Mathematics Exam  >  Mathematics Notes  >  Mathematics for IIT JAM, GATE, CSIR NET, UGC NET  >  Stationary distribution, CSIR-NET Mathematical Sciences

Stationary distribution, CSIR-NET Mathematical Sciences | Mathematics for IIT JAM, GATE, CSIR NET, UGC NET PDF Download

Henry Maltby, Samir Khan, and Jimin Khim contributed

stationary distribution of a Markov chain is a probability distribution that remains unchanged in the Markov chain as time progresses. Typically, it is represented as a row vector π  whose entries are probabilities summing to 1, and given transition matrix P, it satisfies

= π + πP.

In other words,  π is invariant by the matrix P

Ergodic Markov chains have a unique stationary distribution, and absorbing Markov chains have stationary distributions with nonzero elements only in absorbing states. The stationary distribution gives information about the stability of a random process and, in certain cases, describes the limiting behavior of the Markov chain.

Stationary distribution, CSIR-NET Mathematical Sciences | Mathematics for IIT JAM, GATE, CSIR NET, UGC NET

A sports broadcaster wishes to predict how many Michigan residents prefer University of Michigan teams (known more succinctly as "Michigan") and how many prefer Michigan State teams. She noticed that, year after year, most people stick with their preferred team; however, about 3% of Michigan fans switch to Michigan State, and about 5% of Michigan State fans switch to Michigan. However, there is no noticeable difference in the state's population of 10 million's preference at large; in other words, it seems Michigan sports fans have reached a stationary distribution. What might that be?

A reasonable way to approach this problem is to suppose there are x million Michigan fans and y  million Michigan State fans. The state's population is 10 million, so x + y = 10. These numbers do not change each year. It follows that

Stationary distribution, CSIR-NET Mathematical Sciences | Mathematics for IIT JAM, GATE, CSIR NET, UGC NET

Rearranging either equation,  Stationary distribution, CSIR-NET Mathematical Sciences | Mathematics for IIT JAM, GATE, CSIR NET, UGC NET  So there are 6.25 million Michigan fans and 3.75 million Michigan state fans. In other words, the stationary distribution is (0.625, 0.375). 

Note that the limiting distribution does not depend on the number of fans in the state!


Finding Stationary Distributions

Students of linear algebra may note that the equation πP = π looks very similar to the column vector equation  Mν = λν for eigenvalues and eigenvectors, with λ = 1. In fact, by transposing the matrices,

Stationary distribution, CSIR-NET Mathematical Sciences | Mathematics for IIT JAM, GATE, CSIR NET, UGC NET

In other words, the transposed transition matrix PT has eigenvectors with eigenvalue 1 that are stationary distributions expressed as column vectors. Therefore, if the eigenvectors of PT are known, then so are the stationary distributions of the Markov chain with transition matrix P. In short, the stationary distribution is a left eigenvector (as opposed to the usual right eigenvectors) of the transition matrix.

When there are multiple eigenvectors associated to an eigenvalue of 1, each such eigenvector gives rise to an associated stationary distribution. However, this can only occur when the Markov chain is reducible, i.e. has multiple communicating classes.

Example

 In genetics, one method for identifying dominant traits is to pair a specimen with a known hybrid. Their offspring is once again paired with a known hybrid, and so on. In this way, the probability of a particular offspring being purely dominant, purely recessive, or hybrid for the trait is given by the table below.

StatesChild DominantChild HybridChild Recessive
Parent Dominant0.50.50
Parent Hybrid0.250.50.25
Parent Recessive00.50.5

What is a stationary distribution for this Markov chain?

 

 The transition matrix is

Stationary distribution, CSIR-NET Mathematical Sciences | Mathematics for IIT JAM, GATE, CSIR NET, UGC NET

The transpose of this matrix has eigenvalues satisfying the equation

Stationary distribution, CSIR-NET Mathematical Sciences | Mathematics for IIT JAM, GATE, CSIR NET, UGC NET

It follows that Stationary distribution, CSIR-NET Mathematical Sciences | Mathematics for IIT JAM, GATE, CSIR NET, UGC NET So the eigenvalues are  λ = 0, λ = 0.5, and λ = 1. The eigenvalue λ = 0 gives rise to the eigenvector (1, -2, 1) , the eigenvalue λ = 0.5 gives rise to the eigenvector (-1, 0, 1), and the eigenvalue λ = 1  gives rise to the eigenvector (1, 2, 1) . The only possible candidate for a stationary distribution is the final eigenvector, as all others include negative values.

Then, the stationary distribution must be  Stationary distribution, CSIR-NET Mathematical Sciences | Mathematics for IIT JAM, GATE, CSIR NET, UGC NET

 

Relation to Limiting Distribution

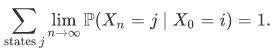
The limiting distribution of a Markov chain seeks to describe how the process behaves a long time after . For it to exist, the following limit must exist for any states i and j:

Stationary distribution, CSIR-NET Mathematical Sciences | Mathematics for IIT JAM, GATE, CSIR NET, UGC NET

Furthermore, for any state i, the following sum must be 

Stationary distribution, CSIR-NET Mathematical Sciences | Mathematics for IIT JAM, GATE, CSIR NET, UGC NET

