Physics Exam  >  Physics Notes  >  Kinetic Theory & Thermodynamics  >  Statistical Mechanics: Assignment

Statistical Mechanics: Assignment | Kinetic Theory & Thermodynamics - Physics PDF Download

Q.1. One spin in the thermal contact with a small spin system

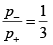
Consider a system A consisting of a spin having1/2 particle with magnetic moment μ0 ,and another system A' consisting of 3 spins 1/2 particle, each having magnetic moments μ0 . Both systems are located in the same magnetic field B . The systems are placed in contact with each other, in such a way, they are free to exchange energy. Suppose that, when the moments of A , points up (i.e., when A is in its + state), two of the moments of A' points up and one of them points down.

(a) Count the total number of state accessible to the combined system A+ A' , when the moment of A , points up, and points down respectively. Hence, calculate the ratio P- / P+ ,  where Pis the probability that the moment of A points down and P+ is the probability that it points up. Assume that the total system A+ A' is isolated.

(b) Find the average of magnetic moment of sub system A'.

If A has up state and A' has situation that 2 spin is in up state and 1 is in down state and has total energy of the system ( A +A') as 2μ0B , then the total number of microstate is given by

Statistical Mechanics: Assignment | Kinetic Theory & Thermodynamics - Physics = 3 + 1 = 4 number of microstate .

Statistical Mechanics: Assignment | Kinetic Theory & Thermodynamics - Physics

For sub system A p+ = 3/4 and p- = 1/4

Statistical Mechanics: Assignment | Kinetic Theory & Thermodynamics - Physics

(a)  For subsystem A' , Statistical Mechanics: Assignment | Kinetic Theory & Thermodynamics - Physics

Thus (M) = Statistical Mechanics: Assignment | Kinetic Theory & Thermodynamics - Physics

Solution 3: Total number of microstate

Statistical Mechanics: Assignment | Kinetic Theory & Thermodynamics - Physics

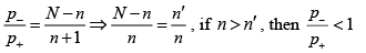
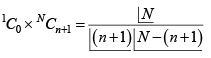
If moment of A points up, then A' has Statistical Mechanics: Assignment | Kinetic Theory & Thermodynamics - Physics number of microstate 

(b) If moment of A points down, then A' has n + 1 up and N - (n - 1) spin points down,

so number of microstate is Statistical Mechanics: Assignment | Kinetic Theory & Thermodynamics - Physics

(c) Statistical Mechanics: Assignment | Kinetic Theory & Thermodynamics - Physics = Statistical Mechanics: Assignment | Kinetic Theory & Thermodynamics - Physics

For n >> 1 and n' >> 1 , the ratio P- /P+ larger or smaller then unity if n >n'

Statistical Mechanics: Assignment | Kinetic Theory & Thermodynamics - Physics


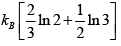
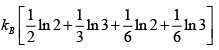
Q.2. In a thermodynamic system in equilibrium, each molecule can exist in three possible states with two of them has probabilities 1/ 2, 1/ 3 respectively. Find entropy per molecule.

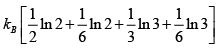
Statistical Mechanics: Assignment | Kinetic Theory & Thermodynamics - Physics

Statistical Mechanics: Assignment | Kinetic Theory & Thermodynamics - Physics

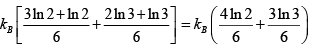
S = Statistical Mechanics: Assignment | Kinetic Theory & Thermodynamics - Physics

S = Statistical Mechanics: Assignment | Kinetic Theory & Thermodynamics - Physics

S = Statistical Mechanics: Assignment | Kinetic Theory & Thermodynamics - Physics

S = Statistical Mechanics: Assignment | Kinetic Theory & Thermodynamics - Physics

= Statistical Mechanics: Assignment | Kinetic Theory & Thermodynamics - Physics

S = Statistical Mechanics: Assignment | Kinetic Theory & Thermodynamics - Physics


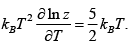
Q.3. Consider a system of N particles obeying classical statistics, each of which can have an energy 0 or E . The system is in thermal contact with a reservoir maintained at a temperature T . Let k denote the Boltzmann constant. Find heat capacity C of the system .

