939 by Markus Fierz and was rederived in a more systematic way by Wolfgang Pauli. Fierz and Pauli argued their result by enumerating all free field theories subject to the requirement that there be quadratic forms for locally commuting[clarification needed] observables including a positive-definite energy density. A more conceptual argument was provided by Julian Schwinger in 1950. Richard Feynman gave a demonstration by demanding unitarity for scattering as an external potential is varied, which when translated to field language is a condition on the quadratic operator that couples to the potential.



Theorem statement 

The theorem states that:

  • The wave function of a system of identical integer-spin particles has the same value when the positions of any two particles are swapped. Particles with wave functions symmetric under exchange are called bosons.

  • The wave function of a system of identical half-integer–spin particles changes sign when two particles are swapped. Particles with wave functions antisymmetric under exchange are called fermions.

In other words, the spin–statistics theorem states that integer-spin particles are bosons, while half-integer–spin particles are fermions.

 

General discussion 


A suggestive bogus argument

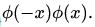
Consider the two-field operator product

Spin-Statistics Theorem - System of Identical Particles, Quantum Mechanics, CSIR-NET | Physics for IIT JAM, UGC - NET, CSIR NET

where R is the matrix that rotates the spin polarization of the field by 180 degrees when one does a 180-degree rotation around some particular axis. The components of φ are not shown in this notation,φ has many components, and the matrix R mixes them up with one another.

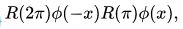
In a non-relativistic theory, this product can be interpreted as annihilating two particles at positions  x and -x with polarizations that are rotated by π relative to each other. Now rotate this configuration by π around the origin. Under this rotation, the two points x and -x switch places, and the two field polarizations are additionally rotated by a π. So we get

Spin-Statistics Theorem - System of Identical Particles, Quantum Mechanics, CSIR-NET | Physics for IIT JAM, UGC - NET, CSIR NET

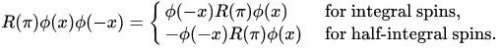
which for integer spin is equal to

Spin-Statistics Theorem - System of Identical Particles, Quantum Mechanics, CSIR-NET | Physics for IIT JAM, UGC - NET, CSIR NET

and for half-integer spin is equal to

Spin-Statistics Theorem - System of Identical Particles, Quantum Mechanics, CSIR-NET | Physics for IIT JAM, UGC - NET, CSIR NET

(proved at Spin (physics) § Rotations). Both the operators Spin-Statistics Theorem - System of Identical Particles, Quantum Mechanics, CSIR-NET | Physics for IIT JAM, UGC - NET, CSIR NET still annihilate two particles at x and -x. Hence we claim to have shown that, with respect to particle states:

Spin-Statistics Theorem - System of Identical Particles, Quantum Mechanics, CSIR-NET | Physics for IIT JAM, UGC - NET, CSIR NET

So exchanging the order of two appropriately polarized operator insertions into the vacuum can be done by a rotation, at the cost of a sign in the half-integer case.

This argument by itself does not prove anything like the spin–statistics relation. To see why, consider a nonrelativistic spin-0 field described by a free Schrödinger equation. Such a field can be anticommuting or commuting. To see where it fails, consider that a nonrelativistic spin-0 field has no polarization, so that the product above is simply:

Spin-Statistics Theorem - System of Identical Particles, Quantum Mechanics, CSIR-NET | Physics for IIT JAM, UGC - NET, CSIR NET

In the nonrelativistic theory, this product annihilates two particles at x and -x, and has zero expectation value in any state. In order to have a nonzero matrix element, this operator product must be between states with two more particles on the right than on the left:

Spin-Statistics Theorem - System of Identical Particles, Quantum Mechanics, CSIR-NET | Physics for IIT JAM, UGC - NET, CSIR NET

Performing the rotation, all that we learn is that rotating the 2-particle state Spin-Statistics Theorem - System of Identical Particles, Quantum Mechanics, CSIR-NET | Physics for IIT JAM, UGC - NET, CSIR NET gives the same sign as changing the operator order. This gives no additional information, so this argument does not prove anything.

Why the bogus argument fails 

To prove the spin–statistics theorem, it is necessary to use relativity, as is obvious from the consistency of the nonrelativistic spinless fermion, and the nonrelativistic spinning bosons. There are claims in the literature of proofs of the spin–statistics theorem that do not require relativity,[7][8] but they are not proofs of a theorem, as the counterexamples show, rather they are arguments for why spin–statistics is "natural", while wrong-statistics[clarification needed] is "unnatural". In relativity, the connection is required.

