Civil Engineering (CE) Exam  >  Civil Engineering (CE) Notes  >  Stresses on Octahedral Plane

Stresses on Octahedral Plane - Civil Engineering (CE) PDF Download

Stresses on a Octahedral plane 
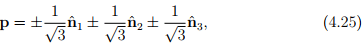
Consider now a tetrahedron element similar to that of figure 4.5 with a plane equally inclined to the principal axes. Hence, its normal is given by

Stresses on Octahedral Plane - Civil Engineering (CE)

where nˆa are the three principal directions of the Cauchy stress tensor. Then, the normal traction, σoct, on this plane is

Stresses on Octahedral Plane - Civil Engineering (CE)


obtained using (4.5) and the spectral representation for the Cauchy stress (4.16). Similarly, the shear traction, τoct on this plane is

Stresses on Octahedral Plane - Civil Engineering (CE)

Stresses on Octahedral Plane - Civil Engineering (CE)
Figure 4.5: Eight octahedral planes equally inclined to the principal axes.

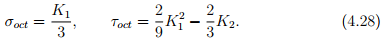
From the definition of principal invariants for stress (4.15) it is easy to verify that

Stresses on Octahedral Plane - Civil Engineering (CE)

Using the above formula one can compute the octahedral normal and shear traction for stress tensor represented using some arbitrary basis.

The document Stresses on Octahedral Plane - Civil Engineering (CE) is a part of Civil Engineering (CE) category.
All you need of Civil Engineering (CE) at this link: Civil Engineering (CE)

FAQs on Stresses on Octahedral Plane - Civil Engineering (CE)

1. What is an octahedral plane in stress analysis?
Ans. In stress analysis, an octahedral plane refers to a plane within a material or structure that experiences stress in all three principal directions. It is the plane where the stresses are balanced and have equal magnitudes.
2. How is stress distributed on an octahedral plane?
Ans. On an octahedral plane, stress is distributed equally in all directions due to the balanced nature of the plane. This means that the normal stress and shear stress components are equal in magnitude and act in different directions.
3. Why is the octahedral plane important in stress analysis?
Ans. The octahedral plane is important in stress analysis because it provides a way to determine the average stress state within a material or structure. By analyzing the stresses on this plane, engineers can evaluate the material's strength and its ability to withstand external loads.
4. How is the stress state represented on an octahedral plane?
Ans. The stress state on an octahedral plane is commonly represented using a stress tensor or a stress element. This representation includes the normal stresses acting on the plane, as well as the shear stresses. By analyzing these stress components, engineers can assess the material's behavior under different loading conditions.
5. What are the applications of analyzing stresses on an octahedral plane?
Ans. Analyzing stresses on an octahedral plane has various applications in engineering and material science. It is used to determine the strength and stability of structural components, assess the performance of materials under different loading conditions, and optimize design parameters to ensure safety and reliability. Additionally, it is used in fields such as civil engineering, aerospace engineering, and mechanical engineering for structural analysis and design.
Download as PDF

Top Courses for Civil Engineering (CE)

Related Searches

shortcuts and tricks

,

ppt

,

past year papers

,

MCQs

,

Stresses on Octahedral Plane - Civil Engineering (CE)

,

Exam

,

Viva Questions

,

Stresses on Octahedral Plane - Civil Engineering (CE)

,

Extra Questions

,

mock tests for examination

,

Previous Year Questions with Solutions

,

Sample Paper

,

Semester Notes

,

pdf

,

Objective type Questions

,

study material

,

practice quizzes

,

Free

,

Important questions

,

Stresses on Octahedral Plane - Civil Engineering (CE)

,

Summary

,

video lectures

;