U = Statistical Mechanics: Assignment | Kinetic Theory & Thermodynamics - Physics

E1 = 0, E= E for one particle U = Statistical Mechanics: Assignment | Kinetic Theory & Thermodynamics - Physics

So for N Particle U = Statistical Mechanics: Assignment | Kinetic Theory & Thermodynamics - Physics

Statistical Mechanics: Assignment | Kinetic Theory & Thermodynamics - Physics


Q.4. Two classical particles are distributed among N (>2) sites on a ring. Each site can accommodate only one particle. If two particles occupy two nearest neighbour sites, then the energy of the system is increased by ∈.

(a) Find partition function

(b) Find The average Helmholtz free energy of the system at temperature T is

Since two particle two nearest neighbour sites, which energy of system increased by ∈, and remining ( N - 3) particle hs zero energy, then particle function is given
z = 2e-β∈ + ( N - 3) e-β .0 = ( N - 3) + 2e-β∈

(a) Z = N - 3 + Statistical Mechanics: Assignment | Kinetic Theory & Thermodynamics - Physics

(b) F = Statistical Mechanics: Assignment | Kinetic Theory & Thermodynamics - Physics


Q.5. Consider a system of two Ising spins Sand S2 taking values  ± 1with interaction energy given by ε = JεS1S2 . When the system is in thermal equilibrium at temperature T ,

(a) Find partition function of system

(b) Find Helmholtz free energy

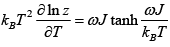
(c) Internal energy

The interaction energy is given by E = JεS1S2 where S1 and S2 taking values ± 1 .

Possible values of the Energy of the system are 

Statistical Mechanics: Assignment | Kinetic Theory & Thermodynamics - Physics Statistical Mechanics: Assignment | Kinetic Theory & Thermodynamics - Physics

Statistical Mechanics: Assignment | Kinetic Theory & Thermodynamics - Physics Statistical Mechanics: Assignment | Kinetic Theory & Thermodynamics - Physics

(a) Statistical Mechanics: Assignment | Kinetic Theory & Thermodynamics - Physics

(b) Statistical Mechanics: Assignment | Kinetic Theory & Thermodynamics - Physics

(c) Statistical Mechanics: Assignment | Kinetic Theory & Thermodynamics - Physics


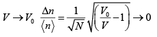
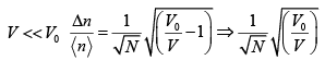
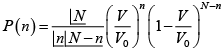
Q.6. Consider an ideal gas of N molecules which is in equilibrium, within a container of volume V0 . Denoted by n is the number of molecules located within any subvolume V of this container. The probability p that a given molecule is located within this subvolume V is then given by p =V /V0 .

(a) Find the probability that out of N molecules, n the number of molecules located

within any subvolume V 

(b) What is mean number (n) of molecules within V ? Express your answer in terms of N,V0 and V

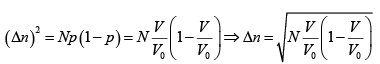
(c) Find the standard derivation Δn, where n is the number of molecules located within volume V .

(d) Calculate Statistical Mechanics: Assignment | Kinetic Theory & Thermodynamics - Physics, expressing your answer in terms of N,V0 and V.

(e) What is the value of Statistical Mechanics: Assignment | Kinetic Theory & Thermodynamics - Physics, when 0 V <<V0 ?

(f) What value should the standard deviation Δn assume when V →V0 ?