In relativity, there are no local fields that are pure creation operators or annihilation operators. Every local field both creates particles and annihilates the corresponding antiparticle. This means that in relativity, the product of the free real spin-0 field has a nonzero vacuum expectation value, because in addition to creating particles which are not annihilated and annihilating particles which are not subsequently created, it also includes a part that creates and annihilates "virtual" particles whose existence enters into interaction calculations – but never as scattering matrix indices or asymptotic states.

Spin-Statistics Theorem - System of Identical Particles, Quantum Mechanics, CSIR-NET | Physics for IIT JAM, UGC - NET, CSIR NET

And now the heuristic argument can be used to see that G(x) is equal to   G(-x), which tells us that the fields cannot be anti-commuting.

 

Proof 

A π rotation in the Euclidean xt plane can be used to rotate vacuum expectation values of the field product of the previous section. The time rotation turns the argument of the previous section into the spin–statistics theorem.

The proof requires the following assumptions:

  1. The theory has a Lorentz-invariant Lagrangian.

  2. The vacuum is Lorentz-invariant.

  3. The particle is a localized excitation. Microscopically, it is not attached to a string or domain wall.

  4. The particle is propagating, meaning that it has a finite, not infinite, mass.

  5. The particle is a real excitation, meaning that states containing this particle have a positive-definite norm.

These assumptions are for the most part necessary, as the following examples show:

  1. The spinless anticommuting field shows that spinless fermions are nonrelativistically consistent. Likewise, the theory of a spinor commuting field shows that spinning bosons are too.

  2. This assumption may be weakened.

  3. In 2+1 dimensions, sources[disambiguation needed] for the Chern–Simons theory can have exotic spins, despite the fact that the three-dimensional rotation group has only integer and half-integer spin representations.

  4. An ultralocal field can have either statistics independently of its spin. This is related to Lorentz invariance, since an infinitely massive particle is always nonrelativistic, and the spin decouples from the dynamics. Although colored quarks are attached to a QCD string and have infinite mass, the spin–statistics relation for quarks can be proved in the short distance limit.

  5. Gauge ghosts are spinless fermions, but they include states of negative norm.

Assumptions 1 and 2 imply that the theory is described by a path integral, and assumption 3 implies that there is a local field which creates the particle.

The rotation plane includes time, and a rotation in a plane involving time in the Euclidean theory defines a CPT transformation in the Minkowski theory. If the theory is described by a path integral, a CPT transformation takes states to their conjugates, so that the correlation function

Spin-Statistics Theorem - System of Identical Particles, Quantum Mechanics, CSIR-NET | Physics for IIT JAM, UGC - NET, CSIR NET

must be positive definite at x=0 by assumption 5, the particle states have positive norm. The assumption of finite mass implies that this correlation function is nonzero for x spacelike. Lorentz invariance now allows the fields to be rotated inside the correlation function in the manner of the argument of the previous section:

Spin-Statistics Theorem - System of Identical Particles, Quantum Mechanics, CSIR-NET | Physics for IIT JAM, UGC - NET, CSIR NET

Where the sign depends on the spin, as before. The CPT invariance, or Euclidean rotational invariance, of the correlation function guarantees that this is equal to G(x). So

Spin-Statistics Theorem - System of Identical Particles, Quantum Mechanics, CSIR-NET | Physics for IIT JAM, UGC - NET, CSIR NET

for integer-spin fields and

Spin-Statistics Theorem - System of Identical Particles, Quantum Mechanics, CSIR-NET | Physics for IIT JAM, UGC - NET, CSIR NET

for half-integer–spin fields.

Since the operators are spacelike separated, a different order can only create states that differ by a phase. The argument fixes the phase to be −1 or 1 according to the spin. Since it is possible to rotate the space-like separated polarizations independently by local perturbations, the phase should not depend on the polarization in appropriately chosen field coordinates.

This argument is due to Julian Schwinger.



Consequences 

Fermionic fields 

The spin–statistics theorem implies that half-integer–spin particles are subject to the Pauli exclusion principle, while integer-spin particles are not. Only one fermion can occupy a given quantum state at any time, while the number of bosons that can occupy a quantum state is not restricted. The basic building blocks of matter such as protons, neutrons, and electrons are fermions. Particles such as the photon, which mediate forces between matter particles, are bosons.

The Fermi–Dirac distribution describing fermions leads to interesting properties. Since only one fermion can occupy a given quantum state, the lowest single-particle energy level for spin-1/2 fermions contains at most two particles, with the spins of the particles oppositely aligned. Thus, even at absolute zero, the system still has a significant amount of energy. As a result, a fermionic system exerts an outward pressure. Even at non-zero temperatures, such a pressure can exist. This degeneracy pressure is responsible for keeping certain massive stars from collapsing due to gravity. See white dwarf, neutron star, and black hole.