This ensures that the numbers obtained do, in fact, constitute a probability distribution. Provided these two conditions are met, then the limiting distribution of a Markov chain with Xo = i is the probability distribution given by Stationary distribution, CSIR-NET Mathematical Sciences | Mathematics for IIT JAM, GATE, CSIR NET, UGC NET

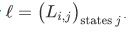
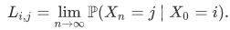
For any time-homogeneous Markov chain that is aperiodic and irreducible,

Stationary distribution, CSIR-NET Mathematical Sciences | Mathematics for IIT JAM, GATE, CSIR NET, UGC NET

converges to a matrix with all rows identical and equal to π. Not all stationary distributions arise this way, however. Some stationary distributions (for instance, certain periodic ones) only satisfy the weaker condition that the average number Stationary distribution, CSIR-NET Mathematical Sciences | Mathematics for IIT JAM, GATE, CSIR NET, UGC NETof times the process is in state i in the first n steps approaches the corresponding value of the stationary distribution. That is, if (x1, x2, ......,xm) is the stationary distribution, then

Stationary distribution, CSIR-NET Mathematical Sciences | Mathematics for IIT JAM, GATE, CSIR NET, UGC NET

Example

Not all stationary distributions are limiting distributions.

Consider the two-state Markov chain with transition matrix

Stationary distribution, CSIR-NET Mathematical Sciences | Mathematics for IIT JAM, GATE, CSIR NET, UGC NET

As n increases, there is no limiting behavior to Pn. In fact, the expression simply alternates between evaluating to P and I, the identity matrix. However, the system has stationary distributionStationary distribution, CSIR-NET Mathematical Sciences | Mathematics for IIT JAM, GATE, CSIR NET, UGC NET, since

Stationary distribution, CSIR-NET Mathematical Sciences | Mathematics for IIT JAM, GATE, CSIR NET, UGC NET

So, not all stationary distributions are limiting distributions. Sometimes no limiting distribution exists! 

 

Example

 Let the Markov chain have transition matrix P. Then, suppose

Stationary distribution, CSIR-NET Mathematical Sciences | Mathematics for IIT JAM, GATE, CSIR NET, UGC NET

That is, the limit is an n x n matrix with all rows equal to π. Then note that

Stationary distribution, CSIR-NET Mathematical Sciences | Mathematics for IIT JAM, GATE, CSIR NET, UGC NET

Inspecting one row of the left matrix being multiplied on the right-hand side, it becomes clear that πP = π. Thus, the limiting distribution is also a stationary distribution. 

The document Stationary distribution, CSIR-NET Mathematical Sciences | Mathematics for IIT JAM, GATE, CSIR NET, UGC NET is a part of the Mathematics Course Mathematics for IIT JAM, GATE, CSIR NET, UGC NET.
All you need of Mathematics at this link: Mathematics
556 videos|198 docs

FAQs on Stationary distribution, CSIR-NET Mathematical Sciences - Mathematics for IIT JAM, GATE, CSIR NET, UGC NET

1. What is the definition of a stationary distribution in mathematics?
Ans. In mathematics, a stationary distribution refers to the probability distribution of a system's state after it has undergone a series of transitions. It remains unchanged over time, even if the system undergoes further transitions.
2. How is a stationary distribution different from an equilibrium distribution?
Ans. While a stationary distribution remains unchanged over time, an equilibrium distribution is a specific type of stationary distribution that represents the long-term behavior of a system. In an equilibrium distribution, the probabilities of the system being in different states stabilize and do not change further.
3. How is the stationary distribution calculated for a Markov chain?
Ans. To calculate the stationary distribution for a Markov chain, we need to solve a system of linear equations. The stationary distribution vector satisfies the equation Pπ = π, where P is the transition probability matrix of the Markov chain and π is the unknown stationary distribution vector. Solving this equation yields the values of π.
4. What is the significance of the stationary distribution in the context of a Markov chain?
Ans. The stationary distribution of a Markov chain provides insights into the long-term behavior of the system. It helps us understand the probabilities of different states occurring over time, even after multiple transitions. The stationary distribution can be used to make predictions, analyze the stability of the system, and study the convergence properties of the Markov chain.
5. Can a Markov chain have multiple stationary distributions?
Ans. No, a Markov chain can have at most one stationary distribution. If a Markov chain has a stationary distribution, it is unique. However, not all Markov chains possess a stationary distribution. The existence and uniqueness of a stationary distribution depend on certain conditions, such as irreducibility and aperiodicity, which must be satisfied by the Markov chain.
Related Searches

Semester Notes

,

Sample Paper

,

study material

,

GATE

,

Viva Questions

,

Stationary distribution

,

Stationary distribution

,

Summary

,

CSIR NET

,

Stationary distribution

,

UGC NET

,

UGC NET

,

shortcuts and tricks

,

GATE

,

CSIR NET

,

pdf

,

CSIR-NET Mathematical Sciences | Mathematics for IIT JAM

,

Free

,

Previous Year Questions with Solutions

,

ppt

,

CSIR NET

,

Extra Questions

,

Important questions

,

video lectures

,

practice quizzes

,

UGC NET

,

mock tests for examination

,

CSIR-NET Mathematical Sciences | Mathematics for IIT JAM

,

MCQs

,

CSIR-NET Mathematical Sciences | Mathematics for IIT JAM

,

Objective type Questions

,

past year papers

,

GATE

,

Exam

;