 (a) Statistical Mechanics: Assignment | Kinetic Theory & Thermodynamics - Physics

where Statistical Mechanics: Assignment | Kinetic Theory & Thermodynamics - Physics so Statistical Mechanics: Assignment | Kinetic Theory & Thermodynamics - Physics

(b) (n) = Statistical Mechanics: Assignment | Kinetic Theory & Thermodynamics - Physics

(c) Statistical Mechanics: Assignment | Kinetic Theory & Thermodynamics - Physics

(d) Statistical Mechanics: Assignment | Kinetic Theory & Thermodynamics - Physics

(e) Statistical Mechanics: Assignment | Kinetic Theory & Thermodynamics - Physics

(f) Statistical Mechanics: Assignment | Kinetic Theory & Thermodynamics - Physics


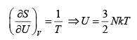
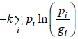
Q.7. The quantum states available to a given physical system is are group in gi equally likely states with common energy εi .If  pi is probability associated with energy εi such that Statistical Mechanics: Assignment | Kinetic Theory & Thermodynamics - Physics then prove that entropy is given by S= Statistical Mechanics: Assignment | Kinetic Theory & Thermodynamics - Physics

pi = Statistical Mechanics: Assignment | Kinetic Theory & Thermodynamics - Physics where Z is partition function 

Statistical Mechanics: Assignment | Kinetic Theory & Thermodynamics - Physics

Statistical Mechanics: Assignment | Kinetic Theory & Thermodynamics - Physics


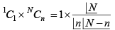
Q.8. A rigid and thermally isolated tank is divided into two compartments of equal volumeV, separated by a thin membrane. One compartment contains one mole of an ideal gas A and the other compartment contains one mole of a different ideal gas B . The two gases are in thermal equilibrium at a temperature T . If the membrane ruptures, the two gases mix. Assume that the gases are chemically inert. The Find the change in the total entropy of the gases on mixing is

For A , number of microstate after mixing is 2

Statistical Mechanics: Assignment | Kinetic Theory & Thermodynamics - Physics

For A , number of microstate before mixing is 

⇒ ΔS A = R ln 2 - R ln1 = R ln 2

Similarly, for B ΔSB =  Rln 2 ⇒ ΔS =ΔSA + ΔSB = 2 ln 2

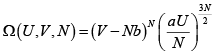
The number of microstates of a gas of N particles in a volume V and of internal energy U , is given by

Statistical Mechanics: Assignment | Kinetic Theory & Thermodynamics - Physics

(where a and b are positive constants). Its pressure P , volume V and temperature U , are related by

Then prove that Statistical Mechanics: Assignment | Kinetic Theory & Thermodynamics - Physics

Statistical Mechanics: Assignment | Kinetic Theory & Thermodynamics - Physics

S = Statistical Mechanics: Assignment | Kinetic Theory & Thermodynamics - Physics

Statistical Mechanics: Assignment | Kinetic Theory & Thermodynamics - Physics

Statistical Mechanics: Assignment | Kinetic Theory & Thermodynamics - Physics

Statistical Mechanics: Assignment | Kinetic Theory & Thermodynamics - Physics

Statistical Mechanics: Assignment | Kinetic Theory & Thermodynamics - Physics


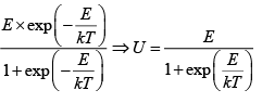
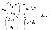
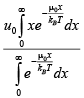
Q.9. A particle is confined to the region x ≥ 0 by a potential which increases linearly as V(x) = u0x . The find ratio between average potential energy V to average kinetic energy T

Partition function Z = Statistical Mechanics: Assignment | Kinetic Theory & Thermodynamics - Physics

Statistical Mechanics: Assignment | Kinetic Theory & Thermodynamics - Physics= Statistical Mechanics: Assignment | Kinetic Theory & Thermodynamics - Physics = Statistical Mechanics: Assignment | Kinetic Theory & Thermodynamics - Physics

Statistical Mechanics: Assignment | Kinetic Theory & Thermodynamics - Physics = Statistical Mechanics: Assignment | Kinetic Theory & Thermodynamics - Physics = Statistical Mechanics: Assignment | Kinetic Theory & Thermodynamics - Physics

Hence the system is one dimensional so Statistical Mechanics: Assignment | Kinetic Theory & Thermodynamics - Physics = 2


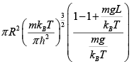
Q.10. Gas molecules of mass m are confined in a cylinder of radius R and height L

(with R >> L ) kept vertically in the Earth’s gravitational field.

(a) Find The average energy of the gas at high temperatures (such that mgl<<kBT ) .