Bosonic fields 

There are a couple of interesting phenomena arising from the two types of statistics. The Bose–Einstein distribution which describes bosons leads to Bose–Einstein condensation. Below a certain temperature, most of the particles in a bosonic system will occupy the ground state (the state of lowest energy). Unusual properties such as superfluidity can result.



Ghost fields 

Ghost fields do not obey the spin–statistics relation. See Klein transformation on how to patch up a loophole in the theorem.


Relation to representation theory of the Lorentz group 

The Lorentz group has no non-trivial unitary representations of finite dimension. Thus it seems impossible to construct a Hilbert space in which all states have finite, non-zero spin and positive, Lorentz-invariant norm. This problem is overcome in different ways depending on particle spin–statistics.

For a state of integer spin the negative norm states (known as "unphysical polarization") are set to zero, which makes the use of gauge symmetry necessary.

For a state of half-integer spin the argument can be circumvented by having fermionic statistics.

 

The document Spin-Statistics Theorem - System of Identical Particles, Quantum Mechanics, CSIR-NET | Physics for IIT JAM, UGC - NET, CSIR NET is a part of the Physics Course Physics for IIT JAM, UGC - NET, CSIR NET.
All you need of Physics at this link: Physics
158 docs

FAQs on Spin-Statistics Theorem - System of Identical Particles, Quantum Mechanics, CSIR-NET - Physics for IIT JAM, UGC - NET, CSIR NET

1. What is the Spin-Statistics Theorem?
Ans. The Spin-Statistics Theorem is a fundamental principle in quantum mechanics that establishes a relationship between the spin of a particle and its statistics. It states that particles with integer spins (0, 1, 2, etc.) are bosons and follow Bose-Einstein statistics, while particles with half-integer spins (1/2, 3/2, 5/2, etc.) are fermions and follow Fermi-Dirac statistics.
2. How does the Spin-Statistics Theorem relate to a system of identical particles?
Ans. In a system of identical particles, such as a collection of atoms or subatomic particles, the behavior of the particles is determined by their quantum statistics. The Spin-Statistics Theorem ensures that particles with the same spin quantum number must have different quantum states. For example, two electrons with the same spin cannot occupy the same quantum state simultaneously, due to the Pauli exclusion principle.
3. What is the significance of the Spin-Statistics Theorem in quantum mechanics?
Ans. The Spin-Statistics Theorem is of great importance in quantum mechanics as it provides a fundamental connection between the intrinsic property of a particle (spin) and its statistics. It helps in understanding the behavior and properties of particles, such as their energy levels, interactions, and collective behavior in a system. The theorem also plays a crucial role in the formulation of quantum field theory and the prediction of various phenomena in particle physics.
4. How is the Spin-Statistics Theorem relevant to the CSIR-NET Physics exam?
Ans. The Spin-Statistics Theorem is a significant topic in quantum mechanics, and it is highly likely to be included in the CSIR-NET Physics exam. Understanding the theorem and its implications is essential for students preparing for the exam. Questions related to the theorem may be asked to test the candidates' knowledge of quantum statistics, particle behavior, and their ability to apply the theorem to solve problems in quantum mechanics.
5. Can you provide an example illustrating the Spin-Statistics Theorem?
Ans. Certainly! Let's consider the case of electrons. The Spin-Statistics Theorem states that two electrons with the same spin cannot occupy the same quantum state. This is known as the Pauli exclusion principle. For instance, in an atom, the two electrons in the 1s orbital must have opposite spins (one spin-up and one spin-down) to satisfy the Pauli exclusion principle. This behavior arises from the fundamental connection between the spin of electrons (1/2) and their Fermi-Dirac statistics, as dictated by the Spin-Statistics Theorem.
Related Searches

Quantum Mechanics

,

past year papers

,

study material

,

Quantum Mechanics

,

UGC - NET

,

Semester Notes

,

Important questions

,

ppt

,

CSIR-NET | Physics for IIT JAM

,

Spin-Statistics Theorem - System of Identical Particles

,

Summary

,

Objective type Questions

,

CSIR NET

,

practice quizzes

,

CSIR NET

,

Extra Questions

,

Exam

,

pdf

,

Spin-Statistics Theorem - System of Identical Particles

,

Quantum Mechanics

,

mock tests for examination

,

CSIR NET

,

Spin-Statistics Theorem - System of Identical Particles

,

video lectures

,

Sample Paper

,

UGC - NET

,

shortcuts and tricks

,

Viva Questions

,

CSIR-NET | Physics for IIT JAM

,

MCQs

,

UGC - NET

,

Previous Year Questions with Solutions

,

Free

,

CSIR-NET | Physics for IIT JAM

;