(b) Find The average energy of the gas at low temperatures (such that mgl>>kBT )

Z = Statistical Mechanics: Assignment | Kinetic Theory & Thermodynamics - Physics

Z = Statistical Mechanics: Assignment | Kinetic Theory & Thermodynamics - Physics

Z = Statistical Mechanics: Assignment | Kinetic Theory & Thermodynamics - Physics

For high temperature Z = Statistical Mechanics: Assignment | Kinetic Theory & Thermodynamics - Physics

Z = Statistical Mechanics: Assignment | Kinetic Theory & Thermodynamics - Physics ⇒ Statistical Mechanics: Assignment | Kinetic Theory & Thermodynamics - Physics

mgl<<kBT ⇒ Statistical Mechanics: Assignment | Kinetic Theory & Thermodynamics - Physics

For low temperature 

⇒ Z = Statistical Mechanics: Assignment | Kinetic Theory & Thermodynamics - Physics = Statistical Mechanics: Assignment | Kinetic Theory & Thermodynamics - Physics

⇒ (E) = Statistical Mechanics: Assignment | Kinetic Theory & Thermodynamics - Physics

The document Statistical Mechanics: Assignment | Kinetic Theory & Thermodynamics - Physics is a part of the Physics Course Kinetic Theory & Thermodynamics.
All you need of Physics at this link: Physics
6 videos|20 docs|32 tests

FAQs on Statistical Mechanics: Assignment - Kinetic Theory & Thermodynamics - Physics

1. What is the concept of statistical mechanics?
Ans. Statistical mechanics is a branch of physics that applies statistical methods to understand the behavior of a large number of particles or systems on a microscopic level. It aims to explain the macroscopic properties of a system by analyzing the statistical behavior of its constituent particles.
2. How is statistical mechanics related to thermodynamics?
Ans. Statistical mechanics provides a microscopic foundation for thermodynamics. It explains the macroscopic laws and principles of thermodynamics by considering the statistical behavior of particles on a microscopic level. By understanding the statistical distribution of particles' energies and their interactions, statistical mechanics can derive thermodynamic quantities such as temperature, pressure, and entropy.
3. What are the fundamental principles of statistical mechanics?
Ans. The fundamental principles of statistical mechanics include the assumption of equal a priori probability, the principle of indifference, and the ergodic hypothesis. The assumption of equal a priori probability states that in the absence of any information, all microstates of a system are equally likely. The principle of indifference states that all microstates that satisfy the macroscopic constraints are equally probable. The ergodic hypothesis assumes that a system will explore all accessible microstates over time.
4. How does statistical mechanics explain equilibrium and non-equilibrium systems?
Ans. Statistical mechanics explains equilibrium systems by considering the system's energy distribution among its particles. At equilibrium, the energy distribution follows a specific statistical distribution, such as the Boltzmann distribution. Non-equilibrium systems, on the other hand, are characterized by energy flows and gradients. Statistical mechanics can describe the evolution of non-equilibrium systems using methods like the Boltzmann equation or the Fokker-Planck equation.
5. What are some applications of statistical mechanics?
Ans. Statistical mechanics has numerous applications in various fields of science and technology. It is used to understand and predict the behavior of gases, liquids, and solids. It is also applied in condensed matter physics, quantum mechanics, astrophysics, and cosmology. Statistical mechanics plays a crucial role in the study of phase transitions, quantum statistical mechanics, and complex systems like biological networks and social systems.
Related Searches

Previous Year Questions with Solutions

,

Important questions

,

study material

,

Summary

,

Objective type Questions

,

Free

,

mock tests for examination

,

Statistical Mechanics: Assignment | Kinetic Theory & Thermodynamics - Physics

,

Statistical Mechanics: Assignment | Kinetic Theory & Thermodynamics - Physics

,

Exam

,

Semester Notes

,

Statistical Mechanics: Assignment | Kinetic Theory & Thermodynamics - Physics

,

video lectures

,

Viva Questions

,

ppt

,

Extra Questions

,

pdf

,

practice quizzes

,

past year papers

,

Sample Paper

,

shortcuts and tricks

,

MCQs

;